电子管半波整流应用 半波整流电路工作原理和特点

小编头像

小编

管理员

发布于:2025年05月03日

100 阅读 · 0 评论

半波整流电路工作原理和特点

整流器是将交流电压转换为直流电压的电子设备。换句话说,它将交流电转换成直流电。几乎所有的电子设备都使用整流器。主要用于将主电压转换为电源部分的直流电压。通过使用直流电压供应电子设备工作。根据导通时间,整流器分为两类:半波整流器和全波整流器。

半波整流器的工作

在正半周期内,二极管处于正向偏置状态,并将电流传导至RL(负载电阻)。在负载上产生电压,这与正半周的输入交流信号相同。

或者,在负半周期间,二极管处于反向偏置状态,没有电流流过二极管。只有交流输入电压出现在负载两端,并且这是在正半周期内可能出现的最终结果。输出电压脉动直流电压。

整流器电路

单相电路或多相电路位于整流器电路之下。对于国内应用,使用单相低功率整流电路,工业HVDC应用需要三相整流。PN结二极管最重要的应用是整流,它是将交流转换为直流的过程。

单相整流器

半波整流

在单相半波整流器中,交流电压的正或负一半流动,而交流电压的另一半被阻断。因此输出只接收交流波的一半。单相半波整流需要一个二极管,三相电源需要三个二极管。半波整流器比全波整流器产生更多数量的纹波,并且消除谐波需要更多的滤波。

对于正弦输入电压,理想半波整流器的空载输出直流电压为Vrms = Vpeak / 2Vdc = Vpeak /π

这里

Vdc,Vav - 直流输出电压或平均输出电压

Vpeak - 输入相电压的峰值

Vrms - 均方根值的输出电压

半波整流器的操作

PN结二极管仅在正向偏置条件下导通。半波整流器采用与PN结二极管相同的原理,从而将交流转换为直流。在半波整流电路中,负载电阻与PN结二极管串联。交流电是半波整流器的输入。一个降压变压器需要输入电压,而变压器的输出结果会提供给负载电阻和二极管。

在正半周期内,二极管处于正向偏置状态。在负半周期间,二极管处于反向偏置状态。电压输出在负载电阻上测量。在正半周期内,输出为正值且显着。在负半周期内,输出为零或不显着。这被称为半波整流。

半波整流器的工作

在正半周期中,当上端的次级绕组相对于下端为正时,二极管处于正向偏置状态并导通电流。在正半周期中,当假定二极管的正向电阻为零时,输入电压直接施加到负载电阻。输出电压和输出电流的波形与交流输入电压的波形相同。

在负半周期中,当下端的次级绕组相对于上端为正时,二极管处于反向偏置状态并且不传导电流。在负半周期间,负载两端的电压和电流保持为零。反向电流的幅度非常小,并且被忽略。所以,在负半周期内没有功率输出。

一系列正半周是在负载电阻上产生的输出电压。输出是一个脉动的直流波,并使平滑的输出波滤波器,这应该是跨越负载,使用。如果输入波是半周期的,那么它被称为半波整流器。

三相半波整流电路

三相半波非控制整流器需要三个二极管,每个都连接到一个相。三相整流器电路在直流和交流连接上都会产生大量谐波失真。直流侧输出电压每个周期有三个不同的脉冲。

半波整流器特性

用于以下参数的半波整流器的特性

PIV(峰值反向电压)

在反向偏压条件下,二极管必须承受其最大电压。在负半周期内,没有电流流过负载。因此,二极管上会出现整个电压,因为负载电阻没有电压降。

半波整流器的PIV = V SMAX

二极管的平均电流和峰值电流

假设变压器次级的电压为正弦波,其峰值为V SMAX。施加给半波整流器的瞬时电压是Vs = V SMAX Sin wt流过负载电阻的电流是

I MAX = V SMAX /(R F + R L)

调整是空载电压与满载电压相对于满载电压的差值,电压调整百分比为%调节= {(Vno-load-Vfull-load)/ Vfull-load} * 100效率输入AC与输出DC的比率称为效率(?)。

?= Pdc / Pac

传递给负载的直流电源是

Pdc = I 2 dc R L =(I MAX /π)2 R L

输入到变压器的交流电源,

Pac =负载电阻的功耗+结型二极管的功耗

= I 2 rms R F + I 2 rms R L = {I 2 MAX / 4} [R F + R L ]

α= Pdc / Pac = 0.406 / {1 + R F / R L }

当R F被忽略时,半波整流器的效率为40.6%。

纹波系数(γ)

纹波含量被定义为输出DC中存在的AC含量。如果纹波系数较小,整流器的性能会更好。半波整流器的纹波系数值为1.21。

I 2 = I 2 dc + I 2 1 + I 2 2 + I 2 4 = I 2 dc + I 2 acγ=我交流 / I DC =(I 2 - I 2 直流)/ I DC = {(I RMS / I 2 直流)/目标值Idc = {(I RMS / I 2 直流)-1} = K ?F 2 -1 )其中kf - 形状因子kf = Irms / Iavg =(Imax / 2)/(Imax /?)=?/ 2 = 1.57所以, γ =(1.572-1)= 1.21变压器利用系数(TUF)

它被定义为输送到负载和变压器次级AC额定值的AC电力的比率。半波整流器的TUF约为0.287。

半波整流器的优点

低廉

简单

使用方便

组件数量少

半波整流器的缺点

更多的波纹内容

变压器利用率非常低

整流效率低

产生谐波

什么是半波整流?半波整流电路原理详解,图文结合,通俗易懂

大家好,我是李工,希望大家多多支持我。

上一篇给大家讲了一下整流电路,今天给大家详细地讲一下半波整流电路。

什么是半波整流电路?

半波整流电路的基本操作非常简单,输入信号通过二极管,由于只能通过一个方向的电流,二极管的整流作用,单个二极管只允许通过一半的波形。

下图说明了半波整流电路的基本原理。

半波整流电路工作图

当标准交流波形通过半波整流电路时,只剩下一半的交流波形。半波整流电路仅允许交流电压的一个半周期(正半周期或负半周期)通过,并将阻止直流侧的另一个半周期。 只需要一个二极管就可以构成一个半波整流电路。本质上,这就是半波整流电路所做的一切。

半波整流电路原理

一个完整的半波整流电路由3个部分组成:变压器、阻性负载、二极管

半波整流电路

半波整流电路原理-如何将交流电压转化为直流电压?

先将高交流电压施加到降压变压器的初级侧,在次级绕组处获得将施加到二极管的低电压。

半波整流电路接线图

在交流电压的正半周期间,二极管将正向偏置,电流流过二极管。在交流在交流电压的负半周期间,二极管将反向偏置,电流将被阻断。次级侧 (DC) 的最终输出电压波形,如上图 所示。

之后专注于电路的次级侧,如果用源电压代替次级变压器线圈,可以将半波整流器的电路图简化为下图。

半波整流电路原理

现在没有电路的变压器分散我们的注意力。对于交流电源电压的正半周期,等效电路有效地变为下图:

等效电路图

因为二极管是正向偏置的,因此允许电流通过。所以我们有一个闭合电路。

但对于交流电源电压的负半周,等效电路变为:

等效电路图

整流二极管现在处于反向偏置模式,所以没有电流能够通过它。因此,现在有一个开路。由于这段时间内电流不能流过负载,输出电压为零。这会发生得非常快——因为交流波形每秒会在正负之间多次振荡(取决于频率)。这是半波整流电路波形在输入侧 (V in ) 的样子,以及在整流后(即从 AC 到 DC 的转换)在输出侧 (V out ) 的样子:

半波整流电路波形图

正半波整流前后的电压波形如下图所示。

半波整流电路电压波形图

相反,负半波整流器将只允许负半波通过二极管,并将阻止正半波。正半波整流器和负半波整流器之间的唯一区别是二极管的方向。如在上图中看到的,二极管现在处于相反的方向。因此,二极管现在将仅在交流波形处于其负半周期时才正向偏置。

半波整流电路参数与计算公式

半波整流电路的纹波系数

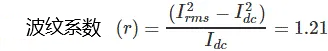
“纹波”是将交流电压波形转换为直流波形时剩余的不需要的交流分量。尽管我们尽最大努力去除所有交流分量,但在输出侧仍有少量残留物会产生直流波形的脉动。这种不受欢迎的交流分量称为“纹波”。

为了量化半波整流器将交流电压转换为直流电压的能力,我们使用所谓的纹波系数(由 γ 或 r 表示)。纹波系数是整流器交流电压(输入侧)与直流电压(输出侧)的RMS值之比。

二极管的纹波系数的公式为:

整流二极管的波纹系数公式

也可以重新排列为下面的等式:

整流二极管的波纹系数公式

半波整流器的纹波系数等于1.21(即γ=1.21)。

请注意,为了构建一个好的整流器,我们一般希望将纹波系数保持在尽可能低的水平。这就是为什么我们使用电容和电感作为滤波器来减少电路中的纹波。

半波整流电路的效率

整流器效率 (η) 是输出直流功率与输入交流功率之比。效率的公式等于:

半波整流电路的效率

半波整流器的效率等于 40.6%(即 η max = 40.6%)

半波整流电路的有效值

为了得出半波整流器的 RMS 值,我们需要计算负载上的电流。如果瞬时负载电流等于 i L = I m sinωt,则负载电流的平均值 (I DC ) 等于:

半波整流电路的负载电路的有效值

其中 I m等于负载上的峰值瞬时电流 (I max )。因此,负载上获得的输出直流电流 (I DC ) :

输出直流电流 公式

对于半波整流器,RMS 负载电流 (I rms ) 等于平均电流 (I DC ) 乘以 π/2。因此,半波整流器的负载电流 (I rms ) 的 RMS 值为:

负载电流 (I rms ) 的 RMS公式

其中 I m = I max等于负载上的峰值瞬时电流。

半波整流电路的峰值反向电压

峰值反向电压 (PIV) 是二极管在反向偏置条件下可以承受的最大电压。如果施加的电压超过 PIV,二极管将被破坏。

半波整流整流电路的形状因素

形状因数(FF)是有效值与平均值的比值,如下式所示:

半波整流电路的形状因数(FF)

半波整流器的形状因子等于 1.57(即 FF=1.57)。

半波整流电路的输出电压

负载电阻上的输出电压 (V DC )表示为:

半波整流电路输出电压计算公式

半波整流电路应用

虽然半波二极管整流电路基本上使用单个二极管,但二极管周围有一些电路差异,具体取决于应用。

电源整流

当用于电源整流时,半波整流电路如果要以任何方式为设备供电,则与变压器一起使用。通常在此应用中,输入交流波形是通过变压器提供的。这用于提供所需的输入电压。

AM解调

一个简单的半波二极管整流器可用于调幅信号的信号解调。整流过程使幅度调制得以恢复。当半波整流电路用于幅度调制检测时,该电路显然需要与收音机中的其他电路接口。

峰值检测

半波二极管电路通常用作简单的电压峰值检测器。通过在输出负载上放置一个电容,电容器将充电至峰值电压。如果 CR 网络、电容器和负载电阻的时间常数比波形周期长得多或足以捕获变化波形的峰值,则电路将保持电压峰值。

相关问答

半波整流 电路的功能?

半波整流电路的主要功能是将交流电信号转化为单向的直流信号。该电路通过使用一个二极管来阻止电流在一个方向上流动,从而只允许电流在另一个方向上流动,这样...

三相 半波 可控 整流 电路的优势?

1)单相可控整流电路具有经济、简单、调核方便等方面的优点,在几个千瓦以下的小容位悄况下多用这种线路,应用较为普迫,但由于单相可控棋流电路输出电压脉动较...

电磁铁为什么要 半波整流 ?

电磁铁是利用奥斯特原理来工作的。即通电时才有磁性,磁性强弱与电流强弱有关,磁场方向与电流方向有关,因此,交流电通过半波整流只剩下了一个方向上的电流,...

半波整流 的概念?

半波整流是一种利用二极管的单向导通特性来进行整流的常见电路,其作用是将交流电转换为直流电,也就是整流,因为半波整流后输出的直流电为脉动直流电,只能用在...

什么是 半波整流 啊?

交流电的完整波形分为正半波和负半波。整就是把波形统一变为全部是正半波或全部是负半波,如果是把正半波和负半波都整波就是全波整波,如果只把正半波(或负半波...

半波整流 与全波整流的区别电路中的半波与全波整流的电路图...

[最佳回答]当人们想把交流电变成直流电是就需此电路.因交流电流动方向是反复交替变化的电流,而直流电是单方向流动,人们就利用二极管单向导电性将电流转换为一...

半波整流 后的电能直接用吗?

半波整流后的电能不能直接使用。它只包含交流电源中一个半周期的正半周或负半周,因此电流方向单一。对于大多数设备,这种脉动的直流电不适用于稳定运行,因为它...

变压器次级线圈的中心抽头起什么作用?在单相全波 整流 电路中,...

[最佳回答]中心抽头是在整个次级线圈的中心拉出的一段导线上,它相对于另外两边的抽头电压居中,而为:零.两边的电压就是一正一负.为什么二极管承受的最大反向电...

整流 电路的作用?

整流:把交流电变换成近似直流电的电路。最原始的整流电路为半波整流,也就是在交流回路中串接一个二极管,利用二极管的单向导通性,将交流电的负半波切去,只...

12千瓦的 半波整流 器对电网影响大吗?

如果是自制充电器,书上会说脉冲充电效果更好,由此可以得出半流整流效果好于全波。但如果被充电的电池容量较大,那么半流整流对电网的负面影响太大,如果有变...

标签:

相关阅读