电工电子应用题 电工技术(试题及答案)

小编头像

小编

管理员

发布于:2025年05月02日

102 阅读 · 0 评论

电工技术(试题及答案)

电工技术1(试题及答案)-第2套

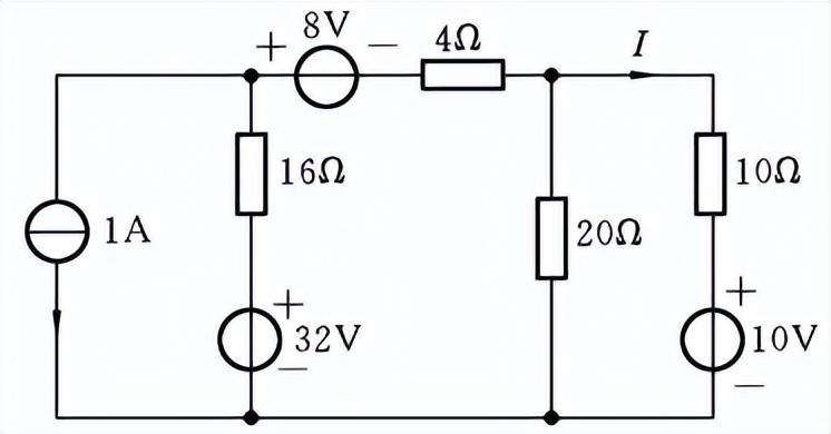
1、试用戴维宁定理求电流 I 。(12分)

编辑

添加图片注释,不超过 140 字(可选)

解: 开路电压

编辑

添加图片注释,不超过 140 字(可选)

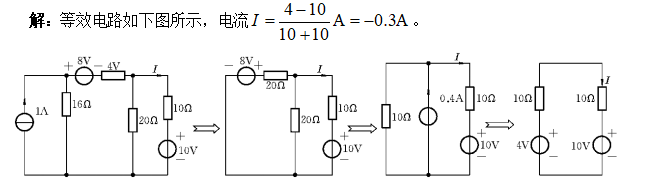
2、用电源等效变换法求电流 I 。(8分)

编辑

添加图片注释,不超过 140 字(可选)

解:

编辑切换为居中

添加图片注释,不超过 140 字(可选)

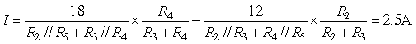
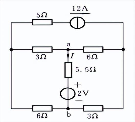
3、已知 R 1=1 W, R 2= R 3= R 4= R 5=6 W。试用叠加原理求电流 I 。(12分)

编辑

添加图片注释,不超过 140 字(可选)

解:

编辑

添加图片注释,不超过 140 字(可选)

编辑切换为居中

添加图片注释,不超过 140 字(可选)

5、已知总电压的有效值为 U =220 V,1号、2号电压表的读数为 U 1= U 2=127 V。试求3号电压表的读数 U 3,并画出电压与电流的相量图。(12分)

编辑

添加图片注释,不超过 140 字(可选)

编辑

添加图片注释,不超过 140 字(可选)

编辑切换为居中

添加图片注释,不超过 140 字(可选)

编辑切换为居中

添加图片注释,不超过 140 字(可选)

编辑切换为居中

添加图片注释,不超过 140 字(可选)

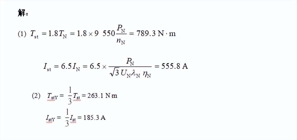
9、某 机,铭 下:D 法, P N = 45 kW, U N = 380 V, n N = 980 r / min, h N = 92 %, l N = 0.87 , I st / I N = 6.5, T st / T N = 1.8。求:

(1) 流;

(2) U-D 流。(8分)

编辑切换为居中

添加图片注释,不超过 140 字(可选)

10、填空题(每空1分,共8分)

(1)、熔断器在电路中起 短路 保护作用;热继电器在电路中起 过载 保护作用。接触器具有 欠压和失压 保护作用。

(2)、RL串联电路中,测得电阻两端电压为120V,电感两端电压为160V,则电路总电压是 200 V。

(3)、品质因数越大,电路的 选择 性越好,但不能无限制地加大品质因数,否则将造成 通频带 变窄,致使接收信号产生失真。

(4)、非正弦周期量的有效值与正弦量的有效值定义相同,但计算式有很大差别,非正弦量的有效值等于它的各次 谐波 有效值的 平方和 的开方。

这份电工试卷,你能答对多少?(附答案)

有证的回顾知识点,没证的也看看对试题有个大概的心理准备~

考试

一、名词解释:

1、一次设备

直接与生产电能和输配电有关的设备称为一次设备。包括各种高压断路器、隔离开关、母线、电力电缆、电压互感器、电流互感器、电抗器、避雷器、消弧线圈、并联电容器及高压熔断器等。

2、二次设备

对一次设备进行监视、测量、操纵控制和保护作用的辅助设备。如各种继电器、信号装置、测量仪表、录波记录装置以及遥测、遥信装置和各种控制电缆、小母线等。

3、三相交流电

由三个频率相同、电势振幅相等、相位差互差120°角的交流电路组成的电力系统,叫三相交流电。

4、高压断路器

又称高压开关,它不仅可以切断或闭合高压电路中的空载电流和负荷电流,而且当系统发生故障时,通过继电保护装置的作用,切断过负荷电流和短路电流。它具有相当完善的灭弧结构和足够的断流能力。

5、空气断路器 (自动开关)

是用手动(或电动)合闸,用锁扣保持合闸位置,由脱扣机构作用于跳闸并具有灭弧装置的低压开关,目前被广泛用于 500V 以下的交、直流装置中,当电路内发生过负荷、短路、电压降低或消失时,能自动切断电路。

6、负荷开关

负荷开关的构造秘隔离开关相似,只是加装了简单的灭弧装置。它也是有一个明显的断开点,有一定的断流能力,可以带负荷操作,但不能直接断开短路电流,如果需要,要依靠与它串接的高压熔断器来实现。

7、母线

电气母线是汇集和分配电能的通路设备,它决定了配电装置设备的数量,并表明以什么方式来连接发电机、变压器和线路,以及怎样与系统连接来完成输配电任务。

8 、变压器

一种静止的电气设备,是用来将某一数值的交流电压变成频率相同的另一种或几种数值不同的交流电压的设备。

9、电流互感器

又称仪用变流器,是一种将大电流变成小电流的仪器。

10 、接地线

是为了在已停电的设备和线路上意外地出现电压时保证工作人员的重要工具。按部颁规定,接地线必须是 25mm 2 以上裸铜软线制成。

11 、遮栏

为防止工作人员无意碰到带电设备部分而装设备的屏护,分临时遮栏和常设遮栏两种。

12 、标示牌

用来警告人们不得接近设备和带电部分,指示为工作人员准备的工作地点,提醒采取安全措施,以及禁止微量某设备或某段线路合闸通电的通告示牌。可分为警告类、允许类、提示类和禁止在等。

13 、跨步电压

如果地面上水平距离为 0.8m 的两点之间有电位差,当人体两脚接触该两点,则在人体上将承受电压,此电压称为跨步电压。最大的跨步电压出现在离接地体的地面水平距离 0.8m 处与接地体之间。

14 、相序

就是相位的顺序,是交流电的瞬时值从负值向正值变化经过零值的依次顺序。

15 、电力系统

电力系统是动力系统的一部分,它由发电厂的发电机及配电装置,升压及降压变电所、输配电线路及用户的用电设备所组成。

二、选择题

1、万用表的转换开关是实现( A )

A、各种测量种类及量程的开关

B、万用表电流接通的开关

C、接通被测物的测量开关

2、两只额定电压相同的电阻,串联接在电路中,则阻值较大的电阻( A )

A、发热量较大

B、发热量较小

C、没有明显差别

3、绝缘手套的测验周期是( B )

A、每年一次

B、六个月一次

C、五个月一次

4、绝缘靴的试验周期是( B )

A、每年一次

B、六个月一次

C、三个月一次

5、接受倒闸操作命令时( A )

A、要有监护人和操作人在场,由监护人接受

B、只要监护人在场,操作人也可以接受

C、可由变电站(所)长接受

6、在值班期间需要移开或越过遮栏时( C )

A、必须有领导在场

B、必须先停电

C、必须有监护人在场

7 、接地中线相色漆规定涂为( A )

A、黑

B、紫

C、白

8 、变电站(所)设备接头和线夹的最高允许温度为( A )

A、 85 ℃

B、 90 ℃

C、 95 ℃

9 、电流互感器的外皮最高允许温度为( B )

A、 60 ℃

B、 75 ℃

C 、 80 ℃

10 、电力变压器的油起( A )作用

A、绝缘和灭弧

B、绝缘和防锈

C、绝缘和散热

11 、电力电缆不得过负荷运行,在事故情况下, 10k V以下电缆只允许连续( C )运行

A、1 h 过负荷 35 %

B、 1.5h 过负荷 20 %

C、 2h 过负荷 15 %

12 、继电保护装置是由( B )组成的

A、二次回路各元件

B、各种继电器

C、包括各种继电器和仪表回路

13 、线路继电保护装置在该线路发生故障时,能迅速将故障部分切除并( B )

A、自动重合闸一次

B、发出信号

C、将完好部分继续运行

14 、装设接地线时,应( B )

A、先装中相

B、先装接地端,再装两边相

C、先装导线端

会了不难

三、填空题

1、安全工作规程是中规定:设备对地电压高于250V 为高电压;在250V 以下为低电压;安全电压为36V 以下;安全电流为10mA 以下。

2、值班人员因工作需要移开遮栏进行工作,要求的安全距离是 10kV时0.7m, 35kV时1.0 m, 110kV时1.5m , 220kV时3.0m 。

3、遇有电气设备着火时,应立即将该设备的电源切断 ,然后进行灭火 。

4、值班运行工的常用工具有钢丝钳 、 螺丝刀 、 电工刀 、 活板手 、 尖嘴钳 、 电烙铁 和低压试电笔等。

5、在变压器的图形符号中Y表示三相线圈 星形连接。

6、变电站(所)控制室内信号一般分为电压 信号;电流 信号 ;电阻 信号。

7、带电设备着火时应使用干粉 、 1211 、 二氧化碳 灭火器,不得使用泡沫 灭火器灭火。

8 、变电站(所)常用直流电源有蓄电池 、 硅整流 、 电容储能 。

9 、高压断路器或隔离开关的拉合操作术语应是拉开 、 合上 。

10 、继电保护装置和自动装置的投解操作术语应是投入 、 解除 。

11 、验电装拆接地线的操作术语是装设 、 拆除 。

12 、已执行的操作票注明“ 已执行 ”。作废的操作应注明“ 作废 ”字样。这两种操作票至少要保存三个月 。

13 、在晶体管的输出特性中有三个区域分别是截距 、 放大区 和 饱和区 。

14 、在阻、容、感串联电路中,只有电阻 是消耗电能,而电感 和电容 只是进行能量变换。

15 、变电站(所)倒闸操作必须由两人 执行 ,其中对设备 熟悉者做监护 人。

16 、填写操作票,要包括操作任务操作顺序 、 发令人 、 操作人 、 监护人 及操作时间等。

17、高压设备发生接地故障时,人体接地点的安全距离:室内应大于4m ,室外应大于8m 。

18 、电流互感器一次电流,是由一次回路的负荷电流 所决定的,它不随二次回路阻抗 变化,这是与变压器工作原理 的主要区别。

19、变压器油枕的作用是调节 油量、延长油的 使用寿命。油枕的容积一般为变压器总量的十分之一 。

20、变压器的冷却方式有油浸自冷 式、油浸风冷 式、强油风冷 式和强油水冷却式。

欢迎留言

大俵哥的微信公众号:wsdbg001

最亲民的电工知识分享平台,欢迎关注

(图片采集自网络)

相关问答

有几道 电工电子 的判断题请帮忙答以下!1P型半导体中不能移动...

[最佳回答]错、对、对、对、错、错

【几个 电工电子 专业的判断题.1.叠加定理适用于电路元件功率...

[最佳回答]1错,用于电压电流2对3对4对5对,但相同真值表可以有多种表达式

电工 考证做题软件用什么软件?

电工模拟试题_电工考试模拟试题_电工模拟试题及答案-应用商店搜索“上学吧”有你要的题目~电工模拟试题_电工考试模拟试题_电工模拟试题及答案-应用商店搜...

电工 面试常问问题答案文库?

电工面试常问问题可以有以下问题和答案1、你对加班的看法?回答提示:实际上好多公司问这个问题,并不证明一定要加班。只是想测试你是否愿意为公司奉献。回...

跪求一套初级 电工基础 题试卷,只要初级电工-中级电工的试卷是...

[最佳回答]学校2011-2012学年第1学期期末考试课程----电工基础---------------使用班级-------------------------姓名---------------------...

华润物业 电工 面试题试卷?

物业管理处招聘电工笔试题及参考答案一.填空题(每题2分,共10题)1、《电业安全工作规程》规定:安全生产,人人有责。各级领导必须以身作则,要充分发动群众...

一些关于 电工 的初级试题求各位大神给个满分答题谢谢赏分!1....

[最佳回答]我来为你解答!1B2A3C4A5A6C7A8C9开路断路短路10导体,绝缘体,半导体11振幅,频率,初相12红,绿,黄13导通,截止,放大纯手打,分给我吧,555...

电工 考试600道题会了就能考过吗?

对于这个问题,我是这样认为的。电工考试有的地方题目是六百多道,有的地方是九百多道。不是完全一样。假如你能够把这六百道题全部弄会,笔试基本上没有问题。因...

应用题 :1. 电工 张叔叔抢修电网,他拿来一根电线,先剪去它的50%...

[最佳回答]亲,1、你可以倒推的,18+8=26米这是第一次剪后余下部分的50%.所以第一次剪后余下的长度为26/50%=52米,52+12=62米就是原来长度的50%.所以原来的长度...

2014年高压 电工 进网考试题库总共多少题?

总共一千题,高压电工进网理论考试无论是复审还是新考理论考试,都是挺难的,要经过培训机构的学习,好好听取老师讲解知识点,然后多刷里面的题目最后多参加一点...

标签:

相关阅读