高中电子技术应用公式 「高中物理」重要力学公式,规律汇编

小编头像

小编

管理员

发布于:2026年04月14日

115 阅读 · 0 评论

「高中物理」重要力学公式、规律汇编

高中物理力学的学习,对公式、规律的掌握、应用非常重要,所以很有必要对相关公式、规律进行归纳总结,以下是对高中物理力学的相关公式、规律的归纳总结,供同学们学习参考。

1、 胡克定律: F = Kx

(x为伸长量或压缩量,K为倔强系数,只与弹簧的原长、粗细和材料有关)

2、 重力:G = mg

(g随高度、纬度、地质结构而变化)

3、求F1、F2两个共点力的合力的公式:

注意:(1)力的合成和分解都均遵从平行四边行法则。

(2)两个力的合力范围:ú F1-F2ú ≤ F≤ F1 +F2

(3)合力大小可以大于分力、也可以小于分力、也可以等于分力。

4、两个平衡条件:

⑴ 共点力作用下物体的平衡条件:静止或匀速直线运动的物体,所受合外力为零。

åF=0 或åFx=0 åFy=0

推论:

① 非平行的三个力作用于物体而平衡,则这三个力一定共点。

② 几个共点力作用于物体而平衡,其中任意几个力的合力与剩余几个力(一个力)的合力一定等值反向

③动轴物体的平衡条件:力矩代数和为零.

力矩:M=FL (L为力臂,是转动轴到力的作用线的垂直距离)

5、摩擦力的公式:

⑴ 滑动摩擦力:f=mN

说明:a、为接触面间的弹力,可以大于G;也可以等于G;也可以小于G

b、摩擦系数,只与接触面材料和粗糙程度有关,与接触面积大小、接触面相对运动快慢以及正压力N无关.

⑵ 静摩擦力: 由物体的平衡条件或牛顿第二定律求解,与正压力无关.

大小范围: 0≤f静≤ fm (fm为最大静摩擦力,与正压力有关)

说明:

a 、摩擦力可以与运动方向相同,也可以与运动方向相反,还可以与运动方向成一定夹角。

b、摩擦力可以作正功,也可以作负功,还可以不作功。

c、摩擦力的方向与物体间相对运动的方向或相对运动趋势的方向相反。

d、静止的物体可以受滑动摩擦力的作用,运动的物体可以受静摩擦力的作用。

6、 浮力: F=rVg (注意单位)

⑴ 适用条件

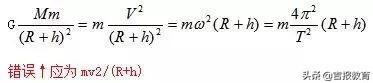
⑵G为万有引力恒量

⑶ 在天体上的应用:(M一天体质量 R一天体半径 g一天体表面重力加速度)

a、万有引力=向心力

12、匀变速直线运动:

基本规律:Vt= V0+ a t S = vot + 1/2a t2

几个重要推论:

⑴ Vt2 - V02= 2as (匀加速直线运动:a为正值 匀减速直线运动:a为负值)

⑷ 匀速:Vt/2=Vs/2 ;匀加速或匀减速直线运动:Vt/2<Vs/2

⑸ 初速为零的匀加速直线运动,在1s、s、3s…ns内的位移之比为:12:22:32……n2;

⑹ 在第1s 内、第 2s内、第3s内……第ns内的位移之比为1:3:5……(2n-1);

⑺ 在第1米内、第2米内、第3米内……第n米内的时间之比为

⑻ 初速无论是否为零,匀变速直线运动的质点,在连续相邻的相等的时间间隔内的位移之差为一常数:Ds = aT2 (a一匀变速直线运动的加速度 T一每个时间间隔的时间)

13、竖直上抛运动:上升过程是匀减速直线运动,下落过程是匀加速直线运动。全过程是初速度为VO、加速度为-g的匀减速直线运动。

⑶ 上升、下落经过同一位置时的加速度相同,而速度等值反向

⑷ 上升、下落经过同一段位移的时间相等。

注意:⑴ 匀速圆周运动的物体的向心力就是物体所受的合外力,总是指向圆心。

⑵ 卫星绕地球、行星绕太阳作匀速圆周运动的向心力由万有引力提供。

⑶ 氢原子核外电子绕原子核作匀速圆周运动的向心力由原子核对核外电子的库仑力提供。

15 直线运动公式:匀速直线运动和初速度为零的匀加速直线运动的合运动

水平分运动: 水平位移:x= vot

水平分速度:vx= vo

竖直分运动: 竖直位移:y =1/2gt2

竖直分速度:vy= gt

在Vo、Vy、V、X、y、t、q七个物理量中,如果已知其中任意两个,可根据以上公式求出其它五个物理量。

16、 动量和冲量:动量:P = mV 冲量:I = Ft

17、 动量定理: 物体所受合外力的冲量等于它的动量的变化。

公式:F合t = mv’ 一mv (解题时受力分析和正方向的规定是关键)

18、动量守恒定律:相互作用的物体系统,如果不受外力,或它们所受的外力之和为零,它们的总动量保持不变。

研究对象:相互作用的两个物体或多个物体。

公式:m1v1 + m2v2 = m1v1‘+ m2v2′或Dp1=一Dp2 或Dp1+Dp2=0

适用条件:    

(1)系统不受外力作用。

(2)系统受外力作用,但合外力为零。

(3)系统受外力作用,合外力也不为零,但合外力远小于物体间的相互作用力。

(4)系统在某一个方向的合外力为零,在这个方向的动量守恒。

19、 功 : W = Fs cosq (适用于恒力的功的计算)

(1) 理解正功、零功、负功

(2)功是能量转化的量度

重力的功------量度------重力势能的变化

电场力的功-----量度------电势能的变化

分子力的功-----量度------分子势能的变化

合外力的功------量度-------动能的变化

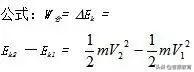
20、动能和势能:

21、动能定理:外力对物体所做的功等于物体动能的变化(增量)。

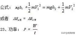
22、机械能守恒定律:机械能 = 动能+重力势能+弹性势能

条件:系统只有内部的重力或弹力做功.

(在t时间内力对物体做功的平均功率)

P = FV (F为牵引力,不是合外力;V为即时速度时,P为即时功率;V为平均速度时,P为平均功率; P一定时,F与V成正比)

23、简谐振动:

电子从业者需要掌握的十大公式

基尔霍夫电压定律

基尔霍夫电压定律表明:沿着闭合回路所有元件两端的电势差(电压)的代数和等于零。

基尔霍夫(电路)定律是求解复杂电路的电学基本定律。某些电路呈现出网络形状,并且网络中还存在一些由3条或3条以上支路形成的交点 (节点)。这种复杂电路不是串、并联电路的公式所能解决的。基尔霍夫定律包括基尔霍夫第一定律和基尔霍夫第二定律,其中基尔霍夫第一定律称为基尔霍夫电流定律,简称KCL;基尔霍夫第二定律即为基尔霍夫电压定律,简称KVL。

图 1

基尔霍夫电流定律

基尔霍夫电流定律表明:所有进入某节点的电流的总和等于所有离开这节点的电流的总和。假设进入某节点的电流为正值,离开这节点的电流为负值,则所有涉及这节点的电流的代数和等于零。

图 2

戴维宁定理

戴维南定理:含独立电源的线性电阻单口网络N,就端口特性而言,可以等效为一个电压源和电阻串联的单口网络。

戴维南定理指出,等效二端网络的电动势E等于二端网络开路时的电压,它的串联内阻抗等于网络内部各独立源和电容电压、电感电流都为零时,从这二端看向网络的阻抗Zi。

诺顿定理

诺顿定理:含独立源的线性电阻单口网络N,就端口特性而言,可以等效为一个电流源和电阻的并联。诺顿定理指的是一个由电压源及电阻所组成的具有两个端点的电路系统,都可以在电路上等效于由一个理想电流源I与一个电阻R并联的电路。

诺顿定理与戴维南定理互为对偶的定理。

图 3

特勒根定理

对于一个具有n个结点和b条支路的电路,假设各条支路电流和支路电压取关联参考方向,并令(i1,i2,···,ib)、(u1,u2,···,ub)分别为b条支路的电流和电压,则对于任何时间t,有i1*u1+i2*u2+···+ib*ub=0。

应用特勒根定理可方便地证明电路中的互易定理、复功率平衡定理等。

叠加定理

电路的叠加定理指出:对于一个线性系统,一个含多个独立源的双边线性电路的任何支路的响应(电压或电流),等于每个独立源单独作用时的响应的代数和,此时所有其他独立源被替换成他们各自的阻抗。

图 4

互易定理

在只含一个电压源(或电流源),不含受控源的线性电阻电路中,电压源(或电流源)与电流表(电压表)互换位置,电流表(电压表)读数不变。这种性质称为互易定理。

欲了解更多电子设计及软件使用方法请关注我们!

相关问答

【孤对 电子 如何计算和 应用 】作业帮

[最佳回答]公式;二分之一(A-XB)A是中心原子的价电子数也就是最外层电子数.X是西格玛键也就是配对原子个数B是配对原子可以还可以容纳的电子数举个例子例如H20...

高中 阶段物理 公式 (全部)_作业帮

[最佳回答]一,力学胡克定律:F=kx(x为伸长量或压缩量;k为劲度系数,只与弹簧的原长,粗细和材料有关)重力:G=mg(g随离地面高度,纬度,地质结构而变化;重...

孤对 电子数 计算公式 根据 公式 1/2(a-xb)怎样计算C2H2,C2H4,HCN...

C2H2:1/2(6-2x1)=2.因为c的价电子数为6C2H4:1/2(6-4x1)=1同理,HCN:1/2(6-1x1-1x1)=2因为N的最外层电子数为7所以外层电子可结合电子数为1.C2H2...

孤对 电子 如何计算和 应用 ?

公式;(A-XB),A是中心原子的价电子数也就是最外层电子数。X是西格玛键也就是配对原子个数,B是配对原子可以还可以容纳的电子数。1、孤对电子(lonepairelec...

成对 电子 数怎么数?

1、s轨道能容下两个电子,只有一个电子时是未成对电子。2、p轨道能容下6个电子,排电子时先排三个,再依次排这三个的成对电子,有4个电子时就是两个未成对。3...

电子公式 ?

公式:Εk=hν-Wohv是光子的能量,Wo是逸出功,EK就是最大初动能hv由照射金属的光子决定,h为普朗克常量,ν表示入射光的频率Wo由金属性质决定,不同金属Wo...

关于化学 电子 守恒 公式 的计算格式 - 懂得

还原反应就在等号右边电子守恒法就是在氧化还原反应中得失电子守恒。计算公式:n(氧化产物)×变价原子个数×化合价变化值=n(还原产物)×变价原子个...

共用 电子 对的计算 公式 ?

共用电子对数即为共价键的数量,我们设中心原子为A,n为共价键的个数。公式为:n=1/2*(所有原子达到稳定结构时的最外层电子数-所有原子的价电子数)结构的基本...

电子 速度大小计算 公式 ?

电子速度大小可用以下公式计算:v=sqrt(2*q*V/m)。其中,v表示电子的速度大小,q代表电子电荷,V为电子所受电势差,m为电子的质量。这个公式是根据电场...

学不好高等数学就学不好 应用电子技术 是吗?

答:电子技术的许多公式是用高等数学推导出来的,例如RC电路的过渡过程的公式就是解微分方程得到的,靠经验靠实验靠想像得到是万不可能的。正因为如此,在大学...

标签:

相关阅读