非线性应用模拟电子 应用于电源测试的非线性电子负载设计

小编头像

小编

管理员

发布于:2026年04月14日

103 阅读 · 0 评论

应用于电源测试的非线性电子负载设计

于自溪,谢 岳

(中国计量学院 机电工程学院,浙江 杭州310018)

摘 要: 交流电源进行稳态性能测试时,通常采用电阻及整流桥等搭建非线性负载,但存在参数调节不便、自动化程度低等缺点。设计了一种负载参数可以灵活调节的非线性电子负载。通过分析国标GB/T7260.3-2003规定的基准非线性负载的电压和电流关系,提出了一种生成非线性负载目标电流的数值算法。采用数字滞环电流控制技术,使电子负载对被测试电源呈现出设定的非线性阻抗特性,并通过脉宽调制方法实现了等效输出功率的调节。搭建了基于STM32F103控制器的1.5 kVA实验样机,实验结果验证了方案的可行性与正确性。

中图分类号: TM461

文献标识码: A

DOI: 10.16157/j.issn.0258-7998.2016.03.041

中文引用格式: 于自溪,谢岳. 应用于电源测试的非线性电子负载设计[J].电子技术应用,2016,42(3):147-150.

英文引用格式: Yu Zixi,Xie Yue. Design of nonlinear electronic load for power supply test[J].Application of Electronic Technique,2016,42(3):147-150.

0 引言

随着具有非线性特性的电力电子设备的广泛应用,电流谐波给电源带来输出电压失真和负载效应问题越来越不容忽视,故电源出厂前要进行非线性带载能力测试以评价电源的稳态性能[1]。传统的非线性负载由整流桥和耗能电阻等无源器件搭建,其装置自动化程度低,参数不易调节。而电子负载具有体积小、阻抗不受温度影响等优点,通过改变电流指令可以实现对模拟负载性质和大小的灵活调节[2-3]。电子负载对非线性负载模拟的难点在于非线性目标电流的生成[4],而目前对这方面的研究较少。文献[5]通过将周期电流函数用傅里叶级数展开,求解出各次电流谐波的幅值和相位,能够精确再现出非线性负载的电流波形,但该方法计算繁琐,不易实现。文献[6]利用CORDIC算法结合插值算法求解整流电路导通角和关断角,但该方法占用大量RAM,不利于提高计算速度,目前只有相应的仿真研究。文献[7]将单相不可控整流电路输入电流的断续状态等效为非线性系统中的死区效应,建立了非线性负载电流指令映射关系表,通过查表实现对开关器件的触发,但该方法不能反映电源的动态变化。

针对上述问题,本文提出一种根据被测电源电压实时求解非线性负载目标电流的数值算法,算法产生的目标电流和被测电源电压的关系满足国标GB/T7260.3-2003规定的非线性负载的阻抗特性[8]。通过数字滞环电流控制技术实现电子负载输入电流对目标电流的快速跟踪,并搭建了一台基于STM32F103控制器的1.5 kVA非线性电子负载实验样机,实现了电子负载对基准非线性负载的可靠模拟,同时验证了算法的可行性。

1 基准非线性负载模型分析

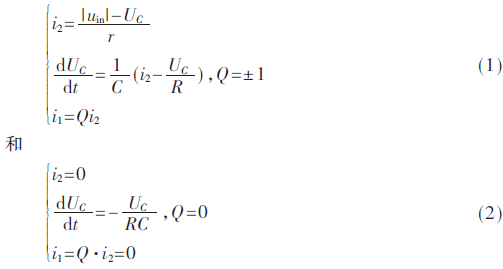
国标GB/T7260.3-2003规定的单相基准非线性负载电路如图1所示,该非线性负载由一个二极管整流桥及输出端电容、电阻并联电路组成,其中uin为被测试电源电压,r为串联线性电阻,K1~K4为整流二极管,C为稳压电容,R为调节负载输出功率的滑动电阻,i1为负载电流,i2为二极管整流电流。国标规定,被测试电源的测试条件满足额定电压和额定功率时,电路参数的取值按下述方法计算:UC=1.22Uin,C=7.5/fR,其中Uin,S,f分别为被测试电源的额定电压有效值、额定视在功率及工作频率;UC为直流电容电压平均值。

忽略二极管的导通压降,对基准非线性负载进行分析。设Q为二极管的导通函数,当uin≥UC时,K1、K4导通,Q=1;当uin≤-UC,K2、K3导通,Q=-1;当|uin|<UC时,K1~K4均不导通,Q=0。取整流电流i2和电容电压UC作为系统的状态变量,当非线性负载进入稳态后,可得电路的状态方程为:

由上式可知,基准非线性负载输入电流存在断续状态,其对电源呈现的阻抗特性随电压瞬时值而变化。

2 单相非线性电子负载模型分析

单相非线性电子负载的结构如图2所示。图中uin为被测试电源电压,iL为电子负载的输入电流,Udc为直流母线电压,功率MOSFET管V1~V4及续流二极管D1~D4共同组成了桥式电路的四个桥臂,L为电子负载的输入电感,它用于储能和滤波,CD为电子负载的输出稳压电容,其后端连接能量转换模块。对于能量回馈型电子负载,该能量转换模块为DC/AC并网逆变器,一般以单位功率因数运行向电网回馈电能;对于能量消耗型电子负载,能量转换模块为耗能电阻。

Q=0时,i1(n)=0。

在目标电流的具体生成过程中,先对被测试电源电压uin进行采样,把|uin|等于1.22Uin时刻记为0时刻,此时满足|uin(0)|=UC(0)=1.22Uin。在下一个采样中断中,根据电压特性,将uin(1)和UC(0)代入式(4)或式(5)得到和UC(1)。同理,可得第k个采样时刻的当被测电源电压的采样值|uin(u)|小于直流电容电压计算值UC(n)时,当采样速度较高时,不仅可以实现对数据的精确采样,同时也保证生成的目标电流对被测电源电压的实时跟踪响应,使系统具有良好的动态性能。

3 非线性电子负载的控制

3.1 输入电流的控制

通常电子负载对目标电流指令采用单电流环控制,使电子负载对被测电源呈现出设定的iL=f(uin)负载特性。滞环电流控制以反馈电流作为控制对象,当功率管的开关频率较高时,能使系统具有较好的稳定性和快速性。这里选择单极性数字滞环控制方法对电子负载的输入电流iL进行控制,首先对输入电流iL采样,将iL与非线性负载目标电流做差,其差值送入放大系数为KP的比例环节,得到放大后的电流误差ΔI(n):

与模拟滞环电流控制方法相比,数字滞环电流控制具有算法简单,不需要比较器、触发器和控制开关等模拟器件的优点。而且控制器输出指令只在中断期间更新,能起到限制开关频率的控制效果。

3.2 直流母线电压的控制

电子负载正常工作的条件是直流电容电压Udc大于输入电压的幅值。在图2的拓扑结构中,当uin>0时,V3,D4,D1,L,CD组成了一个Boost升压结构;当uin<0时,V4,D3,D2,L,CD组成另一个Boost升压结构。若控制不当,Udc可能比交流电压峰值高出很多,威胁到开关管的安全运行;若Udc低于交流电压峰值,则不能实现对iL的有效控制。对于能量消耗型非线性电子负载,被测试电源发出的电能在电阻上转换为热能释放,据此设计了直流母线电压控制电路,如图4所示。

将Udc采样并与基准电压比较,电压误差经过比例调节器KU放大后与三角波交截。当直流电容Udc高于基准电压时,增大控制开关T的导通占空比,CD对RL进行放电,直流侧等效输出功率增加,Udc下降;当直流电容Udc低于基准电压时,减少T的导通占空比,输出端对CD进行储能,直流侧等效输出功率降低,Udc升高。输入功率与电阻能耗功率平衡时,直流电压稳定在参考值。

3.3 微控制器软件设计

控制器采用STM32F103,其片上有3个12位的ADC模块,可同时对16个模拟通道进行采样,最高采样频率可达1 MHz。对非线性电子负载目标电流和直流母线电压的控制主要由STM32F103的TIM模块、ADC模块和DMA中断功能配合完成。目标电流合成及输出控制流程图如图5所示。

系统初始化完成后,设置TIM工作在100 kHz的循环计数模式,TIM计满产生溢出中断并使能ADC对uin、iL和Udc的单次采样。采样完成后,数据通过DMA模块传输至内存,产生DMA中断,在DMA中断子程序里,完成目标电流合成、误差计算、滞环电流控制信号生成、脉宽计算、更新比较寄存器等操作。中断程序执行完毕,清除DMA的中断挂起标志位。

4 实验验证

为了验证所提方案的正确性,搭建了如图6所示容量为1.5 kVA的单相交流非线性电子负载实验装置,图中V1~V4、T均采用400 V/10 A MOSFET功率开关器件IRF740。为了观察非线性电子负载的模拟效果,同时还搭建了基准非线性负载系统,设置两系统的电路参数如表1所示,并在此基础上进行了实验验证。

图7(a)所示为基准非线性负载的电压、电流实验波形,图7(b)所示为单相非线性电子负载模拟基准非线性负载的电压、电流波形,图7(c)所示为基准非线性负载和非线性电子负载在并联时的电流的对比图,图7(d)所示为被测交流电源电压和非线性电子负载直流电容电压的波形。由图7(a)、(b)和(d)可知,非线性负载电流变化剧烈,由于系统存在线路电抗,谐波电流已经导致输入电压发生畸变,说明非线性负载对电源稳定性的要求比线性负载更为严格,同时证明了本文提出的控制系统的良好稳定性。

5 结论

本文在分析基准非线性负载电压、电流关系的基础上,设计了一种应用于电源稳态测试的非线性电子负载。电子负载用数值算法产生目标电流,通过数字电流滞环对电子负载输入电流进行控制,并利用脉宽调制的方法实现对输出功率的控制,同时搭建了基于STM32F103控制器的非线性电子负载试验样机。实验结果表明数字滞环电流控制技术能够快速跟踪非线性负载目标电流,实现了电子负载对基准非线性负载的模拟,具备一定的实用前景。

参考文献

[1] 王成智,邹旭东,许赟,等.采用改进重复控制的大功率电力电子负载[J].中国电机工程学报,2009,29(12):1-9.

[2] 贾月朋,任稷林,祁承超,等.能量回馈型单相交流电子负载的研究[J].电力电子技术,2011,45(6):91-93.

[3] ZHANG Z Y,ZOU Y P,WU Z X.Design and research of three-phase power electronic load[C].2009 IEEE 6th International Power Electronics and Motion Control Conference,WuHan,2009:1798-1802.

[4] JEONG I W,SLEPCHENKOV M,SMEDLEY K.Regenerative AC electronic load with one-cycle control[C].IEEE applied power electronics conference and exposition(APEC).Plam Springs,USA,2010:1166-1171.

[5] 陈敏.非线性负载条件下逆变器特性研究[D].杭州:浙江大学,2006.

[6] 龙厚涛,侯振义,孙刚,等.一种非线性电子负载基准电流的产生方法[J].空军工程大学学报,2011,12(6):69-72.

[7] 黄朝霞,邹旭东,童力,等.电能回馈型负载电流模拟器非线性负载模拟研究[J].电工技术学报,2014,29(10):226-285.

[8] GB/T 7260.3-2003,不间断电源设备(UPS) 第3部分:确定性能的方法和试验要求[S].2003.

结构力学模拟中的三类非线性问题

1. 线性分析

外加载荷与系统的响应之间为线性关系。例如线性弹簧,结构的柔度阵(将刚度阵集成并求逆)只需计算一次。通过将新的载荷向量乘以刚度阵的逆,可得到结构对其它载荷情况的线性响应。

此外,结构对各种载荷情况的响应,可以用常数放大和/或相互叠加,以确定它对一种全新载荷情况的响应,所提供的新载荷情况是前面各种载荷的叠加(或相乘)。这种载荷的叠加原理假定所有的载荷情况采用了相同的边界条件。

2. 非线性分析

非线性结构问题是指结构的刚度随其变形而改变。所有的物理结果均是非线性的。线性分析只是一种近似,它对设计来说通常已经足够了。但是,对于许多结构包括加工过程的模拟(诸如锻造或者冲压)、碰撞分析以及橡胶部件的分析(诸如轮胎或者发动机支座),线性分析是不够的。一个简单例子就是具有非线性刚度响应的弹簧。

线性弹簧,刚度是常数

非线性弹簧,刚度不是常数

由于刚度依赖于位移,所以不能再用初始柔度乘以外加载荷的方法来计算任意载荷时弹簧的位移。在非线性隐式分析中,结构的刚度阵在整个分析过程中必须进行许多次的生成和求逆,分析求解的成本比线性隐式分析昂贵得多。在显式分析中,非线性分析增加的成本是由于稳定时间增量减小而造成的。

非线性系统的响应不是所施加载荷的线性函数,因此不能通过叠加来获得不同载荷情况的解答。每种载荷情况都必须作为独立的分析进行定义和求解。☞总裁老婆深夜回家,老公看她走路姿势不对...

3. 非线性的来源

在结构的力学模拟中有三种:材料非线性、边界非线性(接触)、几何非线性。

(1) 材料非线性

大多数金属在低应变值时都具有良好的线性应力/应变关系;但是在高应变时材料发生屈服,此时材料的响应成为了非线性和不可恢复的。橡胶材料等也是一种非线性、可恢复(弹性)响应的材料。

材料的非线性也可能与应变以外的其它因素有关。应变率相关材料数据和材料失效都是材料非线性的形式。材料性质也可以是温度和其它预先定义的场变量的函数。

(2) 边界非线性

如果边界条件在分析过程中发生变化,就会产生边界非线性问题。悬臂梁随着施加的载荷产生挠曲。

梁端点在接触到障碍物以前,其竖向挠度与载荷成线性关系(如果挠度是小量)。当碰到障碍物时梁端点的边界条件发生了突然的变化,阻止了任何进一步的竖向挠度,因此梁的响应将不再是线性的。边界非线性是极度的不连续;当在模拟中发生接触时,结构中的响应在瞬时会发生很大的变化。

另一个边界非线性的例子是将板材材料冲压入模具的过程。在与模具接触前,板材在压力下比较容易发生伸展变形。在与模具接触后,由于边界条件的改变,必须增加压力才能使板材继续成型。

(3) 几何非线性

几何非线性发生在位移大小影响到结构响应的情况。由于:大挠度或大转动;突然翻转(Snap through);初应力或载荷刚性化。☞总裁老婆深夜回家,老公看她走路姿势不对...

如果端部的挠度较小,可以认为是近似的线性分析。然而,如果端部的挠度较大,结构的形状乃至其刚度都会发生改变。另外,如果载荷不能保持与梁轴垂直,载荷对结构的作用也将发生明显的改变。当悬臂梁挠曲时,载荷的作用可以分解为一个垂直于梁的分量和一个沿梁长度方向的分量。这两种效应都会对悬臂梁的非线性响应产生贡献(即,随着梁承受载荷的增加,梁的刚度发生变化)。

不难理解大挠度和大转动对结构承载的方式会产生显著的影响。然而,并不一定位移相对于结构尺寸很大时,几何非线性才显得重要。考虑一块很大的具有小曲率的板在所受压力下的“突然翻转”。

板的刚度在变形时会产生剧烈的变化。当板突然翻转时,刚度变负;尽管位移量值相对于板的尺寸很小,但是有明显的几何非线性,必须在模拟中加以考虑。

相关问答

模拟 电路应该学习哪些课程?

电路与模拟电路2门课程都是属于电子,通信,自动化等专业必修的专业基础课程,很多学校都在大一开设这2门课程。电路课程主要内容包括电路模型和电路定律,...电...

ansys中引起结构 非线性 的原因?

在ANSYS中,结构非线性的原因可以有多种。其中包括材料非线性(如塑性变形、屈服行为)、几何非线性(如大变形、接触、接缝)、边界条件非线性(如预应力、温度...

欧卡2 非线性 转向什么意思?

欧卡2非线性转向,专业解答是,这是因为你频繁踩刹车的原因。卡车都是用气刹的,刹车时需要足够的空气压力才能制动。此时你只需要挂空档,踩油门一段时间就能补...

求解:南京定做9D 非线性 检测仪厂家报价,9D 非线性 检测仪如何...

[回答]郑州三杰电子科技的创新是服务于设备的性能提升,从而提高微循环检测仪的性价比,技术创新必须有具有目标。随着社会的发展,我们逐步成为行业的领先企...

CAN 如何连成总线

[回答]关键词:现场总线,CAN,汽车电子,MC33993,,SPI1汽车电子与CAN总线随着汽车电子技术的不断发展,WBR汽车上各种电子控制单元的数目不断增加,连接导...

非线性 编辑的计算机硬件配置要求-ZOL问答

(1)素材采集与输入:在PremierePro中,素材采集是指将模拟视频和音频信号转换为...这些操作能够产生震撼的视觉效果,非线性编辑软件在这方面具有较强的功能。在...

电路与系统考研考什么..._考研_帮考网

电路与系统考研主要考察电路理论、信号与系统、数字信号处理、通信原理等方面的知识。具体包括线性电路、非线性电路、功率电子、模拟信号处理、数...

EL系列全天科技有哪些功能?有谁可以回答一下吗?

[回答]全天科技是测试电源和供电系统的常用电子仪器,图1是全天科技原理框图。全天科技包括如下几个部分:1)电压反馈电路;2)电流反馈电路;3)功率电路;4)控...

4、线性编辑与 非线性 编辑的优缺点?

线性编辑:指一对一或二对一的线性编辑机(又称为“对编机”)将母带上的素材按照脚本需要复制到节目带上的过程,使用的信号均为模拟信号。节目必须按照脚本顺...

电气 电子 专业有哪些常用的专业软件? 申请方

EE专业这么广。。。不同方向锁涉猎的内容不同,电脑上装的东西肯定是不同的。我就尽我所知挑几个常见的说一说吧。1.VC,作为C语言的基本工具,这个对...

标签:

相关阅读