高数微积分及其应用电子版 大学高数和微积分公式大全!要考高数和微积分的同学转发收好

小编头像

小编

管理员

发布于:2025年05月02日

107 阅读 · 0 评论

大学高数和微积分公式大全!要考高数和微积分的同学转发收好

#近五成大学生每天读书不足半小时#

大学高数和微积分公式大全[good]要考高数和微积分的同学收好[ok]任何努力最终都不会辜负你![比心]一定可以帮到你[赞] ​​​​

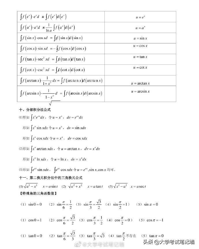
大学高数微积分线性代数公式大全

相关问答

【如何把 微积分 ,统计学 应用 到生活中, 应用 到工业中?1-高等数...

[最佳回答]高等数学是大学必修课程,涉及的范围很广泛,例如物理上应用的微分方程就是高等数学教授的内容.至于微积分,分为微分和积分两种,本质上应该是互逆运算...

高等数学、 微积分 的内容分别和高中数学哪些单元哪些知识有关...

[最佳回答]主要是集合部分,逻辑部分,三角函数部分;如果还要学有关空间(含二维以上)的部分,还要看空间几何(培养空间逻辑),解析几何;如果学的是数学分析(和高等...

有哪些好的高等数学、 微积分 的读物?

但我还想申明一点,说这本书是考试指南,确实有些贬低它了,因为它对概念的辨析,叙述,以及比较都是难得一见的耐心,细致,直击要害,直击人心,可谓是微积分学...第二...

高数 微积分 有什么区别?

高数中有微积分,但是不仅有微积分,微积分可以说是高数的灵魂吧,极限的引入是为了求黎曼和,然后导数,微分中值定理,不定积分,定积分,微分方程,之后到了下...高...

高等数学 微积分 基础计算方法?

微积分是高等数学中的重要内容,以下是一些常见的微积分基础计算方法:1.极限计算:极限是微积分的基础,用于研究函数在某一点或某一过程中的趋近值。常见的...

微积分 和高等数学有什么区别?

区别是微积分是高等数学的一部分。部分和整体的区别。微积分(Calculus),数学概念,是高等数学中研究函数的微分(Differentiation)、积分(Integration)以及有...

微积分 知识点吗,可以分享吗?

微积分知识是高等数学的一个重要知识点,本文就来分享一篇大一微积分知识点总结,希望对大家能有所帮助!下面将平时常考的八个知识点以及例题分享给大家。微积...

高等数学、 微积分 的内容分别和高中数学哪些单元哪些知识有关...

[最佳回答]只与导数和定积分有点关系.但高中学的都是很基础的几个公式,大学高数一样会再学一次.只不过比较简略.如果你想学好的话,就从高中导数和定积分入手...

如何一天学完高等数学 微积分 ?

一天学完高等数学微积分?即使你是天才,在没有任何基础的情况下也是不可能的!如果有人硬要说他可以,那么也只能是对高等数学中微积分相关概念有个大致的了解!...

在大学高等数学两本教科书里,属于一元 微积分 的有哪些章节?_...

[最佳回答]以同济六版为例,第七章以前的都是一元微积分.具体有函数和极限导数和微分微分中值定理及导数的应用不定积分定积分及其应用微分方程也是微积分...

标签:

相关阅读