对称性群及其应用电子版 2019第60期 ‖ 系统总结对称性+周期性+奇偶性大全

小编头像

小编

管理员

发布于:2025年05月05日

107 阅读 · 0 评论

2019第60期 ‖ 系统总结对称性+周期性+奇偶性大全

精品试卷,知识总结资料,每天准时更新,敬请大家关注,转发,分享;希望这些资料能给你带来更多帮助。

具体资料我们来看:(电子版可打印资料获取方式在文末)

电子版资料获取方式:(必须严格按照以下流程领取)

(资料完全免费,人人可领)

1、关注玩转高考数学 头条号并转发 本文

2、在评论区留言“我想领超级好资料”

3、私信“ 系统总结对称性+周期性+奇偶性大全” 按要求操作免费领取!

备考2022高中数学得分技巧:函数周期性和对称性最全总结,码起来

在高考时,有一类知识点是非常重要的。数学老师在课上讲的内容是非常基础的,但是在高考时对于这部分内容的考察确实非常综合的

这部分内容就是函数的性质,众所周知,函数的性质包括单调性,奇偶性,周期性和对称性等等。在函数性质里,有几个是高考后几道选择题中最爱考的内容。

第一个,就是对称性。

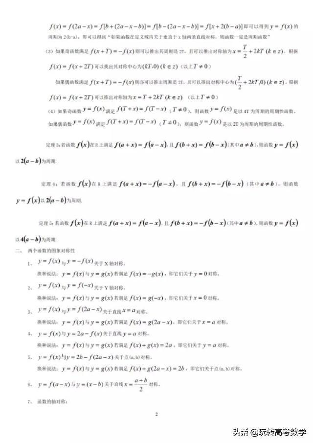
对称性指的是函数的图像,其中包含有两部分知识:点对称和轴对称;例如,y=sinx的图像是点对称的图像;又如,y=cosx的图像是轴对称的图像;

第二个,就是周期性。

周期性是指:若T为非零常数,对于定义域内的任一x,使f(x)=f(x+T) 恒成立,则f(x)叫做周期函数。

T叫做这个函数的一个周期。例如,y=sinx是一个周期函数,它的周期是2π;又如,y=cosx也是一个周期函数,它的周期也是2π;

马上迎来开学,许多同学都开始冲刺2022的复习了,所以今天就给大家整理了《函数周期性和对称性》问题,帮助大家加强对这部分内容的训练

完整电子版文档,文末获得

由于页数太多,下面仅能展示一部分

相关问答

钻石一定要有gia证书吗?

上面我们说到要在这里来讲切割工艺,是因为CutGrade(切割等级)不能被拿出来独立的看待,它还有两个辅助参数叫做Polish(抛光度)Symmetry(对称性)。只有...3EX切...

标签:

相关阅读