GY 26电子罗盘应用 新科技ANEW 有助于道路安全

小编头像

小编

管理员

发布于:2025年05月07日

119 阅读 · 0 评论

新科技ANEW 有助于道路安全

具有 ANEW 设备功能的智能轮胎可以帮助驾驶员做出无风险的决策,并可以帮助构建带有未来轮胎的自动驾驶车辆控制系统。

序幕

自动驾驶汽车可以改变道路安全和机动性方面的一切。自动驾驶车辆能够感知周围环境,并且可以在很少或没有人工输入的情况下安全移动。对于自动驾驶汽车,实时警报系统充当车辆与驾驶员之间的通信。实时信号和警报具有许多有形和无形的好处。

XYZ的“自动驾驶和全自动驾驶能力”自推出以来每年都在进步。XYZ 的“Automate Turn Signals”专利是提高道路安全的先进步骤,不仅适用于自动驾驶汽车,也适用于忽视或忘记使用转向信号灯的驾驶员。总是有一个问题,车辆在做出明智决策时应该有多独立?自动驾驶汽车在做出正确决定时应该和司机一样聪明。

自动驾驶仪由八个外部摄像头、雷达、12 个超声波传感器和一个功能强大的车载计算机组成,为安全旅程提供指导。轮胎的作用是什么?具有实时信号和警报功能的智能轮胎是唯一接触地面的东西,它们的运动是改变线路和转弯的关键。

自动转向信号取决于关于超声波数据传感器的转向角数据源。一小部分汽车制造商可以为自动信号和警报提供这些额外的安全措施,因为对于每个制造商来说,进行此类开发都是非常复杂和昂贵的。

智能轮胎可以在这种开发中发挥关键作用,以提供额外的安全性和成本效益。智能轮胎不仅提供自动信号功能,还有助于检测错误构造的道路并避免致命的倾倒。

在这篇文章中,我们将介绍一种智能轮胎,并解释这将如何帮助轮胎制造企业设计一套可持续的解决方案来抵御各种道路事故,输出截距以识别超车车辆,并发出快速估计各种形式的信号崎岖的地形(错误设计的银行角度,错误建造的道路)以防止特别重型车辆从致命倾倒。在这个追求中,我们将在轮胎内部贴上经过良好校准且具有成本效益、非笨重的机械半微型工具,例如磁力计(指南针)和陀螺仪,它们一起工作以帮助输入边缘计算仪器向驱动程序输出快速拦截。

轮胎行业的智能轮胎为驾驶分析和更多的实时分析提供了深刻的见解。TPMS — 胎压监测系统绝对是车辆和驾驶员的额外安全保障。然而,这是唯一可以从轮胎数据中利用的信息吗?轮胎提供的大量信息可用于提高车辆和驾驶员的安全性。智能轮胎带来的安全性是一种具有成本效益的解决方案,可以对大多数驾驶员有所帮助,而不是只关注自动驾驶汽车,因为自动驾驶汽车只会覆盖一小部分正在使用的汽车。

智能轮胎的实时警报和信号比依赖车辆动态更有效,因为轮胎是唯一与地面接触的东西;轮胎参数可以在驾驶分析中发挥关键作用,并有助于避免重大道路事故。当车辆以倾斜角度转弯时,依赖于转向角数据源的自动转向信号可能不准确。如果我们从轮胎而不是转向角度获取数据,这种警报会更加准确。

使用传感器融合方法的加速度计、陀螺仪和磁力计的经过良好校准的数字罗盘可以提供准确的数据。超车车辆、侧倾角和因道路施工不当造成的致命倾倒是重大事故中必须监控和控制的三大挑战。MEMS 是由尺寸在 0.001 至 0.1 毫米之间的组件组成的微机电系统或微型机器。它们由处理数据的中央单元和与微传感器交互的多个组件组成。使用 MEMS 加速度计、陀螺仪和磁力计,我们可以创建一个数字罗盘应用程序,从这些微传感器获取数据。在这篇文章中,我们将看到我们如何为一个可以固定在轮胎内部并经过良好校准的设备建模,从而产生基于轮胎运动的数字罗盘。该设备,ANEW-Angular Navigation Early Warning 设备,可以帮助控制以下三种主要道路事故。

新架构

首先,我们可以看看下面设计的ANEW设备架构和工艺流程。通过微传感器记录的数据使用算法模型进行处理,以减少传感器噪声或非线性引起的随机误差;这将产生一个可以提供实时警报的准确数字罗盘。

整个架构中的两个主要部分是已使用的传感器和最佳估计算法。这两个在此产品开发中起着关键作用。我们将首先了解如何校准这些多个微型传感器。我们使用的是GY-80多传感器板,它由加速度计、陀螺仪和磁力计组成,如下图:

MEMS加速度计

像 MEMS加速度计这样的运动传感器具有体积小、重量轻、灵敏度高和成本低的特点。加速度计通过测量电容的变化来测量加速度。GY-80 多传感器板的主要组件是 ADXL345 数字加速度计。加速度计的操作基于牛顿 (1) 第二运动定律,该定律表明物体的加速度 (m/s2) 与作用在物体上的合力 (牛顿) 成正比且方向相同,反比到它的质量(克)。

这种传感技术以其高精度、稳定性、低功耗和构建简单的结构而著称。由于其物理几何形状(弹簧),电容式加速度计的带宽仅为几百赫兹,而且 IC 内部的空气起到阻尼器的作用。

MEMS陀螺仪

利用科里奥利效应测量角速率的微机电系统陀螺仪具有成本低、器件体积小、功耗低、可靠性高等优点,在各种惯性领域的应用越来越广泛。科里奥利效应(2)或科里奥利力没什么,但是当物体以一定的速度在一个方向上运动时,当施加任何外部角速率时,都会产生力,从而导致质量的垂直位移。

MEMS 陀螺仪测量受误差影响,因为它们容易漂移。在接下来的部分中,我们将了解如何通过传感器融合技术处理这种值漂移。对于 ANEW 设备,由于我们使用的是 GY-80 多传感器板,它默认带有 L3G4200D 陀螺仪。

通常,加速度计和陀螺仪之间的值并结合起来以消除陀螺仪的额外噪声或值漂移;这是有效的,因为这些传感器带有互补过滤器。然而,当我们在行驶中的汽车轮胎上使用这些传感器时,转速很高,噪音会更大。这些默认的补充过滤器对计划用于轮胎的新设备没有帮助。这些陀螺仪读数对于我们预测车辆的致命倾翻至关重要。默认情况下,加速度计和陀螺仪之间的值被集成到我们的数学模型中。

MEMS磁力计

我们的 GY-80 多传感器板中的第三个传感器是 MC5883L 磁力计,这是一种基于霍尔效应 (3) 的 MEMS 磁力计。霍尔效应传感器用于测量磁场的大小。它的输出电压与通过它的磁场强度成正比。一般来说,一个基于霍尔效应的基本磁力计足以使用处理开发环境开发数字罗盘。这有助于通过适当的校准自动发出转向信号。

当我们在这里解决由于倾斜角度或道路构造不当引起的车辆倾覆时,我们使用了由加速度计和陀螺仪组成的 GY-80 多传感器板。

我们已经看到了 ANEW 架构的第一部分,即 ANEW 设备和我们将用于开发数字罗盘的传感器类型。首先,我们必须解决如何管理陀螺仪产生的额外漂移问题,而不是直接着手开发数字罗盘。为了处理这些随机误差,我们将在我们的算法模型中使用“Unscented Kalman Filter”;然后,最终值显示在数字罗盘上,这将导致自动警报。

卡尔曼滤波器

卡尔曼滤波是一种最优估计算法;它用于从您可以测量的内容中提取有关您无法测量的信息。它用于从噪声测量中确定最佳值。为什么我们说噪声测量,什么是漂移?例如,一杯热咖啡的温度为 450C,温度计第一次读数为 44.60C,第二次读数为 45.50C。我们不会每次都得到相同的数字。状态估计算法提供了一种组合所有噪声值并给出更好估计的方法。

我们来自 GY-80 多传感器板的数据是我们接收到的所有传感器数据,特别是陀螺仪数据,容易出现很大的漂移,因此我们需要更好的估计算法来处理这些嘈杂的测量结果。这里的技术是融合来自多个传感器的数据以产生正确的估计。在我们的例子中,它是加速度计和陀螺仪之间的数据融合。

卡尔曼滤波器基本上是为线性系统定义的。线性系统过程模型将状态从时间 k-1 到时间 k 的演化定义为 (4):

上述过程模型适用于线性系统。下面是概率密度函数,用于显示线性系统的卡尔曼滤波器的工作原理,以找到移动汽车的位置 (5)。

然而,在我们的新设备模型中,我们将融合加速度计和陀螺仪以处理漂移。由于角速度和方向之间的非线性关系,尚不清楚角速度的大小及其在三个陀螺仪轴上的分布是否会改变所考虑的噪声类型 (6) 的影响。

现在,考虑到非线性系统,我们的线性系统方程组将发生如下变化: 状态转移函数和测量函数变为非线性。

在这种非线性变换的情况下,卡尔曼滤波器没有用,而扩展卡尔曼滤波器派上用场,它可以线性化非线性函数。当系统是非线性的并且可以通过线性化很好地近似时,扩展卡尔曼滤波器是一个不错的选择。但是,它有一些缺点;这里要强调的主要缺点是,如果系统是高度非线性的,则扩展卡尔曼滤波器不是一个好的选择。对于 ANEW 设备的适当系统动力学,卡尔曼滤波器和扩展卡尔曼滤波器都无济于事,因为线性化变得无效,因为我们的系统是高度非线性的,无法近似。

近似我们高度非线性系统的解决方案是无迹卡尔曼滤波器。

无迹卡尔曼滤波器 (UKF) 近似于概率分布。在此模型中,UKF 选择一组最小的样本点或西格玛点,以便它们的均值和协方差是准确的。

每个西格玛点通过非线性系统模型传播;计算非线性变换点的均值和协方差以计算高斯分布,这是一种概率分布。它进一步用于计算新的状态估计。下面是实现无迹卡尔曼滤波器 (7) 的标准过程模型。用加性噪声描述差分方程和观测模型:

让我们看看 ANEW 设备中的这个实现:

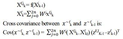
我们试图融合三个传感器数据:加速度计、磁力计和陀螺仪,它们具有高噪声。下面是基于卡尔曼滤波的位置估计算法的流程结构。

从上面的等式可以看出,Zk 是添加了噪声 vk 的输出观测模型。第一步是将无味转换方案应用于增强状态:

在下一步中,我们必须设置 Sigma 点的选择。然后在模型预测步骤中,每个西格玛点通过非线性过程模型传播,即(7):

接下来,在数据同化步骤中,我们将从预测步骤获得的信息与新观察到的测量值 zk 结合起来。根据标准模型,我们每次都需要获取协方差的平方根矩阵来计算一组新的 sigma 点,这为我们提供了测量更新摘要。

数码罗盘

由于我们已经了解了 ANEW 设备流程中的两个主要部分,即 GY-80 多传感器板和无迹卡尔曼滤波器算法及其工作原理,让我们看看如何设置数字罗盘。数字罗盘或电子罗盘基本上是多个 MEMS 传感器的组合,可在多种应用中提供方向和测量。

如前所述,要设置数字罗盘,仅磁力计就足够了,但要避免噪声测量,如图 5 模型所示,融合来自陀螺仪、加速度计和磁力计的传感器读数以进行位置估计。我们将融合所有传感器值以在数字罗盘中获得最终输出。将所有传感器连接到适用于 I2C(内部集成电路)协议的 Arduino 板。在流程开发环境中,Arduino wire 库用于设置和启动串口通信。

可以从数据表中提取唯一的设备地址及其内部寄存器地址。ADXL345 数据表 (8)。所有传感器的循环部分都相似,我们在其中计算每个轴的行数据。传感器的灵敏度根据此处的要求定义(+250 dps 至 +2000 dps)。计算陀螺仪的角度并将其作为输入参数提供给我们的算法模型。

模型中的观察者状态,我们将来自加速度计和磁力计的测量值集成在一起,以进行错误更新步骤。然后将最终估计值带到可以显示在数字罗盘上的串行监视器。基于这些值,然后设置数字罗盘值以用于自动信号和警报。最后,再次捕获此数据以进行驱动分析。

主要道路事故的原因可在第 1 节中找到。轮胎的移动被很好地跟踪以在车辆超车时自动发出警报(基于轮胎移动的自动转向警报)。通过监控轮胎运动的角速率,可以提醒由于倾斜角度或错误构造的道路导致的致命倾倒。

结论

自动驾驶汽车每年都在进步。自动转向信号灯打开了一扇大门,表明技术不仅适用于自动驾驶汽车。引进新技术的空间更大。当我们看智能轮胎时,由于轮胎是第一个与道路接触的东西,到目前为止,轮胎有大量未接触的数据,可用于获得更深入的见解,从而有助于提高道路安全性和机动性。

车辆超车过程中由于倾斜角度和错误施工的道路而发生的重大道路事故通过ANEW装置得到很好的处理和预测,可以最大限度地避免。具有 ANEW 设备功能的智能轮胎可以帮助在错误构造的道路上做出无风险的决策,避免致命的翻倒,并可以帮助构建带有未来轮胎的自动车辆控制系统。这一概念的核心思想帮助轮胎制造企业设计出一套可持续的解决方案来抵御各种道路事故。

Apex Legends为什么能成为现象级游戏?

本文作者:HuangYiBall

大年初一EA上新的新游戏。上新8小时之后玩家数量就突破了100万,72小时玩家数图破1000万,而且目前也成为了Twitch上最受欢迎的直播游戏。

以下是本人制作的安利视频 ,不想看这么多介绍的同学直接跳到操作集锦(0~2:06)和(13:33~结尾) (BGM:tobu - higher 特別な一日 - コーコーヤ wake up your heart - Kenn )

有什么意见或建议都可以留言啊!

请观看视频:http://v.youku.com/v_show/id_XNDA3NjgyMzIxNg==.html?spm=a2ha1.12325017.m_2556_c_8261.5~5~5~5~A

大年初一上新的FPS游戏。火爆程度不必多说,相信你打开现在的直播平台都有它的身影,你关注的FPS大神也都在直播中玩起了这款游戏。游戏每个游戏都需要一些学习成本,导致许多玩家都迟迟不肯下手,而其实这款游戏的学习成本真的非常低

01.平台与价格

Apex legends在origin平台,没错,就是最受大家吐槽的烂橘子平台,下载速度更新速度如蜗牛一样的平台。令人欣慰的是,这款游戏现在是免费!

诟病的烂橘子的下载速度和更新速度让很多朋友都脑壳疼!在此给大家分享一个亲测有效的改host方法。

下载这2个工具,先运行CDN切换

选Akamai模式

应用后运行hosts editor

点左下角选这个选项即可。点击延迟检测,选择最低延迟的服务器→应用选中,再打开你的origin平台速度是不是起飞了呢!(链接 提取码:92qo)

02.配置与优化

①配置

Apex Legends基于TitanFall系列开发,所以画风和操作还是很相似的,而其所需的显卡和CPU要求都是很低的,比高要求的PUBG又降低了一大截门槛!

②优化

现阶段的优化还是很渣的,游戏总体完成度在80%以上,但画质并不是很好略有雾蒙蒙的感觉,并且经常会有网络波动,或者跳伞之后所有人都是慢动作,或者玩着玩着直接闪退掉线等情况,值得一提的是,掉线后是无法重连回当前对局的。

③容量需求

目前需要20.9个G,作为一个pvp游戏算是一个很正常的大小了。

03.玩法与特点

①玩法

Apex Legends更像是OW+PUBG的结合体。8个自带技能的人物选择+60人(3人为一组)在一张地图内逃离毒圈的游戏观。但深度体验后发现Apex Legneds不是简单地将2者杂糅到一起做出来的无心之作,而是非常有细节地融合了这2个大作。(将在下面特点中告诉你,为什么是一款有诚意的作品)

②特点

1)跳伞人员动向

相比于PUBG而言,跳伞队后面都有很长的一道烟雾可以让你分辨哪个资源点的人多,并且不用在跳伞的时候花太多的精力去寻找敌方都跳在哪几个点。

2)标点

可以说FPS游戏少了语音的交流想法就会十分不统一导致没有任何战术而瞬间死亡。但这款游戏最最最令人惊叹的便是标点设计。

鼠标滚轮按1下便是标记一个地方,对着武器弹药等便是标记资源,极大方便了队友之间互相询问需求资源以及寻找的时间。

鼠标滚轮按2下便是标记敌人位置,再也不用像吃鸡一样看着上方的罗盘去喊方位了,没了语音一样知道哪里有敌人。

鼠标滚轮长按是菜单指令,更加方便是镇守阵地还是表明敌人来过等等。

并且值得一提的是,你都能看见和标点的位置有多远的距离,你大可计算你枪械的提前量(尽管在Apex中,许多枪的下坠并不是很明显)

3)滑步

你还在PUBG里长时间地按“=”跑毒吗?不,这款游戏的节奏让你时刻保持警惕,奔跑(Shift)时按(Crtl)就会有滑步动作,在下坡、出门击杀等等都有奇效!

4)复活

还有一个痛点应该是所有玩家都经历过的——落地成盒。但是在APEX中你还可以被复活,没错,就是被补掉后还有机会重返战场。

拾得队友死亡的旗帜(在队友盒子旁按E)

跑向地图上绿色的信标点就能复活被补掉的队友了

而复活的队友将乘坐飞船再返回战场(空装备)

5)抢空投不再是大神的专属

每隔一段时间地图上都会显示许多蓝色圈,并且会显示一条蓝柱,你可以决定是否去抢空投,并且如果队友中有选“命脉”这个角色的,大招(Z)也是能够呼叫一个空投的,拿大枪不是梦!

6)高级资源争夺大神操作秀之地

如果你是一个FPS的大神,那么一定不屑于搜搜搜搜再去刚枪,而是希望落地捡一把枪就“突突突”,没错在地图开始就有2个区域就能完成你“突突突”的梦想,就是为危险区和飞船,危险区能有一把最高、满配置的金枪,而飞船上有诸多高级物资。

除了这个游戏中还会出现宝箱机器人,按V近身攻击打碎后会散落装备!

7)代步气球

Apex Legends中的坦克、飞机都是不能开动的,F键驾驶的操作还是忘了吧,而这游戏由于地图并非很大的特性,由诸多个气球点代替。到最高点就会自动脱离进行飞行就可以跑毒了。

8)训练模式

独有的训练模式能让你在多人模式之前学会所需的所有操作,对于PUBG来说真的是很为玩家考虑了,极大地降低了学习时间,如果是当年PUBG要60小时才能明白这是个怎么样的游戏,Apex只需要20小时!

9)颜色分等级,舔包更迅速

狗带后的盒子会有颜色等级显示,一眼就能望见一个大大的金包在等你宠幸,什么颜色就代表里面必定有这个颜色的装备,而不能直接装到你枪上的(比如说配件)就会显示一个“x",让萌新在舔包的时候更有方向,也让遭遇时舔包补充弹药、头甲更有迅速!

04.体验

如果没有碰到FPS大神和主播的话体验还算不错。虽然被日常打自闭,但也是能吃鸡的。已经过了2个星期之多已经出现了一大批大神了,建议还没玩又喜欢FPS的同学赶紧入手吧,学习成本真的十分低!

Apex中还有很棒的细节设计,比如开镜后的子弹再也不用看右下角的显示了,在瞄具中会显示你的子弹,简直是换弹癌的福音了好吗!并且随着你剩余子弹的多少颜色还不同!从蓝→橙→红色的渐变让你更加能把控自己的输出间隔!

除此之外游戏中的动作,切枪、换弹、近身攻击、跳跃、攀爬、滑行等等十分流畅,打击感也十足,游戏质量很高。对比PUBG内的人物,生硬和慢速的掏枪动作让我再回去玩时无比难受!喜欢OW的朋友对于这款游戏的基础操控绝不会失望的!

05.你想知道的都在这里了!

Q:你觉得这游戏最重要的是什么?

A:战术上的配合,技能的运用,和一定的准心。

Q:这游戏氪金吗?

A:众所周知,FPS游戏的氪金只能来源于枪械和人物的皮肤,而且这款游戏在你升级的时候会给你APEX包,而包内就会掉落皮肤等奖励。如果痴迷皮肤也可以氪金,游戏内是HK价格充值的。

Q:这游戏和PUBG、守望先锋比的优点在哪?

A:竞技性和不确定性。对比守望的话,它的吃鸡模式的不确定性让你有更多的自由度,吃鸡模式现在究竟不甩的原因也就是这个。对比吃鸡的话有更多的竞技性,它游戏节奏非常快,吃鸡一把也只需要23分钟左右,对于更高速的滑铲、更小规模的地图、更明确的资源区,对枪无时无刻都在发生,而你能做的就是决定直接刚还是苟着偷。

Q:这游戏为什么称谓现象级游戏?

A:它很好的融合了守望和PUBG的模式,并且只需要更低的配置,尽管有着优化上的问题,但免费让它普及更快,最重要的还是它强大的竞技性更具观赏性,打开直播平台对比就会明白,Apex的观赏性更佳。

Q:这游戏现在的缺点是什么?

A:优化和外挂吧。网络会有波动,10把里面可能会波动3把。画质也并没有吃鸡那么清晰。以及现在淘宝已经上出现外挂,而这款游戏的打击来说,你根本分不清那些是挂而那些是厉害的大神杀的你。emmm..现在还没有完整的排位模式,不能和水平相近的玩家一起玩,极化度很大。

06.亲测有效的bug

这个bug是代码的bug但有人说会封号,亲测白嫖了5个箱子,删掉代码后还未封号(探路者传奇皮肤会消失)怕封号的还是量力而行~

我的游戏库 - 右键属性 - 进阶启动选择 -输入

twitch_prime_linked 1

再开启游戏,嫖完箱子后记得删除代码

最后的最后

感谢各位观众老爷看完我的文章~

我只是一个FPS游戏的普通玩家,相信猛一点的玩家能有更完美的游戏体验~

游戏中也有更多的阵容配合和打法去挖掘,或许也能从我的锦集中找到灵感~ 之后将会有更多的推荐以及各种和科技有关的开箱视(tips:将会入一款相机来优化自己的视频)

摄影大佬也可以跟我分享啊~!

最后祝大家把把carry,把把吃鸡,Apex万岁! 那么我们下期见了

相关问答

大门朝哪边风水好? - 2FBjGYSWft 的回答 - 懂得

朝哪都行,但北半球住不朝北,南半球住不朝南,原因是阳宅要阳,室内有光照居住更健康,同时避免寒风(阴风)直吹屋里大门是先看形八隔局,组合成房子本身...

标签:

相关阅读