电子全站仪应用 不懂全站仪?看这篇就够用了

小编头像

小编

管理员

发布于:2025年05月05日

102 阅读 · 0 评论

不懂全站仪?看这篇就够用了

《测绘学报》

构建与学术的桥梁 拉近与权威的距离

全 站 仪

No.1 全站仪是什么?

全站仪,即全站型电子速测仪。它是随着计算机和电子测距技术的发展,近代电子科技与光学经纬仪结合的新一代既能测角又能测距的仪器,它是在电子经纬仪的基础上增加了电子测距的功能,使得仪器不仅能够测角,而且也能测距,并且测量的距离长、时间短、精度高。全站型电子速测仪是由电子测角、电子测距、电子计算和数据存储单元等组成的三维坐标测量系统,测量结果能自动显示,并能与外围设备交换信息的多功能测量仪器。由于全站型电子速测仪较完善地实现了测量和处理过程的电子化和一体化,所以人们也通常称之为全站型电子速测仪或称全站仪。

No.2 全站仪能做什么?

全站仪简单地说就是水准仪、经纬仪、测距仪及测量软件功能的结合。可以测目标高度;测目标夹角和高度角;测距离;可以按仪器设计的功能计算。

No.3 全站仪的硬件功能

1、电子测角,数字显示

2、电子测距,数字显示

3、自动计算,数字显示

4、自带存储空间用于存入全站仪的机载程序和测量数据。

No.4 全站仪的用途及工作原理

主要用途:测距、测角。 可以代替经纬仪,但不能代替水准仪。2秒全站仪测角精度与2秒的经纬仪完全相同,而高差测量是通过垂直角和水平距离计算出来的,对于高精度的水准来说,全站仪的精度不够,但可以用限制距离的测量方式代替低等级的水准测量。全站仪测角部分采用“角度度盘+角度传感器”获得角度的数字化数据,测距部分与光电测距仪完全相同,而且大多采用电磁波测相技术实现的。

No.5 全站仪常见机载应用程序种类:

坐标放样、坐标测量、边角放样、对边测量、悬高测量、直线放样、面积测量、后方交会、高程传递、相对直线坐标、坐标正反算、相对直线放样、线路放样、断面测量、地形测量。

No.6 全站仪必备的硬件功能

读数头测角:提供水平角(HAR)和竖直角(VA)测距头测距:提供水平距离(HD)和高差(VD)

No.7 全站仪的两种测距方式

1、红外测距

2、激光测距

No.8 全站仪的两种测角方式

1、光栅增量式测角 2、绝对编码式测角

苏州一光全站仪型号

全站仪的应用

No.1 角度距离计算坐标公式

No.2 全站仪的距离计算

No.3 设置测站定向后,全站仪可以为我们提供些什么数据?

1、距离数据 测站点到目标点的平距参与坐标计算测站点到目标点的高差用于计算坐标点的高程(H)

2、方位角数据

测站点到目标点的方位角,用于计算目标点的平面坐标。

No.4 测量坐标、夹角、距离

No.5 利用全站仪数字化测图

1、全站仪野外采集坐标、绘制草图。 2、全站仪数据下载到电脑进行数据格式转换。

3、坐标数据展绘到成图软件。

4、根据野外草图绘制地形图。

5、编辑地形图。

6、地形图输出,地形图入库。

No.6 坐标放样操作

输入待放样点坐标,仪器计算出测站到待放样点间的距离和方位角,进入放样界面à将水平角差调到0度0分0秒或接近0度,指挥棱镜进入望远镜照准后测距,根据屏幕提示的距离差指挥棱镜前后左右移动,重新照准、测距、指挥棱镜移动直到屏幕显示的角度差和距离差满足放样要求。

No.7 后方交会

定义:在某一待定点P架设全站仪,通过测量两个及以上已知点的方式来计算出P点的坐标。测角交会:需要测量至少三个已知点。

边角交会:需要测量至少两个已知点。全站仪一般是用边角交会

No.8 后方交会操作

1、调取已知点坐标(根据仪器的不同,有的会要求一次把所有要测的点的坐标全部调入,有的会要求调一个测一个) 2、测距

3、测量结果确认(仪器会读取当前的角度和距离)

4、计算(根据读取的角度距离数据和调入的测量点坐标计算出待测点的坐标,测量点多于2个点时则进行平差处理)

No.9 后方交会计算

No.10

后方交会适用范围

1、需要引一个控制点

2、控制点的精度要求较高,极差测坐标不能满足精度要求。

3、在待测点上有两个或两个以上的控制点通视。

No.11

角距放样

需要的参数:

1、参考方向

2、待放样点与参考方向的夹角

3、待放样点到仪器的水平距离

适用范围:

已知夹角和距离的放样方式

如:

线路放样

圆形建筑或椭圆形建筑

No.12

角距放样

No.13

对边测量操作

照准第一点后按测距à确认将该点作为基点,照准第二点后按测距à确认后即显示两点间的平距、高差和斜距à照准其它点测距、确认

No.14

对边测量

作用:不在待测点上架设仪器的情况下,利用两个点的假设坐标来计算它们之间的平距、斜距和高差。

对边测量按功能分为相邻对边测量和放射对边测量两种:

相邻对边测量适用于测定相邻两点间的距离,如:AB、BC…..间的距离。

放射对边测量适用于测量各点相对于某基点的距离,如:AB、BC……间的距离。

No.15

对边测量用于横断面测量

适用:横断面测量、桩间距测量、楼间距测量。

第一步、基点测量。

要求跑镜员报回当前棱镜高度,操作人员输入当前棱镜的正确高度,跑镜员在中桩上安置棱镜后,瞄准棱镜后测距,并将该点确定为基点。

第二步、变坡点测量跑镜人员在变坡点上架设棱镜。

跑镜人员应报回棱镜高度和当前位置(位于中桩左边还是右边)。

操作员输入跑镜人员报回的棱镜高,照准棱镜测距。测距完成后检查当前变坡点的选择是否正确,再根据跑镜员报回的位置按左负右将dHD记入第一行偏距行,dVD记入第二行高差行。记录结束后开始一下变坡点的测量。

No.16

面积测量

测量方法:

依次测量待测区域的各特征点的坐标,或调取已经存储的坐标数据来计算待测区域的面积。

测量要求

1、可以任意点设站,尽可能保证一站可以测完所有特征点。

2、如果不能一站测完所有点,则可以分块测量所有特征点在同一坐标系下的坐标值进行调用计算(600/700),也可以分块测量后面积相加(630/600/700)。

3、测量的特征点越多,精度越高。

4、测量不需要闭合到起点。

No.17

分块面积测量

调取坐标计算面积

提高面积测量精度

所有特征点都只要测一次

No.18

悬高测量

作用:间接测量目标高度,适用于无法直接测量高度的时候。

分类:1、有棱镜高

2、无棱镜高

No.19

悬高测量操作:

有棱镜高操作

1、把棱镜放在待测目标正下方。

2、输入当前棱镜高。

3、瞄准棱镜测距。

4、转动望远镜照准待测目标,仪器显示当前高度。

无棱镜高操作

1、把棱镜放在待测目标正下方。

2、输入当前棱镜高。

3、瞄准棱镜测距。

4、转动望远镜照准0高度点后将该点设为0高度点。

5、转动望远镜照准待测目标,仪器显示当前高度。

No.20

悬高测量原理(有棱镜高)

No.21

悬高测量原理(无棱镜高)

No.22

相对直线坐标

相对坐标系的建立

先通过两个点定义一条基线,以起点为坐标原点,起点到终点的方向作为X轴的正方向,顺时针方向90为Y轴正方向建立一个独立的坐标系。

操作

1、测量起点A

2、测量终点B

3、获得测站的相对坐标

4、测量其它的待测点,获得待测点的相对坐标

相对直线坐标计算原理

No.23

直线放样

作用:通过两个已知点定义一条基线,输入距离起点的长度和偏距计算出坐标进行放样。

注意事项:

1、施测前必须设置测站和定向。

2、起点和终点坐标可以调取,也可以实地测量。

3、按起点到终点为前进方向,偏距按左负右正输入。适用于测放边桩、等距桩、龙门桩或轴心线等。

直线放样操作步骤:

1、输入或测量起点坐标和终点坐标来定义基线。

2、输入待计算点到起点的距离和偏距。(当偏距为0时,该点在基线方向上)

3、计算出待放样点坐标。

4、使用计算出的放样点坐标进行坐标放样。

直线放样计算原理

No.24

角度偏心法测坐标

在待测目标无法直接放置棱镜时,可以待测目标旁边等距离处放置棱镜,以获得待测目标的距离、再照准待测目标中心获得方位角即可计算出待测目标的坐标。

角度偏心法操作

在待测目标旁放置棱镜(要求棱镜所处位置与待测目标到仪器的距离相等或尽可能相近),照准棱镜测距,转动望远镜照准待测目标中心,屏幕上显示的坐标就是待测目标的近似坐标确认。

No.25

电子经纬仪的功能

电子经纬仪与光学经纬仪的区别

水平角置零、水平角锁定、左右角切换、角度↔坡度切换、角度复测、测距(已经连接测距头)、照明

No.26

水平角置零

功能:将水平角设为0°0′0″ 。

适用情况:从已知方向拨一个已知角度。

No.27

激光经纬仪

适用于大型船舶的制造;中小型水坝坝体位移测量;重型机器的窗身校正,机件变形测量;港口、桥梁工程;大型管道、管线的铺设;隧道、井巷工程;高层建筑、大型塔架;飞机机架安装;天顶方向的垂线测量.

No.28

激光投线仪

提供水平和竖直方向的激光线

No.29

激光扫平仪

No.30

激光垂准仪

提供上下两条垂直线适用:电梯安装、高层建筑。

No.31

线路认识

No.32

常见平曲线组成

直线段、圆曲线段、缓和曲线段

No.33

平曲线了解

了解线路的中线、前进方向、左右边线、五大桩、主点命名方法、偏角、转点、线路的组成。

No.34

路线的转折角

No.35

里程桩的命名

各桩的桩号表示该桩距路线起点的里程,例如:某交点桩距路线起点的距离为3135.12m,其桩号为JD3+135.12。

No.36

竖曲线

No.37

竖曲线计算

权威 | 专业 | 学术 | 前沿微信投稿邮箱 | song_qi_fan@163.com

欢迎加入《测绘学报》作者QQ群: 297834524

进群请备注:姓名+单位+稿件编号

全站仪各方面应用的原理、操作及计算,看这篇就对了

全站仪是什么?

全站仪,即全站型电子速测仪。它是随着计算机和电子测距技术的发展,近代电子科技与光学经纬仪结合的新一代既能测角又能测距的仪器,它是在电子经纬仪的基础上增加了电子测距的功能,使得仪器不仅能够测角,而且也能测距,并且测量的距离长、时间短、精度高。全站型电子速测仪是由电子测角、电子测距、电子计算和数据存储单元等组成的三维坐标测量系统,测量结果能自动显示,并能与外围设备交换信息的多功能测量仪器。由于全站型电子速测仪较完善地实现了测量和处理过程的电子化和一体化,所以人们也通常称之为全站型电子速测仪或称全站仪。

全站仪能做什么?

全站仪简单地说就是水准仪、经纬仪、测距仪及测量软件功能的结合。

可以测目标高度;

测目标夹角和高度角;

测距离;

可以按仪器设计的功能计算;

全站仪的硬件功能

1、电子测角,数字显示

2、电子测距,数字显示

3、自动计算,数字显示

4、自带存储空间用于存入全站仪的机载程序和测量数据。

全站仪的用途及工作原理

主要用途:测距、测角。

可以代替经纬仪,但不能代替水准仪。

2秒全站仪测角精度与2秒的经纬仪完全相同,而高差测量是通过垂直角和水平距离计算出来的,对于高精度的水准来说,全站仪的精度不够,但可以用限制距离的测量方式代替低等级的水准测量。

全站仪测角部分采用“角度度盘+角度传感器”获得角度的数字化数据,测距部分与光电测距仪完全相同,而且大多采用电磁波测相技术实现的。

全站仪常见机载应用程序种类:

坐标放样

坐标测量

边角放样

对边测量

悬高测量

直线放样

面积测量

后方交会

高程传递

相对直线坐标

坐标正反算

相对直线放样

线路放样

断面测量

地形测量

全站仪必备的硬件功能

读数头测角:提供水平角(HAR)和竖直角(VA)

测距头测距:提供水平距离(HD)和高差(VD)

全站仪的两种测距方式

1、红外测距

2、激光测距

全站仪的两种测角方式

1、光栅增量式测角

2、绝对编码式测角

苏州一光全站仪型号

全站仪的应用

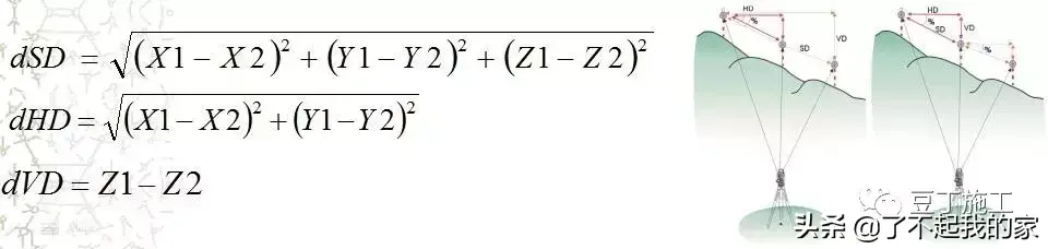
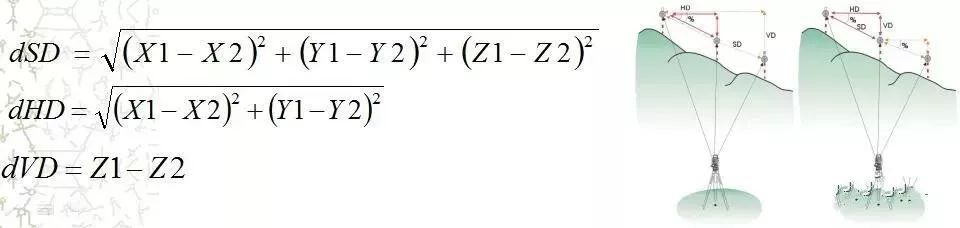
角度距离计算坐标公式

全站仪的距离计算

设置测站定向后,全站仪可以为我们提供些什么数据?

1、距离数据

测站点到目标点的平距参与坐标计算

测站点到目标点的高差用于计算坐标点的高程(H)

2、方位角数据

测站点到目标点的方位角,用于计算目标点的平面坐标。

测量坐标、夹角、距离

利用全站仪数字化测图

1、全站仪野外采集坐标、绘制草图。

2、全站仪数据下载到电脑进行数据格式转换。

3、坐标数据展绘到成图软件。

4、根据野外草图绘制地形图。

5、编辑地形图。

6、地形图输出,地形图入库。

坐标放样操作:

1、输入待放样点坐标à仪器计算出测站到待放样点间的距离和方位角à进入放样界面à将水平角差调到0度0分0秒或接近0度à指挥棱镜进入望远镜照准后测距à根据屏幕提示的距离差指挥棱镜前后左右移动à重新照准、测距、指挥棱镜移动直到屏幕显示的角度差和距离差满足放样要求。

后方交会

定义:在某一待定点P架设全站仪,通过测量两个及以上已知点的方式来计算出P点的坐标。

测角交会:需要测量至少三个已知点。

边角交会:需要测量至少两个已知点。全站仪一般是用边角交会

后方交会操作

1、调取已知点坐标(根据仪器的不同,有的会要求一次把所有要测的点的坐标全部调入,有的会要求调一个测一个)

2、测距

3、测量结果确认(仪器会读取当前的角度和距离)

4、计算(根据读取的角度距离数据和调入的测量点坐标计算出待测点的坐标,测量点多于2个点时则进行平差处理)

后方交会计算

后方交会适用范围

1、需要引一个控制点

2、控制点的精度要求较高,极差测坐标不能满足精度要求。

3、在待测点上有两个或两个以上的控制点通视。

角距放样

需要的参数:

1、参考方向

2、待放样点与参考方向的夹角

3、待放样点到仪器的水平距离

适用范围:

已知夹角和距离的放样方式

如:

线路放样

圆形建筑或椭圆形建筑

角距放样

对边测量操作

照准第一点后按测距à确认将该点作为基点à照准第二点后按测距à确认后即显示两点间的平距、高差和斜距à照准其它点测距、确认

对边测量

作用:不在待测点上架设仪器的情况下,利用两个点的假设坐标来计算它们之间的平距、斜距和高差。

对边测量按功能分为相邻对边测量和放射对边测量两种:

相邻对边测量适用于测定相邻两点间的距离,如:AB、BC…..间的距离。

放射对边测量适用于测量各点相对于某基点的距离,如:AB、BC……间的距离。

对边测量用于横断面测量

适用:横断面测量、桩间距测量、楼间距测量。

第一步、基点测量。

要求跑镜员报回当前棱镜高度,操作人员输入当前棱镜的正确高度,跑镜员在中桩上安置棱镜后,瞄准棱镜后测距,并将该点确定为基点。

第二步、变坡点测量

跑镜人员在变坡点上架设棱镜。跑镜人员应报回棱镜高度和当前位置(位于中桩左边还是右边)。

操作员输入跑镜人员报回的棱镜高,照准棱镜测距。测距完成后检查当前变坡点的选择是否正确,再根据跑镜员报回的位置按左负右将dHD记入第一行偏距行,dVD记入第二行高差行。记录结束后开始一下变坡点的测量。

面积测量

测量方法: 依次测量待测区域的各特征点的坐标,或调取已经存储的坐标数据来计算待测区域的面积。

测量要求:

1、可以任意点设站,尽可能保证一站可以测完所有特征点。

2、如果不能一站测完所有点,则可以分块测量所有特征点在同一坐标系下的坐标值进行调用计算(600/700),也可以分块测量后面积相加(630/600/700)。

3、测量的特征点越多,精度越高。

4、测量不需要闭合到起点。

分块面积测量

调取坐标计算面积

提高面积测量精度

所有特征点都只要测一次

悬高测量

作用:间接测量目标高度,适用于无法直接测量高度的时候。

分类:1、有棱镜高

2、无棱镜高

悬高测量操作:

有棱镜高操作:

1、把棱镜放在待测目标正下方。

2、输入当前棱镜高。

3、瞄准棱镜测距。

4、转动望远镜照准待测目标,仪器显示当前高度。

无棱镜高操作:

1、把棱镜放在待测目标正下方。

2、输入当前棱镜高。

3、瞄准棱镜测距。

4、转动望远镜照准0高度点后将该点设为0高度点。

5、转动望远镜照准待测目标,仪器显示当前高度。

悬高测量原理(有棱镜高)

悬高测量原理(无棱镜高)

相对直线坐标

相对坐标系的建立

先通过两个点定义一条基线,以起点为坐标原点,起点到终点的方向作为X轴的正方向,顺时针方向90为Y轴正方向建立一个独立的坐标系。

操作

测量起点A

测量终点B

获得测站的相对坐标

测量其它的待测点,获得待测点的相对坐标

相对直线坐标计算原理

直线放样

作用:通过两个已知点定义一条基线,输入距离起点的长度和偏距计算出坐标进行放样。

注意事项:

1、施测前必须设置测站和定向。

2、起点和终点坐标可以调取,也可以实地测量。

3、按起点到终点为前进方向,偏距按左负右正输入。

适用于测放边桩、等距桩、龙门桩或轴心线等。

直线放样操作步骤:

1、输入或测量起点坐标和终点坐标来定义基线。

2、输入待计算点到起点的距离和偏距。(当偏距为0时,该点在基线方向上)

3、计算出待放样点坐标。

4、使用计算出的放样点坐标进行坐标放样。

直线放样计算原理

角度偏心法测坐标

在待测目标无法直接放置棱镜时,可以待测目标旁边等距离处放置棱镜,以获得待测目标的距离、再照准待测目标中心获得方位角即可计算出待测目标的坐标。

角度偏心法操作

在待测目标旁放置棱镜(要求棱镜所处位置与待测目标到仪器的距离相等或尽可能相近)à照准棱镜测距à转动望远镜照准待测目标中心à屏幕上显示的坐标就是待测目标的近似坐标à确认。

电子经纬仪的功能

电子经纬仪与光学经纬仪的区别

水平角置零

水平角锁定

左右角切换

角度ßà坡度切换

角度复测

测距(已经连接测距头)

照明

水平角置零

功能:将水平角设为0°0′0″ 。

适用情况:从已知方向拨一个已知角度。

激光经纬仪

适用于大型船舶的制造;中小型水坝坝体位移测量;重型机器的窗身校正,机件变形测量;港口、桥梁工程;大型管道、管线的铺设;隧道、井巷工程;高层建筑、大型塔架;飞机机架安装;天顶方向的垂线测量;

激光投线仪

提供水平和竖直方向的激光线

激光扫平仪

提供360度激光水平线

应用于建筑施工、楼宇建设、广场建设、机场建设、道路建设、大型设备安装、电梯安装、大面积土地平整以及装璜等领域,并可与推土机,铲掘机等施工机械配合,实现自动化施工

激光垂准仪

提供上下两条垂直线

适用:电梯安装、高层建筑。

JC100技术参数

线路认识

常见平曲线组成

直线段

圆曲线段

缓和曲线段

平曲线了解

了解线路的中线、前进方向、左右边线、五大桩、主点命名方法、偏角、转点、线路的组成。

路线的转折角

里程桩的命名

各桩的桩号表示该桩距路线起点的里程,例如:某交点桩距路线起点的距离为3135.12m,其桩号为JD3+135.12。

竖曲线

竖曲线计算

相关问答

全站仪 在房建中的 应用 有哪些?

接触全站仪已经有10年左右的时间,当初全站仪非常贵,一般情况下能有一个电子经纬仪就已经非常不错了。全站仪通常使用在道路,桥梁,勘察,水利居多,而在工民建...全...

全站仪 在平面控制测量中的 应用 ?

随着电子技术在测绘仪器中不断更新、应用。全站仪在平面控制测量中以导线测量为主。根据"工程测量规范"的要求,工程导线分为三、四等导线和一、二级导线。在...

全站仪 在测量工程中的 应用 有哪四个方面..._测量员考试_帮考网

全站仪按其外观结构可分为两类:(1)积木型(Modular,又称组合型)早期的全站仪,大都是积木型结构,即电子速测仪、电子经纬仪、电子记录器各是一个整...

全站仪 的使用说明?-ZOL问答

它由电子秤、水平仪、测距仪和水准仪等组成,通过测量目标点的三维坐标来确定其位置。在进行测量时,需要先将全站仪固定在稳定的基座上,并使用水平仪和水准仪进...

全站仪 使用方法?

全站仪的功能及使用方法如下:全站仪具有角度测量、距离测量、三维坐标测量、导线测量、交会定点测量和放样测量等多种用途,内置专用软件后,功能还可进一步拓展...

全站仪 点到直线的 应用 ?

1.是非常广泛的。2.首先,全站仪可以通过测量点到直线的距离来确定两个点之间的直线距离,这在土木工程、建筑工程等领域中非常重要。全站仪可以提供高精度的...

全站仪 的使用方法及按钮说明是什么?-ZOL问答

全站仪的使用方法及按键说明全站仪是一种测量仪器,广泛应用于测量领域。下面将介绍全站仪的使用方法及按键说明。一、准备工作在使用全站仪之前,需要做好准...

全站仪应用 原理是什么?

它的原理是电子测距技术和电子测角技术。全站仪是一种集光、机、电为一体的高技术测量仪器,是集水平角、垂直角、距离(斜距、平距)、高差测量功能于一体的测绘...

全站仪 的使用方法?

1.全站仪的基本操作与使用方法(1)测量前的准备工作1)电池的安装(注意:测量前电池需充足电)①把电池盒底部的导块插入装电池的导孔。②按电池盒的顶部...1...

全站仪 和RTK的功能是一样吗?分别 应用 在哪些类型的工程中?

全站仪是一种仪器,RTK算是一种技术。它们俩是没法做比较的!!功能的话,全站仪主要测坐标,一般用于结构物的测设,比如桥梁,房建工程等对于测量精度有要求的...全...

标签:

相关阅读