电子制冷片应用 电子制冷片冷水机 耐森温控·制冷专家

小编头像

小编

管理员

发布于:2026年04月14日

106 阅读 · 0 评论

电子制冷片冷水机 耐森温控·制冷专家

电子制冷片冷水机 耐森温控·制冷专家。江苏耐森温控科技致力于创新和技术进步,不断研发更高效、更环保的冷水机。我们的产品经过多轮优化,确保提供最佳的冷却解决方案,满足客户对各种应用环境的严格要求。

半导体制冷片

电热半导体制冷片(组件)利用帕尔贴(Peltier)效应进行制冷。Peltier效应是指电流通过电热偶时,一个节点发热,另外一个节点吸热的现象。这是由法国物理学家Jean Peltier在1834年发现的。

到了1960年左右,出现了利用N型、P型半导体材料制作的制冷片。因其体积小、制冷快、寿命长、无噪声等优点而被广泛应用在军事、医疗、实验装置中的制冷。

一片半导体制冷片

为了提高制冷片的效能,通常半导体制冷片中包含众多由N、P型半导体组成的制冷小单元。它们组成阵列排列,相互之间电气上是串联在一起。它们的冷端和热端则是并联在一起,夹两片陶瓷片之间进行固定。

左:^^一个制冷单元;^^右:^^串联在一起的制冷单元阵列

制冷片外部引线具有正负极性,由红、黑两种颜色区分。改变电流方向,就会改变制冷片的吸热和发热表面。

TEC1-12706半导体制冷片

由于制冷片是半导体材料制成,同时又具有热电效应,所以直接使用数字万用表测量制冷片外部引线,就会发现输出的阻值会在很大范围内变化,并且随着制冷片受热而剧烈变化。

下图实验显示当手触碰制冷片表面时,数字万用表读出的阻值发生很大的变化。

手摸制冷片,引起制冷片两面温度发生变化,使得测量电阻改变。真正的原因是制冷片产生电压,使得数字万用表读出的电阻阻值不准确。

直接使用数字万用表可以测量到制冷片两边的电压。当在制冷面使用手掌加热时,制冷片输出负电压。当喷射酒精将制冷片降温时,制冷片输出正电压。

改变半导体制冷片两边温度会引起输出电压改变极性

制冷片既然可以产生电压,也可以产生电流。下图显示使用数字万用表的测量电流档对制冷片输出电流测量。

将手放在制冷片一个表面时,制冷片输出的电流接近1mA左右。

半导体制冷单元输出电流

既然半导体制冷片在有温度差的情况下能够输出电压和电流,所以可以用于发电。下图显示的是一个使用制冷片发电去给手机充电的系统。

在锅里放置冷水、冰块等。在锅底贴有制冷片,通过煤气罐从制冷片底下加热。制冷片就会产生电能供给手机充电了。

发电锅原理

当然了,上述发电方式效率是不高的。制冷片的实际用途还是用于制冷。

由于制冷片热惯量很小,所以它的制冷速度非常快。使用红外摄像头观察制冷片在通过电流时的温度变化,可以看到在几秒钟之内制冷片便达到热平衡了。

实验中的制冷片工作在外部12V电压下,流经的电流约3.4A。

红外摄像头下显示制冷片在通过电流时的发热端温度变化

^红外摄像头下显示制冷片在通过电流时的吸热端温度变化

在通过电流时,制冷片在冷热两端会产生一定的温度差。如果将制冷片的发热端使用散热片进行散热,来降低热端的温度,这样会使得吸热端的温度也得到了进一步降低。

下图显示了通过导热胶粘贴在散热片上的制冷片。

使用导热胶将制冷片粘贴在散热片上

工作在12V,3.4A下的制冷片。经过散热器将制冷片的发热面温度保持在室温,则制冷表面的温度很快就会达到零下30度。

在制冷表面滴下自来水滴,它很快就会凝结成冰。

在下图实验中,在水滴中加入了两个电极,使用万用表测量电极之间的电阻。在室温下,水滴中电极之间的电阻大约是100k欧姆左右,随着温度降低,电阻增加。当水滴凝结成冰时,电极之间的电阻就会上升到10M欧姆。

水滴中电极电阻随着结冰和融化过程的变化曲线

当关掉制冷片电源,温度上升,冰重新融化成水滴后,电极两端的电阻重新回到100k左右。这个实验显示水和冰的导电性能相差很大。

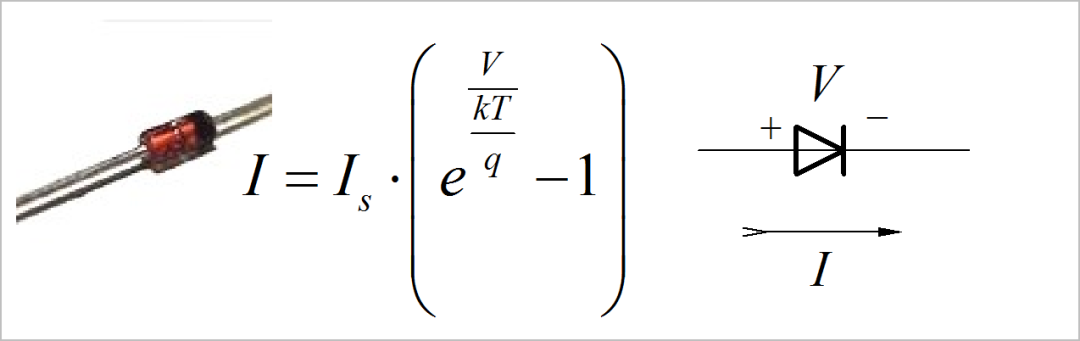
对于制冷片上的温度测量,可以使用铂电阻、热电偶、半导体温度传感器进行测量。使用普通的二极管也可以进行测量。

二极管的正向导通电流与端口电压之间的关系为下面公式所描述:

公式中:

Is:反向饱和电流,它与二极管的型号和温度有关系。k:玻尔兹曼常数:1.38E-23 J/Kq:电子电荷:1.609E-19 CT:温度,开尔文

上面公式显示在相同电压下温度T越高,流过的电流越小。但实际二极管的电流曲线和温度的关系却是,随着温度增加,流过的电流就越大,表明二极管是一个负温度系数的器件。如下图所示:

1N4148二极管在三种温度下的电压-电流关系

实际二极管之所以具有导通特性负温度系数,主要原因是在二极管电压电流公式中,反向饱和电流Is也与温度有关系,并且随着温度的增加而急剧增加。Is的增加遮盖了二极管电压电流公式中指数中的温度T的影响。

根据二极管负温度系数特性,在固定流过二极管电流时(比如流经二极管电流为恒定的1mA),二极管两端的电压则会随着温度的升高而降低。

下图显示了在五种不同导通电流下1N4148二极管端口电压与温度之间的曲线。显示了电压与温度之间良好的线性关系。利用这种关系可以利用普通的二极管完成温度的测量。

在不同的导通电流下二极管前向电压与温度之间的关系

下面动图显示了放在制冷片上的二极管在通有1mA恒流情况下随着降温时间出现的端口电压的变化。在玻璃封装的二极管周围滴有自来水,最终降温使得水凝固成冰,将二极管冻在制冷片上。

动图显示,随着温度降低,二极管端口电压上升。由于电压与温度之间呈现反向线性关系,所以将下面的曲线上下颠倒过来看,可以认为是制冷片上表面温度随着时间降低的曲线。

二极管导通电压随着降温过程而发生变化

将上面的二极管更换成一个510欧姆的小型金属膜电阻,使用数字万用表测量电阻阻值。

下图显示随着降温,电阻被最终冻结在制冷片上。电阻的数字大约增加了6欧姆左右。这个实验结果也是非常奇怪的。通常情况下,电阻的阻值应该随着温度的升高而增加,不知道为何在这个实验中所使用的电阻则是随着温度的降低而增加阻值。

金属膜电阻随着温度降低阻值变化曲线

上面实验显示金属膜电阻的温度系数非常小。

下面是对一个小型铝电解电容的温度实验。电解电容的标称值为10uF/16V。将电容横放在制冷片上,并用自来水滴在电容与制冷片之间以加强传热性能。

随着制冷进行,电解电容温度降低并最终被水冰冻在制冷片上。电解电容的容值从最初的9.4uF降低到8.2uF。

电解电容随着温度降低容量变化曲线

相关问答

电子制冷 的原理是什么?为什么 制冷片 会散发出大量的热,而且还...

[最佳回答].电子制冷的原理是:把一个N型和P型半导体的粒子用金属连接片焊接而成一个电偶对.当直流电流从N极流向P极时产生吸热现象,而由P极流向N极时产生放热...

电子制冷片 能制冷到多少度?

多为十六度左右。饮水机的制冷有两种,一种是电子制冷,一种是压缩机制冷。电子制冷的冷水温度一般低于15度,压缩机制冷的温度一般在5度左右。电子制冷饮水机也...

电子制冷片 原理是什么?

电子制冷片是一种新型的固态制冷技术,它能够通过电场、磁场或者光场等外部激励作用下使得材料内部发生变化而实现制冷。电子制冷原理基于Peltier效应,即当两...

电子制冷片 如何制热?

电子制冷片制热的方法是把一个N型和P型半导体离子用金属连接片焊接而成一个电偶对,当直流电流从N极流向P极时,上面产生吸热现象,此端称为冷端而下面端产生放热...

制冷片 原理?

1制冷片是一种用于制冷的设备。2制冷片的原理是基于热力学的制冷循环,通过压缩、冷凝、膨胀和蒸发等过程,将热量从室内移走,达到制冷的效果。3制冷片的内容...

管线机 电子制冷 和冰胆制冷区别?

电子制冷和冰胆制冷的区别在于一个是靠压缩机带动制冷工质循环而制冷的,而一个则是靠工质在不同状态下压缩把热带走的。电子制冷是由半导体制冷片,当电流流经...

什么是半导体 制冷 _作业帮

[最佳回答]摘要:半导体制冷又称电子制冷,或者温差电制冷,是从上世纪50年代发展起来的一种新制冷技术,与压缩式制冷和吸收式制冷并称为世界三大制冷方式.摘...

制冷片 哪一面是制冷的?

分正反面,红线是正端,黑线是负端。制冷片上标有型号的一面为冷面,没有字的一面为热面。在正端电压高于负端时,冷面制冷,热面散热。电压反过来的话冷热面也会...

制冷片 和压缩机制冷效果?

制冷片和压缩机是常见的制冷系统组件,它们一起协同工作以实现制冷效果。制冷片通常指的是蒸发器,它位于制冷循环中的室内部分。制冷片通过吸收热量并使空气或...

网上的冷暖风机, 电子制冷 是什么效果?16度凉风怎样判定?

网上的冷暖风机一般是指能够提供冷风和热风的空调设备。而电子制冷是一种通过电子器件实现制冷效果的技术。16度的凉风可以通过以下几种方式进行判定:温度显...

标签:

相关阅读