电子负反馈技术应用 运算放大器的负反馈系统及其效果

小编头像

小编

管理员

发布于:2025年05月04日

112 阅读 · 0 评论

运算放大器的负反馈系统及其效果

负反馈系统

运算放大器是具有高电压增益的放大器,但几乎不是运算放大器单体进行放大。

原因是开环增益存在偏差,或带宽较窄,难以控制放大率。

因此,一般构成负反馈电路后使用。

下图表示负反馈系统的模型。

构成负反馈电路可举出以下几个优点。

构成负反馈电路的优点

1. 放大电路的增益固定的领域(带宽)可得到扩展2. 由于构成了负反馈电路,使运算放大器的开环增益的偏差影响变小

3. 可抑制失真

1.放大电路的增益固定的领域(带宽)可得到扩展

首先求出该模型的输入与输出的关系,即传递函数。

AO :运算放大器开环增益β :反馈率、1+βA(s) :反馈量环路增益 :βA(s)

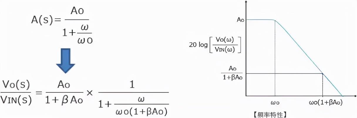
另外如下式所示,运算放大器具有1阶滞后传递函数。

上图的频率特性用上式关系进行了解释。

可以发现,由于采用了负反馈,增益变小,变为反馈量的 1/(1+βAO),带宽从ωO扩大到了 ωO(1+βAO)。

2.由于构成了负反馈电路,使运算放大器的开环增益的偏差影响变小

在输入与输出的传递函数公式中,假设运算放大器的开环增益足够大,即AO>>1,则低频的负反馈电路的增益可近似于1/β。

即运算放大器的开环增益较大时,反馈电路的增益与运算放大器的增益无关,仅由反馈率决定。

同样,反相放大器等的放大电路的低频放大率仅由外置电阻决定。

另外,运算放大器的开环增益足够大即AO>>1 时,即便因温度特性或制造偏差而使运算放大器的开环增益多少发生变动,所受的影响也比较小。

3.可抑制失真

下图表示含有误差要素的反馈电路。

此处将运算放大器中发生的误差要素表示为VD。

含有失真、误差电压、噪音等要素。

下式表示含有失真的传递函数。

如公式所示,增益A(s)越大 VD项越小,这样可抑制误差。

相反,构成负反馈电路可举出以下几个缺点。

构成负反馈电路的缺点

与开环增益相比,电路的放大率降低。

反馈使电路变得易振荡。

该内容是小编转载自网络 ,仅供学习交流使用,如有侵权,请联系删除。如果你还想了解更多关于电子元器件的相关知识及电子元器件行业实时市场信息,敬请关注微信公众号 【上海衡丽贸易有限公司】主要以代理:铝电解电容、薄膜电容、MOSFET、压敏电阻、保险丝等国产知名品牌元器件。

负反馈电路分析方法

负反馈电路的分析与一般放大器的电路分析有所不同,在判断反馈电路是不是负反馈时需要进行反馈信号的相位分析。

一、信号瞬时极性分析法

对于负反馈电路工作原理的分析有特定的方法,即采用信号瞬时极性分析法。

在这种电路分析方法中,先假设放大器的输入级三极管基极信号电压在增大,并在电路中用“+”号标在该三极管基极上,然后分析基极信号电压在增大时,引起三极管基极电流增大还是减小(NPN型和PNP型三极管不一样),再沿用放大器中信号的传输线路,一步一步分析放大器中各点信号电压的相位是增大还是减小,并在各点上用“+”号或“—”号标出(“—”号表示减小),一直分析到放大器的输出端,标出输出信号的相位。

然后,将这一输出信号沿输出端与输入端之间的负反馈电路进行分析,标出负反馈信号加到输入级三极管时的极性,再分析这一负反馈信号对输入级三极管基极电流产生什么影响,若是减小了净输入信号,这便是负反馈过程,否则就不是负反馈电路。

二、电路分析说明

采用信号瞬时极性分析法分析负反馈电路时,要注意以下几点:

1、找出放大器中的负反馈元件是分析电路的一个关键之外,有一个方法可以解决这一问题,凡是跨接放大器输入端和输出端之间的元件均是构成反馈电路的元件,在多级放大器中用这种方法找出负反馈元件更加方便。

2、整个负反馈电路分析应该成环路,即从输入级放大器输入端开始分析,至参加负反馈放大器输出级输出端,再回到输入级放大器输入端,如果分析过程中没有成环路,说明负反馈电路分析一定错了。

3、电路分析中,要用到三极管基极或发射极电压大小变化对基极电流大小影响的概念。

对于NPN型三极管而言,当基极信号电压增大时,引起基极电流增大,当基极信号电压减小时,引起基极电流减小;当发射极信号电压增大时,引起基极电流减小,当发射极信号电压减小时,引起基极电流增大。记住上述NPN型三极管基极电压和发射极电压变化对基极电流的影响,对分析反馈电路十分有用。

4、对于PNP型三极管而言,当基极信号电压增大时,引起基极电流减小,当基极信号电压减小时,引起基极电流增大;当发射极信号电压增大时,引起基极电流增大,当发射极信号电压减小时,引起基极电流减小。记住上述PNP型三极管基极电压和发射极电压变化对基极电流的影响,对分析负反馈电路十分有用。

5、电路分析过程中,信号电压的变化引起电流增大还是减小变化的结果不能搞错,否则分析结果出错。如若在分析过程中有两次将这一问题搞错,最后的结果是正确的,但分析过程是错误的。

6、负反馈电路分析过程中,可以假设三极管基极信号电压极性为正,也可以设它为负,最终的负反馈结果是一样的,但是设基极电压为负对电路分析不太方便,所以通常是设基极电压为正。

7、负反馈电路的分析也可以用符号“↑”表示增大,或用“↓”表示减小,这种符号可以表示电压和电流的增大、减小。

浏览更多干货内容,请关注微信公众号"百斯特电子"(微信号:best-dz)

相关问答

放大电路有哪四种交流 负反馈 ?其各自的 应用 特点是什么?_作业帮

[最佳回答]电压串联负反馈;电压并联负反馈;电流串联负反馈;电流并联负反馈.这四种反馈的应用不能分割来看,要根据具体条件选择.如果你要稳定电压,或减少输出电...

负反馈 可以从哪几个方面改善放大电路的性能?

负反馈在电子放大电路中有着广阔的应用,在减少放大倍数的同时,能改善放大电路的以下性能指标:1、稳定放大电路的放大倍数。2、改变放大电路的输入输出电阻、...

放大电路中引入交流 负反馈 可以改善放大电路的性能指标,请写出其中三个指标?

负反馈在电子放大电路中有着广阔的应用,在减少放大倍数的同时,能改善放大电路的以下性能指标:1、稳定放大电路的放大倍数。2、改变放大电路的输入输出电阻、...

【什么是 反馈 电路? 反馈 有什么作用?】作业帮

[最佳回答]反馈电路在各种电子电路中都获得普遍的应用,反馈是将放大器输出信号(电压或电流)的一部分或全部,回授到放大器输入端与输入信号进行比较(相加或相减...

反馈 放大电路.正反馈和 负反馈 有什么区别 - 一只羊 的回答 - 懂得

问:反馈放大电路.正反馈和负反馈有什么区别答:反馈电路在各种路中都获得普遍的应用,反馈是将放大器输出信号(电压或电流)的一部分或全部,回授到放大...

模拟 电子 电路这个如何判断是正反馈还是 负反馈 啊?

模拟电子电路这个如何判断是正反馈还是负反馈啊?判断反馈信号的极性:反馈信号是增大输入信号的,就是正反馈;是削弱输入信号的,是负反馈。在放大器...模拟电...

AGC 技术 是指什么?

是闭环电子电路,是一个负反馈系统,它可以分成增益受控放大电路和控制电压形成电路两部分。增益受控放大电路位于正向放大通路,其增益随控制电压而改变。控制电...

在线的好基友请推荐 反馈 ,硬反馈,软反馈和 负反馈 的定义?

[回答]反馈电路在各种电子电路中都获得普遍的应用,反馈是将放大器输出信号(电压或电流)的一部分或全部,回授到放大器输入端与输入信号进行比较(相加或相减...

模拟 电子技术 的问题?

模拟电子技术是西安电子科技大学出版社出版,第四版保留了前三版的特征。为适应相关专业的教学需要,本书将频率特性单列一章,全书共10章。模拟电子技术是西安...

...发射极B.基极C.集电极.2.在深度 负反馈 时,放大器的放大_作业帮

[最佳回答]1题选C(基极-发射极压差为0.7V左右U1为基极U2为发射极对NPN而言)2题选B(童诗白第四版p273页)3题选A4题选A5题选B(p60)6题选A(p33)7题选B(可以参...

标签:

相关阅读