导数在电子的应用 导数在高中物理中的应用

小编头像

小编

管理员

发布于:2026年04月14日

176 阅读 · 0 评论

导数在高中物理中的应用

一、利用导数求瞬时值

某物理量A定义为A=△y/△x,

比如:速度v=△x/△t,加速度a=△v/△t,角速度ω=△θ/△t,电场强度E=-△Φ/△x,感应电动势E=N△Φ/△t等等,凡是结构是A=△y/△x这种类型的,我们都可以采用类比的方法.

物理量A=△y/△x,若△x不趋近零时,是一个过程的平均值,反映在图像上就是割线斜率;

物理量A=△y/△x,若△x→0,A的值为某时刻或某点的瞬时值,也就是△x→0的极限,

反映在图像上就是切线的斜率.

①导数在运动学上的运用

示例1:某质点运动过程中位移x(单位m)和时间t(单位s)满足表达式,x=5t³+3t²+4t+2(m),求:

①1s—3s内的平均速度

②2s时的瞬时速度

③2s时的加速度

【解析】

①1s—3s内的平均速度是割线斜率,

t=1s时,x=14m;

t=3s时,x=176m;

△x=162m;

1s—3s内的平均速度为81m/s.

②2s时的瞬时速度是切线斜率,瞬时速度的表达式就是位移对时间的导数,求得:

v=15t²+6t+4(m/s)

当t=2s时,v=76m/s.

③瞬时加速度的表达式就是速度对时间的导数,就是v-t图的斜率,也就是x-t函数对时间t的二阶导数.

求导得:a=30t+6(m/s²)

t=2s时,a=66m/s².

②导数在感应电动势上的运用

示例2:如图所示,两根平行足够长的金属导轨固定在水平桌面上,导轨的端点P和Q用导线相连,两导轨间的距离为L,磁场垂直于桌面向上,已知磁感强度B与时间的关系为B=kt(k为大于零的常量).在t=0时刻,金属杆紧靠在P、Q端,在外力作用下,杆从t=0时刻开始以恒定的加速度a从静止开始向导轨的另一端滑动,求在t时刻整个回路的感应电动势大小.

这是感生和动生共存的情况,可以用法拉第电磁感应普适公式,E=n△Φ/△t,瞬时电动势,就是求Φ(t)函数的导数.

Φ=BS=BLvt=ktL·½at²

E=kL·½at²+ktL·at=3kLat²/2.

例题:如图所示,KLMN是一个竖直的矩形导线框,全部处于磁感应强度为B的水平方向的匀强磁场中,线框面积为S,MN边水平,线框绕某竖直固定轴以角速度ω匀速转动。在MN边与磁场方向的夹角到达30°的时刻(图示位置),导线框中产生的瞬间电动势e的大小是多少?标出线框此时电流的方向。已知线框按俯视的逆时针方向转动。

【解析】从平行面开始计时的磁通量表达式为Φ=BSsinθ,t=0的初相位为π/6.

磁通量表达式应该修改为Φ=BSsin(θ+π/6),而θ=ωt,

Φ=BSsin(ωt+π/6)

E=n△Φ/△t,求瞬时表达式,即求导数,

E=nBSωcos(ωt+π/6)[t=0,n=1]

E=√3BSω/2

电流方向根据楞次定律判断.

例题:纸面内两个半径均为R的圆相切于O点,两圆形区域内分别存在垂直于纸面的匀强磁场,磁感应强度大小相等、方向相反,且不随时间变化。一长为2R的导体杆OA绕过O点且垂直于纸面的轴顺时针匀速旋转,角速度为ω。t=0时,OA恰好位于两圆的公切线上,如图所示。若选取从O指向A的电动势为正,下列描述导体杆中感应电动势随时间变化的图像可能正确的是(C)

【解析】

Φ=BS=B·θR²-½BR²sin2θ

=BR²(ωt-½sin2ωt)

Φ′(t)=BR²(ω-ωcos2ωt)

=2BR²ωsin²ωt.

E=nΦ′(t)=2BR²ωsin²ωt.

也可以用切割磁感线方法

③导数在电势分布于某直线上的应用

示例3:某静电场中的一条电场线与x轴重合,其电势的变化规律如图所示,在O点由静止释放一电子,电子仅受电场力的作用,则在-x₀~x₀区间内(BC)

A.该静电场是匀强电场

B.该静电场是非匀强电场

C.电子将沿x轴正方向运动,加速度逐渐减小

D.电子将沿x轴正方向运动,加速度逐渐增大

【解析】

值得注意的是电场强度E=-△Φ/△x有个负号;斜率为正,表示电场方向沿x负方向.

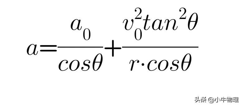
④导数在关联加速度上的应用 示例4:在一光滑水平面上放一个物体,人通过细绳跨过高处的定滑轮拉物体,使物体在水平面上运动,人以速度v₀,加速度a₀向左运动.当绳子与水平方向成θ角时,物体前进的瞬时速度v是多大和加速度a是多大?

【解析】

由速度关系,可以进而求出加速度之间的关系,不再同一直线上运动(涉及转动)的两物体,加速度关系不能类似于速度那样的关系(a₀=a·cosθ).

v₀=v·cosθ,v=v₀/cosθ,(θ也会随时间而变化,这是一个复合函数)

a=dv/dt

也可以用加速度合成法求解.

⑤导数在电磁感应与电容器结合的应用

示例5:如图,两条平行导轨所在平面与水平地面的夹角为θ,间距为L。导轨上端接有一平行板电容器,电容为C。导轨处于匀强磁场中,磁感应强度大小为B,方向垂直于导轨平面。在导轨上放置一质量为的金属棒,棒可沿导轨下滑,且在下滑过程中保持与导轨垂直并接触良好。已知金属棒与导轨之间的动摩擦因数为μ,重力加速度大小为g。忽略所有电阻。让金属棒从导轨上端由静止开始下滑,求:

(1)电容器极板上积累的电荷量与金属棒速度大小的关系;

Q=CBLv

(2)金属棒的速度大小随时间变化的关系.

二、利用导数求极值与单调性

示例:一木箱重为G,与地面间的动摩擦因数为μ,用斜向上的力F拉木箱,使之沿水平地面匀速前进,如图所示.问角α为何值时拉力F最小?这个最小值为多大?

【解析】

受力分析

求cosα+μsinα的最大值

利用导数得:

f′(α)=-sinα+μcosα=0

α=arctanμ

把α代入即可求得F的最小值.

例题:如图所示,相距2r的两个等量同种正电上场强的最大值及位置.

【解析】

即求cos²θsinθ的最大值

令f(θ)=cos²θsinθ

在连续可导情况下

f'(θ)=cos³θ-2sin²θcosθ=0

cos²θ=2sin²θ

tanθ=√2/2θ=arctan(√2/2)

θ≈35.26°

示例:如图所示,滑块a和b的质量均为m,a套在固定竖直杆上,b放在地面上,a和b通过铰链用刚性轻杆连接,轻杆的长度为L.轻杆初始在竖直方向,滑块a受到扰动由静止开始运动,不计一切摩擦,a和b可视为质点,重力加速度大小为g.在a下落的过程中,(BD)

并且分析a的速度如何变化,求解b的速度的最大值.

由系统机械能守恒得:

Va′(θ)=2sinθcos(1-cosθ)+sin³θ

此导函数的值大于零,则Va(θ)为增函数,即Va一直在增大.

Vb′(θ)=sinθcosθ(3cosθ-2)

此导函数有零点,且V′(θ)先大于零,后小于零,Vb先增后减.

当Vb′(θ)=0时,Vb具有最大值

sinθcosθ(3cosθ-2)=0

cosθ=2/3代入Vb得:

一般性解法:

Vacosθ=Vbsinθ

当θ=90°时,cosθ=0,Vb=0

b的速度从0到0,b的速度先增后减,杆子对b先做正功,后做负功,根据数学零点定理,必定有某点不做功,b的速度在该点速度有最大值,此时杆子的力Fɴ=0,a的机械能最小,b的机械能最大,a的加速度为g,b的加速度为0,b对地面压力为mg,此后a的加速度大于g,θ在增加,Va=Vbtanθ,在Vb增大的过程中,Va也在增大,在b减速过程中,杆子对b做负功,对a就做正功,a仍然加速,所以a一直在加速.

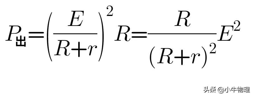
示例:在纯电阻电路中,输出功率和外电阻关系,当在电阻多大时,电源输出功率最大.

只需求R+r²/R的增减性

令f(R)=R+r²/R

对R求导得:f′(R)=1-r²·R⁻²

当f′(R)=1-r²·R⁻²=0时,

R<r时,f′(R)<0,f(R)为减函数,输出功率函数为增函数,R>r时,f′(R)>0,f(R)为增函数,输出功率函数为减函数,当R=r时,f′(R)=0,输出功率最大.

三、利用导数求变化率

例题:下图为一种早期发电机原理示意图,该发电机由固定的圆形线圈和一对用铁芯连接的圆柱形磁铁构成,两磁极相对于线圈平面对称。在磁极绕转轴匀速转动过程中,磁极中心在线圈平面上的投影沿圆弧XOY运动(O是线圈中心),则(D)

A.从X到O,电流由E经G流向F,先增大再减小

B.从X到O,电流由F经G流向E,先减小再增大

C.从O到Y,电流由F经G流向E,先减小再增大

D.从O到Y,电流由E经G流向F,先增大再减小

【解析】

磁极中心经过O点正上方时,磁通量最大,在连续可导情况下,磁通量对时间的一阶导数,也就是磁通量变化率为零,即感应电动势为零.

例题:如图所示,AOC是光滑的直角金属导轨,AO沿竖直方向,OC沿水平方向,ab是一根靠立在导轨上(开始时b离O点很近)的金属直棒,金属直棒从静止开始在重力作用下运动,运动过程中a端始终在AO上,b端始终在OC上.直到ab完全落在OC上,整个装置放在一匀强磁场中,磁场方向垂直于纸面向里,则ab棒在运动过程中(BD)

A.感应电流方向始终是b→a

B.感应电流方向先是b→a,后变为a→b

C.所受磁场力方向垂直于ab向上

D.所受磁场力方向先垂直于ab向下,后垂直于ab向上

【拓展】

感应电流什么位置最小?

【解析】

x=Lsinθ,y=Lcosθ,S=xy/2

=½L²sinθcosθ=L²sin2θ/4

Φ=BS=BL²sin2θ/4

Φ′(θ)=BL²cos2θ/2

当Φ′(θ)=BL²cos2θ/2=0时,即θ=π/4时,E有最小值.

例题:质量为m的球从地面以初速度v₀竖直向上抛出,已知球所受的空气阻力与速度大小成正比.下列图象分别描述了球在空中运动的加速度a、速度v随时间t的变化关系和动能Ek、机械能E(选地面处重力势能为零)随球距离地面高度h的变化关系,其中可能正确的是(C)

值得注意的是电阻的定义是R=U/I而不是△U/△I,因此不能用求导的方法求电阻.

附录:

1.零点定理

如果函数y= f(x)在区间[a,b]上的图象是连续不断的一条曲线,并且有f(a)·f(b)<0,那么,函数y= f(x)在区间(a,b)内有零点,即至少存在一个c∈(a,b),使得f(c)=0,这个c也就是方程f(x)= 0的根。

2.一阶导数增减性,二阶导数凹凸性,三阶导数看拐点。

连续可导函数的一阶导数就是相应的切线斜率。一阶导数大于0,则递增;一阶倒数小于0,则递减;一阶导数等于0,则不增不减。

而二阶导数可以反映图象的凹凸。二阶导数大于0,图象为凹;二阶导数小于0,图象为凸;二阶导数等于0,不凹不凸。

结合一阶、二阶导数可以求函数的极值。当一阶导数等于零,而二阶导数大于零时,为极小值点;当一阶导数等于零,而二阶导数小于零时,为极大值点;当一阶导数、二阶导数都等于零时,为驻点。一阶导数可以用来描述原函数的增减性。

二阶导数可以用来判断函数在一段区间上的凹凸性,f''(x)>0,则是凹的,f''(x)<0则是凸的。

三阶导数用来找函数的拐点,拐点的意思是如果曲线f(x)在经过点(x₀,f(x₀))时,曲线的凹凸性改变了,那么就称这个点为曲线的拐点。

3.常用导数表

放缩法在导数不等式中的神奇应用,你最想要的导数专题,请收好!

近年来在高考解答题中,常渗透不等式证明的内容。

不等式的证明是高中数学中的一个难点,它可以考察学生逻辑思维能力以及分析问题和解决问题的能力。

特别值得一提的是,高考中可以用“放缩法”证明不等式的频率很高!

它是思考不等关系的朴素思想和基本出发点, 有极大的迁移性,对它的运用往往也最能体现出创造性!

“放缩法”还可以和很多知识内容结合,对应变能力有较高的要求。

因为放缩必须有目标,而且要恰到好处,目标往往要从证明的结论考察,放缩时要注意适度,否则就不能同向传递。

下面振宇老师送上这张宝藏图,能看懂的同学别声张,悄悄保存好!

练透下面这个导数不等式专题,体会放缩法与导数的神奇碰撞吧!是不是脑洞大开?思路泉涌?

我是数学满分的北大状元,专注高中教育15年的振宇老师。

点赞加转发可私信我领取此专题的电子档。#高中数学# #疫情时期不忘学习# #停课不停学# #教育大家谈# #战疫必胜#

相关问答

求高等数学函数最值 应用题 越多越好(利用一阶 导数 为零,二阶导...

[最佳回答]我有很多题目,在电子书第50页开始,到66页,你如果要,我给你发过去,

关于 电子技术基础 的问题一个电路单位正电荷由a到b的电能是2J...

[最佳回答]你把W用T和U表示出来后,再对W求导数,看看

已知 电子的 坐标随时间的函数为x(t)=15t*e^(-2.3t),问 电子的 ...

[最佳回答]对函数为x(t)=15t*e^(-2.3t)的进行求导,得速度的表达式为:v=x'(t)=15*e^(-2.3t)-(-2.3)*15t*e^(-2.3t)=0解得:t=1/2.3时间单位....

对于单 电子 原子,轨道能量只取决于n.为什么_作业帮

[最佳回答]单电子原子(离子)也叫做类氢原子.除了核电荷数与氢原子不同外,其核子正电荷与单电子之间的作用原理与氢原子是一样的.所以,能量的计算与氢原子一样(...

求函数曲率半径?

1函数曲率半径可以求出2函数曲率半径的计算公式为:R=[1+(y')²]^(3/2)/y"3延伸:函数曲率半径是描述函数曲线在某一点处曲率大小的一个物理量,通常用....

EPR和NMR有什么不同哪些参数是类似的,在技术上哪些主要方面...

[回答]电子顺磁共振谱(EPR,ESR)ElectronParamagneticResonance,ElectronSpinResonance电子顺磁共振在垂直于B0的方向上施加频率为h%26#61...

电子 信息技术这个专业要学哪些内容?

电子信息工程是一门应用计算机等现代化技术进行电子信息控制和信息处理的学科,主要研究信息的获取与处理,电子设备与信息系统的设计、开发、应用和集成。中文...

【内外电阻相等时输出功率最大怎么证/i=nesv怎么证i=nesv呢】...

[回答]I=U/(R+r)P=I^2*R=U^2/(R+2r+r^2/R)设内电阻r一定,则(功率最大)分母最小即R+r^2/R最小,此时R=rI=Q/t=enV/t=nesvt/t=nesvV是t时间内通过...

但是 电子 从负极出来遇到了两个路径那么所分给这两个路径的...

[最佳回答]你的比较很好,只是最后出了点问题.电阻大的电器它本来是“想”压差大,但是,它的压差一旦超过电阻小的压差,那么,电子旅客们就不乐意,就不想走这条道...

交流电是怎样通过电容的呢?

谢邀。交流电能够通过电容器,完全是由两个方面决定的,即交流电本身的特性和电容器对电荷的存储功能。注意,这里所说的通过并不是真正意义上的电压把电容器击穿...

标签:

相关阅读