电子电路分析与应用知识点 电路分析知识点

小编头像

小编

管理员

发布于:2025年05月02日

118 阅读 · 0 评论

电路分析知识点

一、 基本概念

1、 电路定义

由电工设备和元器件按一定的方式联接起来且为电流流通提供路径的总体。电路的主要作用:进行电能的传输、分配及转换的过程、进行信号的处理等。

2、 理想元件

是实际器件在一定条件下抽象化和理想化后得到的模型。

3、 电路模型

用抽象的理想元件及其组合近似地代替实际器件,从而构成与实际电路相对应的电路模型。

4、 集总假设

若实际电路的电器装置的几何尺寸与工作波长相比非常小以至可以忽略不计,则称为集总参数器件或元件;集总参数元件不考虑体积大小(相当于物理概念中的质点),即特性集中在空间一个点上,从一端流出的瞬时电流等于从另一端流出的瞬时电流;在集总参数电路中,电场只与电容元件有关,磁场只与电感元件有关,电阻只耗能,电场与磁场之间无相互作用。

5、 支路

一个二端元件称为一条支路,或电路中具有两个端钮且通过同一个电流的分支(例如电阻串联等)。

6、 节点

两条或两条以上支路的连接点。

7、 回路

任一闭合路径都称为回路。

8、 网孔

回路中不再含有支路的回路。

9、 参考点

电路中指定的零电位点,用接地表示。

10、 节点电位

电路中某节点与参考点之间的电压称为该节点的电位。如a点电位记为ua。

11、 电压

两节点之间的电位差称为这两个节点之间的电压。

12、 独立源

能独立向外电路提供能量的电源称为独立源,它是电路的能量来源,是电路的激励。

13、 参考点

电路中指定的零电位点,用接地表示。

14、 节点电位

电路中某节点与参考点之间的电压称为该节点的电位。如a点电位记为ua。两节点之间的电位差称为这两个节点之间的电压。

15、 二端网络

对外只有两个端钮的网络整体,也称为单口网络;二端网络端口上电压与电流的关系称为二端网络的伏安关系;二端网络的VAR只取决于网络内部的参数和结构,与外电路无关。

16、 二端网络VAR的求法

外加电压源求电流或外加电流源求电压;不含独立源的二端网络(可含电阻和受控源)的VAR总可表为u=Bi的形式,含独立源的二端网络的VAR可表为u=A+Bi的形式(线性)。

17、 等效二端网络的定义

如果一个二端网络N与另一个二端网络N’具有完全相同的VAR,则N与N’是互为等效的二端网络

18、 输入(输出)电阻

是指网络两端的除源等效电阻(也是戴维南等效电阻);除源:指独立源置0,即电压源用短路线代替,电流源用开路代替(注意:受控源不能置零)。

19、 交流电

电压或电流的大小和方向均随时间变化时,称为交流电,最常见的交流电是随时间按正弦规律变化正弦电压和正弦电流。其三要素为:幅度、角频率和初始相位。

20、 有效值

有效值:与交流热效应相等的直流定义为交流电的有效值。

21、 一阶电路

只含有一个独立的动态元件的电路称为一阶电路。(含有n个独立的动态元件的电路称为n阶电路),描述一阶电路的方程是一阶微分方程,列微分方程的基础是KVL、KCL和VAR,求解微分方程得所需响应。

22、 零输入响应

在动态电路中,响应不仅与激励有关,而且与电容、电感的初始贮能有关,即与电容电压和电感电流的初始值有关。无源(独立源)一阶电路,响应的原因是由初始贮能决定,称为零输入响应。

23、 零状态响应

有源(独立源)一阶电路,当电路中电容或电感 无初始贮能时,此时响应的原因是由激励决定的,称为零状态响应。

24、 完全响应

当电路中又有激励又有初始贮能时,响应的原因是由两者共同决定,称为完全响应。

三要素法初值f(0+)、稳态值f稳态值、时间常数τ,对电容来说:τ=RC,对τ=L/R

二、 电路的基本变量及其关系

1、 电压

单位正电荷从一点移动到另一点获得或失去的能量。

2、 电流

单位时间内通过导体横截面的电量,单位:A(安培)。

3、关联参考方向

电压与电流的参考方向一致,即电流从高电位点流向低电位点,则称u、i为关联参考方向。

4、伏安关系

元件电压和电流的关系,简写为VAR,在u-i平面上画出的电压和电流的关系曲线称为伏安特性曲线。

5、功率

当u、i为关联参考方向时p=ui,当u、i为非关联参考方向时p=-ui,当p>0时,表明电路吸收或消耗能量,当p<0时,表明电路产生能量或提供能量(例如电源)。

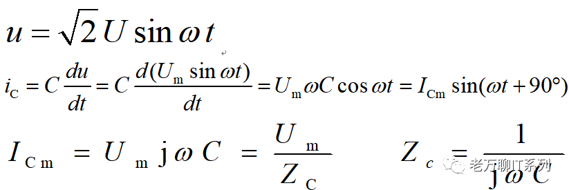
6、电容元件上的电压、电流关系

ZC容抗:反映了电容元件对正弦交流电流的阻碍作用。只有在一定频率下,电容元件的容抗才是常数

7、电感元件上的电压、电流关系

ZL感抗:反映了电感对正弦交流电流所呈现的电抗,简称感抗,单位和电阻一样,也是欧姆。

8、基尔霍夫电流定律(KCL)

在集总参数电路中,任一时刻,对任一节点,流出(或流入)该节点的电流代数和等于0(要么全是流入、要么全是流出)。

9、基尔霍夫电压定律(KVL)

在集总参数电路中,任一时刻,对任意回路,绕回路一周的各支路电压降的代数和为0。

10、独立性和完备性

独立性是指各变量线性无关,即其中的某个变量不能由其它的变量表示出来;完备性指这组独立电流变量以外的其它电流变量可由这些独立电流变量线性表出。

11、网孔电流

是一种假想的电流,沿各网孔边界流动的首尾闭合的环流,可顺时针流,也可逆时针流,方向由自己假设。

12、线性网络

只有线性元件和独立源构成的网络称为线性网络。

13、线性网络的齐次性、叠加性

齐次性:若f(t)→y(t),则af(t)→ay(t)

叠加性:若f1(t)→y1(t),f2(t)→y2(t)

则:f1(t)+f2(t)→y1(t)+y2(t)

线性:af1(t)+bf2(t)→ay1(t)+by2(t)

14、叠加定理

在任何线性网络中,每一个支路响应都可以看成是各个独立源单独作用时在该支路上产生的响应的代数和。当一个独立源单独作用时,其它独立源要置0:电压源置0,用短路线代替,电流源置0,用开路代替。

15、戴维南定理

任何一个线性含源二端网络N均可用一个电压源串联电阻来等效,其中,电压源的电压为二端网络的端口上的开路电压,所串联的电阻为二端网络的除源等效电阻。

16、戴维南等效电路的求法总结

① 用外加电源法求VAR:u=R0I+Uoc 得等效电路

② 根据戴维南定理,分别求Uoc和R0

③ 对简单电路进行化简,得等效电路的形式

17、戴维南等效的应用

① 用于简化电路的分析

② 有利于逐级分析

③ 求负载的最大功率(功率匹配问题)

④ 解含有一个非线性元件的电路

18、诺顿定理

任何线性含源二端网络N,均可用一个电流源并联电阻来等效,其中,电流源的电流为N端口上的短路电流,并联电阻为二端网络的除源等效电阻。

19、最大功率传输定理

当且仅当负载电阻RL等于含源单口网络的等效电阻R0时,负载RL可获得最大功率,称为最大功率匹配,此时最大功率为:

三、 基本元器件

1、 电阻:

一个二端元件的电压和电流的关系表现为u-i平面上的一条曲线,则称该二端元件为电阻元件。(即电压电流为代数关系)。

电导:电阻的倒数,单位: 西门子(S):

线性电阻:凡在u-i平面内能用一条过原点的直线表示的二端元件称为线性电阻元件。两种特殊情况:开路:R=∞,短路:R=0。

2、 电容电感元件

是储能元件,是动态有记忆元件,其VAR是用微积分方程来表示。含有动态元件的电路称为动态电路。分析动态电路的依据仍是KVL、KCL和伏安关系。

3、 电容元件

①电容器的构成:两块金属板用绝缘介质隔开就构成了一个实际电容器;断电后电荷仍保留,因此贮存电场能量。

②定义:能够在q-u平面内用一条曲线(称为库伏特性曲线)来描述的二端元件称为电容元件,即电荷q和电压u存在着代数关系。若该曲线是过原点的直线,则称为线性电容元件,否则就称为非线性电容元件。单位:法拉(F),1F=106mF=1012pF

③电容电压的连续性:电容电压不跃变。

4、 电感元件

①把金属导线绕在一骨架上,可构成一实际电感线圈。当电流流过线圈时,将产生磁通。电感线圈是一种抵抗电流变化,储存磁场能量的元件。

②定义:在ψ-i平面中能用一条曲线(称韦安特性曲线)来描述的二端元件称为电感元件。当曲线为过原点的直线时,称为线性电感元件。线性电感元件是我们研究的主要对象。ψ(t)=Li(t), L为正常数。单位:享利(H)1H=103 mH

③电感电流的连续性:电感电流不跃变

5、 理想电压源与实际电压源

两端电压总能保持规定的值,与通过它的电流大小无关。符号如图1所示。实际电压源为理想电压源与电阻的串联,如图2所示。

图1 理想电压源 图2:实际电压源

6、 理想电流源与实际电流源

能够对外提供定值电流,而与其两端电压大小无关的二端元件,其符号如图3所示。实际电流源为理想电流源与电阻的并联,如图4所示

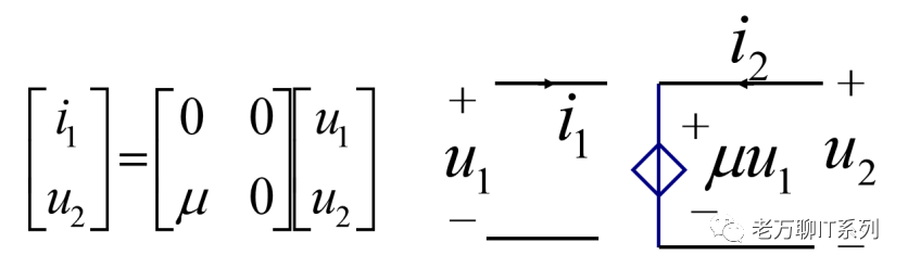
7、 电压控制电压源VCVS

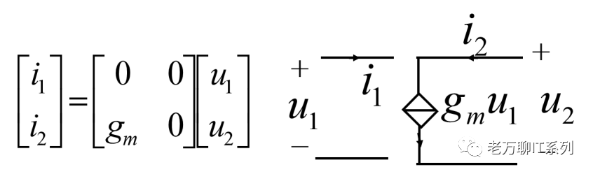
8、 电压控制电流源VCCS

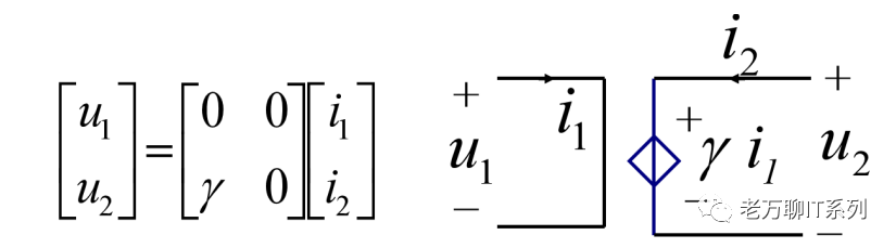
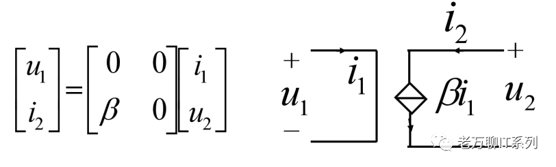
9、 电流控制电压源CCVS

10、 电流控制电流源CCCS

11、 电路中常见的线性元件有

线性电阻、独立源、线性受控源、线性电感、线性电容等。

12、 常见的理想电路元件

① 电阻元件:表示消耗电能的元件

② 电感元件:表示储存磁场能量的元件

③ 电容元件:表示储存电场能量的元件

④ 电源元件:表示提供电能的元件

浅谈电路分析

电路分析的方法有很多种,什么网孔电流法、支路电流法、支路电压法、2b方程、结点分析法、叠加原理、戴维宁定理、诺顿定理、替代定理,书上会告诉你各种方法,方法多,未必见得是好事,有的时候我们喜欢一成不变的东西,尽管可能会走一点弯路,但是却可以做到以不变应万变,删繁就简。

下面给出,电路分析心法要诀:

观察是否电路中电源数量,超过1个使用叠加定理,然后,采用结点分析法来建立结点方程,求解未知量,就这么简单,如果条件允许的话,可以在分析之前采用戴维宁定理进行电路化简。

下面实际操练一下:

例1:分析下面电路的作用。

两个输入源,叠加定理分解来求解。

先将U2置0,只保留U1,由1点的电压为0,根据运放虚短特性,2点电压亦为0V,建立2点的结点方程:

继续用叠加定理,将U1置0,只保留U2,如下图:

建立2点的结点方程

最后:

可见,这是一个加法电路

例2:再来一个,分析下面电路的作用。

叠加定理,U2置0,只保留U1,电路如下图:

1

点电位为0V,运放虚短,2点电位为0v,建立2点的结点方程,

继续叠加定理,U1置0,只保留U2,电路如下图:

该内容是小编转载自网络,仅供学习交流使用,如有侵权,请联系删除。如果你还想了解更多关于电子元器件的相关知识及电子元器件行业实时市场信息,敬请关注微信公众号 【上海衡丽贸易有限公司】

相关问答

电路 电路分析 ,电路原理, 电子 线路等教材有何不同?

电路分析电路理论包括电路分析和电路综合两大方面内容。电路分析的主要内容是指在给定电路结构、元件参数的条件下,求取由输入(激励)所产生的输出(响应);...

电路分析 基础对于这门课程你有什么感受?

电路分析,到了后面的课程——模拟电子线路、以及以后的相关课程,比如电气专业的电气线路的基础,还有通信专业的高频电子线路等等。电路分析是所有,这些课程...

pcb 电路分析 基础?

电路分析是电子类专业的第一门基础课。电路理论包括电路分析和电路综合两大方面内容。电路分析的主要内容是指在给定电路结构、元件参数的条件下,求取由输入(...

应用电子技术 是干嘛的?

[最佳回答]应用电子技术专业介绍(专业代码590202)专业培养目标本专业通过校企共建的模式,培养思想素质高,具有较强的社会责任感和扎实的电子技术基础知识...

转专业到 电子 信息工程,没学过 电路分析 ,大二的 电子 线路听不懂?

下定了决心,那么就要去承受。因为你比本专业同学晚入行...可以说的就是,作为转专业的同学,当初下定了决心,那么就要去承受。因为你比本专业同学晚入行一年,而...

电子 信息技术基础知识?

以下是我的回答,电子信息技术基础知识涵盖了电子设备与信息系统的基本原理、技术和应用。包括电子技术基础,如电路分析、模拟电路和数字电路;信息处理技术,如...

...路和 电子电路 有什么区别,在 分析电路 图时又有何异同吗?_作业帮

[最佳回答]你这样想就可以了电力电路是220V或者380V或者更高的,电子电路是5V左右的电子电路用于工控较多电子电路用于信息方面较多你这样想就可以了电力...

运放 电路分析 ?

运放电路是具有很高放大倍数的电路单元。在实际电路中,通常结合反馈网络共同组成某种功能模块。运放电路是一种带有特殊耦合电路及反馈的放大器。其输出信...

【ICT/FCT是什么意思?好像是关于 电子 方面的】作业帮

[最佳回答]ICT即In-CircuitTester简写中文译名,就是在线测试仪,测试电路板网络,和元器件,及线路通短,参考二楼的回答.相当于万用表,不过在线测试有隔离技术,...

电子 技术v, 分析 保护 电路 工作原理?

一般延时3~5秒。2、电路失控保护:由于电路故障或信号过载,使输出端出现直流电压时,强行切断输出,以保护负载(昂贵的音箱系统)。这两种保护是利用延时电路...

标签:

相关阅读