电工电子的应用论文 《电工技术学报》优秀论文:电场耦合式无线电能传输系统优化方法

小编头像

小编

管理员

发布于:2026年04月14日

101 阅读 · 0 评论

《电工技术学报》优秀论文:电场耦合式无线电能传输系统优化方法

《电工技术学报》2019年度优秀论文获奖论文简报

《光伏发电出力预测技术研究综述》等15篇优秀论文入选《电工技术学报》2019年度优秀论文,荣获中国电工技术学会表彰。现将部分获奖论文的文章简报分享给各位读者,以期促进本领域的技术交流。

电场耦合式无线电能传输(Electric-field Coupled Wireless Power Transfer,EC-WPT)技术,是一种以高频电场作为能量传输载体,并综合利用电力电子技术、电工理论和现代控制理论,实现无直接电气连接的电能传输技术。

该技术具有如下优点:耦合机构简易轻薄,成本低,形状易变;在工作状态中,耦合机构的绝大部分电通量分布于电极之间,对周围环境的电磁干扰很小;当耦合机构中或周围存在金属导体时,所产生的涡流损耗甚小;可以跨越金属物体进行传能。

目前,全世界已有很多专家和学者围绕EC-WPT系统的耦合机构、电能变换拓扑构建、系统建模与动力学行为特性分析、系统控制和参数优化等理论方面展开了研究,并围绕电动汽车充电、机器人和消费电子产品的供电或充电等许多领域的应用进行了探索,取得了丰富的研究成果。

团队介绍

重庆大学无线电能传输技术研究所是国内最早组建并专业从事无线电能传输技术研发及推广应用的专业团队。团队目前拥有教授5人,副教授3人,讲师和工程师4名,博士、硕士研究生100余人。团队围绕无线电能传输技术坚持不懈地开展了近20年的研发工作,已形成前沿探索、应用开发以及产业化应用的技术体系。

目前研究所拥有国家无线电能传输技术国际联合研究中心、中国-新西兰无线电能传输技术国际研究中心、重庆市无线电能传输技术工程中心等平台,发起成立了中国电源学会无线电能传输技术及装置专委会。研究成果已成功应用于电动汽车、数码家电、石油勘探、电力系统装备以及国防军工等多个领域。在高水平论文、发明专利、专著以及获奖等方面取得了一系列成果。在国内外有一定的影响力并享有很高的声誉。

苏玉刚

1962出生,工学博士,重庆大学自动化学院教授/博导,重庆大学无线电能传输技术研究所副所长,国家无线电能传输技术国际联合研究中心副主任。中国电工技术学会无线电能传输技术专业委员会委员,四川省电工技术学会常务理事。

研究方向为无线电能传输技术、电力电子与电气传动、控制理论应用与综合自动化系统集成技术。曾在澳大利亚昆士兰大学从事合作研究。近年来主持和主研了30多项国家级和部省级科研项目及企业合作项目,荣获部省级科技进步二等奖4项,已受理和获权的发明专利100余项,在国内外重要学术期刊发表的SCI和EI检索论文100余篇。出版专著2部。主持国家级教改项目1项,主编规划教材2部。

研究背景

对于传统的EC-WPT系统而言,极板的耦合电容较小,为增大系统传输功率和效率,通常需要串联较大电感来补偿其容抗,从而导致系统体积增大,且电感等效串联电阻较大,损耗也增大。一般通过增大系统工作频率,以减小串联补偿电感,从而达到增大输出功率的目的。

然而频率高达兆赫兹级的系统,开关管损耗必然会增大,而且系统的电磁干扰增大,控制难度也大大增加,这使得EC-WPT系统在实际应用中受到限制。在这种多约束的情况下,寻找一种既能减小补偿电感、增大传输距离、降低参数敏感性,又能提高输出功率和传输效率的拓扑结构和系统性的优化设计方法尤为重要。

论文方法及创新点

图1EC-WPT系统拓扑

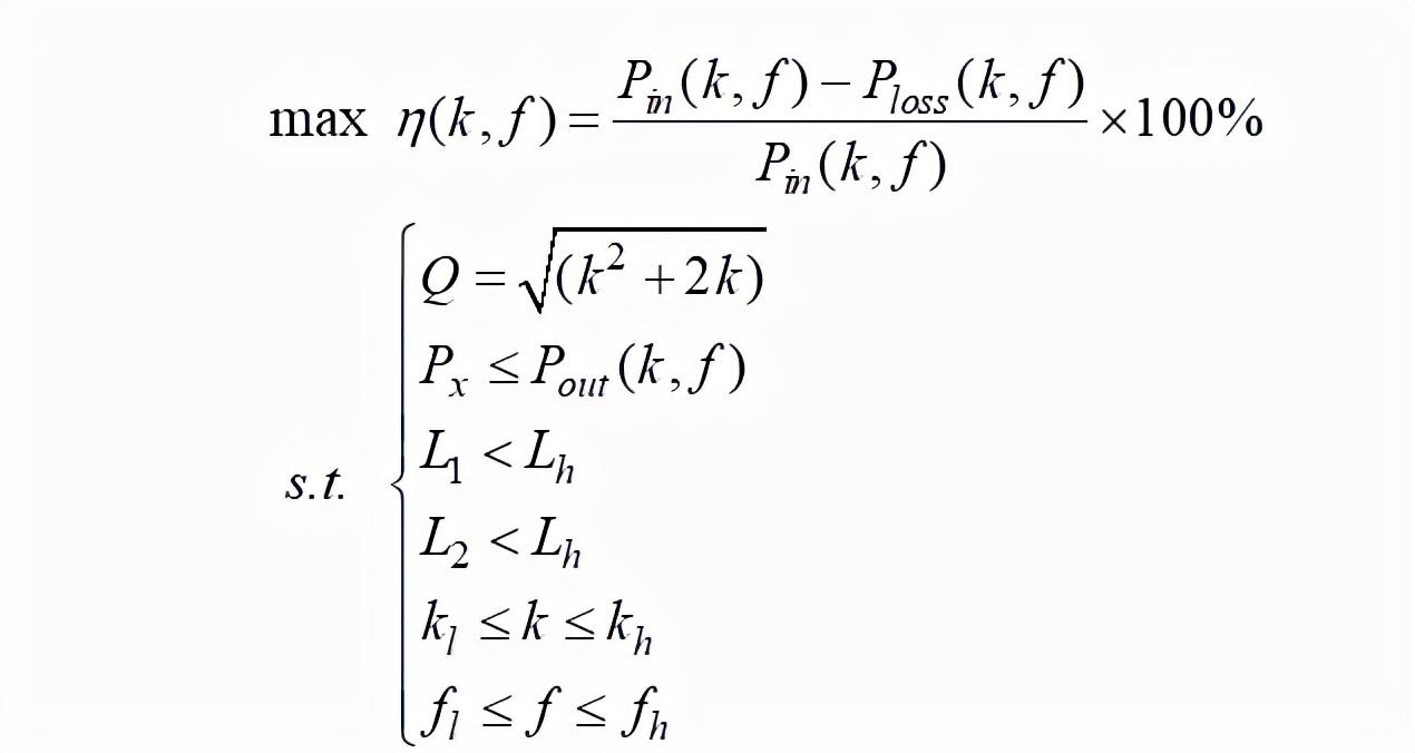
本文对图1所示的EC-WPT系统进行研究,在基于双向LCC谐振网络的参数配置方法基础之上,提出了一种结合非线性规划和自适应遗传算法(Adaptive Genetic Algorithm,AGA)的优化方法,对系统做多约束条件下的优化,使系统在满足所需输出功率和系统ZPA、低激励电压、小补偿电感等约束条件下,系统传输效率最大。以此算法对系统频率f和并联谐振电容与耦合电容比值k进行寻优,将优化后的f和k结合LCC谐振网络的参数配置方法得到满足上述约束指标的系统参数。

根据图2所示的系统等效电路,首先给出系统约束条件,包括激励电压和工作频率的约束、ZPA等式约束、补偿电感最大值约束和输出功率需求约束。

图2 EC-WPT系统等效电路

为了克服以往算法易陷入局部收敛的问题,本文从种群进化的宏观阶段方面进行考虑,利用非线性规划局部搜索能力强的特点,提出将自适应遗传算法与非线性规划相结合的优化方法对系统进行优化,使算法能快速收敛于全局最优解。

利用智能优化算法对EC-WPT系统进行优化,必须先确定系统目标函数、约束条件以及待优化参数。在负载电阻一定的情况下,系统中待优化的参数包括L1、C1、L2、C2和f。由于文中拓扑的对称特性和LCC网络的谐振关系,待优化变量可以减少为k和f。

通过分析可知,EC-WPT系统的非线性规划模型可表示为

本文将自适应遗传算法与非线性规划相结合对系统进行优化,使算法能够快速找到全局最优解。系统参数设计与优化流程图如图3所示,图中E根据实际应用中所需功率等级而定,Cs根据实际应用中所需的传输距离和空间尺度而定,RL由实际应用中的供电对象决定。

图3 参数设计与优化流程图

图4 最优解追踪图

表1 遗传算法优化得到的参数

为了对本文所提出的方法的可行性和有效性进行验证,基于图1所示的EC-WPT系统拓扑和优化算法得到的系统参数搭建了如图5所示系统实验装置。电感用利兹线绕制成空心电感,全桥逆变采用美国CREE公司的碳化硅MOSFET C2M0080120D,整流桥采用Infineon公司的碳化硅二极管IDW30G65C。

为了使系统在给定参数下能工作于ZVS软开关状态,以减小了开关管损耗,实验中通过增大开关频率让其稍高于系统谐振频率,使系统呈弱感性。图6为系统逆变输出电压、电流和负载拾取电压,电流稍滞后于电压,与理论分析一致。实验结果验证了在减小补偿电感、增大传输距离、降低参数敏感性的前提下,以及满足系统多约束的条件下,系统性能得到进一步的提升。

图5 EC-WPT实验装置

图6 EC-WPT实验波形

结论

本文针对EC-WPT系统的多约束条件下系统参数优化问题,在双侧LC型EC-WPT系统和LCC谐振网络参数配置方法的研究基础上,提出了一种结合非线性规划和自适应遗传算法的优化方法,以系统效率为目标函数,在多约束条件下对系统频率f和并联谐振电容与耦合电容比值k进行寻优,最终使系统在满足所需功率的条件下效率最高,也解决了系统ZPA、低激励电压、小补偿电感和传输距离之间相互制约的问题。

本文的成果对于高阶复杂的电场耦合无线电能传输系统在多约束条件下如何优化系统参数,提升系统的传输性能具有参考价值和理论指导作用,有利于进一步促进无线电能传输技术的发展。

引用本文

苏玉刚, 吴学颖, 赵鱼名, 卿晓东, 唐春森. 互补对称式LCC谐振网络的电场耦合式无线电能传输系统参数优化[J]. 电工技术学报, 2019, 34(14): 2874-2883. Su Yugang, Wu Xueying, Zhao Yuming, Qing Xiaodong, Tang Chunsen. Parameter Optimization of Electric-Field Coupled Wireless Power Transfer System with Complementary Symmetric LCC Resonant Network. Transactions of China Electrotechnical Society, 2019, 34(14): 2874-2883.

磁场与食品保鲜研究进展

本文约 8800 字,建议收藏后阅读!

食品保鲜与人类生活息息相关。食品保鲜技术一直以尽可能保持食品原有品质为目标,并不断地寻求更高效、更经济以及更安全的新方法。随着近年来生物研究和工程技术的发展,人们发现磁场作为一种无污染无残留的物理方法,能够对生物体产生效应,从而对食品保鲜有一定的影响效果。

中国科学院合肥物质科学研究院强磁场科学中心、中国科学技术大学科学岛研究生分院、合肥美的电冰箱有限公司的研究人员汪滢、史慧新、伍志刚、张明明、张欣,在2021年《电工技术学报》增刊1上撰文,综述几种磁场在食品保鲜中的研究,以及磁场辅助食品冷冻保藏的效果。

总体而言,目前已有多项研究证明,一定参数的静磁场、交变磁场和脉冲磁场能够对食品保鲜产生有利作用,但磁场参数的不同也会直接导致不同的结果,并且机制方面的研究亟待加强。该文不仅展示磁场在食品保鲜领域的良好应用前景,同时也提出该领域目前存在的问题与局限性。这对未来将磁场发展成为一种新型食品保鲜技术提供了实验证据。

随着生活水平的提高和生活节奏的加快,人们对食品在运输和贮存过程中的冷藏和冷冻,以及其他食品保鲜技术的依赖性越来越强,同时对食品口味以及材质新鲜程度的要求也越来越高。控制从农场到餐桌的食品中微生物的进入和生长,对于确保消费者的健康以及最大限度地减少因腐烂而造成的食品损失十分重要,如何在保证方便快捷生活节奏的同时保证食品的质量与安全也成为广大人民关注的热点。

在20世纪,冰箱的普及对于降低胃癌等消化道疾病的发生起到了重要的作用,超声波、超高压、电离辐射等先进保鲜技术也逐渐得到应用。本文将对磁场(一种穿透力强的物理场)对食品保鲜的影响进行综述,对目前关于不同类型磁场在食品保鲜中的应用与研究进展进行总结、归纳和展望,以期为未来将磁场应用于食品保鲜领域的研究与应用提供基础。

1 食品保鲜技术简介

一般来说,食品在贮运过程中发生的变质主要是由微生物、食品本身含有的酶、生命自身活动、氧化或者光引起的。而食品保鲜就是通过控制或抑制可能改变食品感官和营养质量的外部污染物 和/或内部生物反应来实现。

目前在实际生产中常用的食品保鲜技术主要可以分为物理、化学和生物保鲜技术三大类。但是,由于化学保鲜容易造成化学物质残留,近些年来人们更多地关注于生物保鲜技术和物理保鲜技术。尤其是物理保鲜中的非热保鲜技术,能够在正常环境温度或接近正常环境温度下使微生物失活,从而避免热量对食物的风味、颜色和营养价值产生不利影响,因此也受到人们更多地关注与研究。以下对这三大类保鲜技术进行简要的介绍。

1.1 物理保鲜技术

常见物理保鲜技术有低温保鲜法、热处理法、气调包装法和真空保鲜法等,还有一些较先进的非热技术,如超高压保鲜、超声波保鲜、电离辐射保鲜、磁场保鲜等。

低温保鲜法就是利用低温技术将食品温度降低,并维持在低温状态以阻止食品腐败变质,延长食品保存期。热处理法即利用高温来杀死微生物和一些孢子,并使酶失活,但是过度的热处理也可能会导致蛋白变性、非酶褐变以及维生素和挥发性风味化合物的损失等。

气调包装法指的是产品于密封于容器或包装中之前,改变产品周围的气体成分或替换为非活性气体,从而抑制细菌繁殖,对果蔬而言,还能够有效抑制其呼吸作用。

真空保鲜法是采用抽真空的方法,除去包装袋内的空气,再采用密封技术使食品处于包装袋中与外界环境隔绝,从而有效防止脂肪氧化和需氧微生物的生长,抑制酶活,延长保存期。

超高压是一种低温巴氏杀菌方法,能通过破坏非共价键和细胞膜而使营养微生物细胞失活,用于延长保质期和减少病原菌。超声波利用声波产生的能量,每秒至少有20000次振动,这些机械冲击可以破坏细胞的结构和功能成分,直到细胞裂解。电离辐射是通过将DNA片段化,减少或消除腐败和致病微生物。

这些先进技术还没有被广泛应用到实际生产中,一方面是因为成本较高;另一方面则是因为这些技术也存在一定的问题,如超高压可以改变蛋白质和多糖的结构,导致食物的质地、外观和功能发生改变,较高剂量的电离辐射可能会导致牛肉、猪肉和家禽肉的轻微颜色变化。而关于磁场保鲜,目前的相关研究相对较少,将在后面章节里详细介绍。

1.2 化学保鲜技术

化学保鲜主要是通过化学保鲜剂对食品进行保鲜。对于果蔬而言,化学保鲜剂包括吸附型防腐保鲜剂、溶液浸泡型防腐保鲜剂、熏蒸型防腐剂、蜡和涂膜剂。而对肉类而言,化学保鲜剂包括防腐剂、抗氧化剂、发色剂和品质改良剂。但是化学保鲜的缺陷在于化学保鲜剂的毒性和残留问题,据报道,2012年,在加利福尼亚州的草莓中就检测出了近50种不同类型的化学物质。

由于长期使用传统的化学保鲜剂会对人体健康和环境产生不利影响,目前也出现了一些更为环保的化学保鲜剂,如臭氧。臭氧能够与微生物的胞内酶、核物质、被膜成分、孢子壳或病毒衣壳迅速发生反应。它分解迅速,没有氧化痕迹,不会留下任何残留的有毒副产品,也不会改变食物的化学成分。除此之外,还有纳米乳液、酸性电解水等都逐渐被应用到食品保鲜中。

1.3 生物保鲜技术

生物保鲜技术的一般机理为隔离食品与空气的接触、延缓氧化作用,或是生物保鲜物质本身具有良好的抑菌作用,从而达到保鲜防腐的效果。常见的生物保鲜技术包括天然抗菌剂、细菌噬菌体和生物保护性微生物。

天然抗菌剂有从植物体中提取的具有良好抗菌性成分的物质如植物精油等;从动物体中提取的溶菌酶、抗菌肽、壳聚糖、脂质等;以及微生物的发酵产物,常见的有尼生素、儿茶素。噬菌体是一种新颖、环保、有效的生物保鲜方法,可以特异并有效地在各自的宿主细菌细胞中感染和繁殖,所以对人类、动物和植物无害,被认为是一种新型、环保的化学消毒剂的替代品。生物保护性微生物就是通过引入其他对人类有益的竞争性微生物来防止微生物生长,如乳酸菌,它作为肉类、牛奶、蔬菜和鱼类的天然菌群在食品中的安全使用已有很长的历史。

近年来,有很多关于磁场生物效应的研究,并且人们也开始从细胞和微生物水平探究磁场对食用动植物作用的生物学效应,希望能通过食物营养特性、功效成分、结构特征等方面的变化,寻求提高食品质量的新途径。磁场作为一种新型非热保鲜技术也逐渐走进人们的视野。本文对磁场与食品保鲜的研究进展进行归纳总结,旨在能够为磁场在食品保鲜中的应用提供参考。

2 磁场分类及其应用简介

磁场是一种看不见、摸不着但客观存在的物理场。磁场主要可以分为稳态磁场(也叫静磁场、稳恒磁场或者恒定磁场)和时变磁场两种。其中,时变磁场即强度/方向随时间变化的磁场,包括交变磁场、脉动磁场和脉冲磁场。根据磁感应强度,磁场又可以被分为弱磁场(小于1mT),中等磁场(1mT~1T),强(高)磁场(1~20T)和超强(高)磁场(20T及以上)。

近年来,磁场的应用越来越广泛,在工程技术领域,出现了磁场调制电机、应用于电动汽车的电磁离合器和永磁体机以及磁性粒子成像技术等,由此引出的磁场对生物体的安全性也越来越受到关注,这也进一步促进了磁场在生物领域的研究。

然而,磁场的应用还远远不止这些,随着人们对食品营养和健康的追求,磁场在食品领域的应用也开始崭露头角。从目前的研究进展来看,磁场在食品加工中的应用主要有磁场对食用菌、农作物生长和产量促进以及磁场对食品保鲜的作用(包括食品杀菌和食品冷冻等)。本文集中讨论磁场对食品保鲜的作用,以期为磁场辅助的食品保鲜技术的发展提供基础。

3 磁场在食品保鲜中的研究进展

3.1 静磁场与食品保鲜

目前已有多项研究表明,一定参数的静磁场(Static Magnetic Field, SMF)能够对一些食品起到促进保鲜的效果,并且多项研究表明,静磁场能够抑制多种细菌的生长,从而有利于保持食品的新鲜度和品质,静磁场与食品保鲜研究见表1。

例如,2009年,A. El May等利用200mT的静磁场处理沙门氏菌,发现磁场暴露3~6h能够起到一定的抑菌作用。2012年,I. Bajpai等利用100mT的静磁场处理烧结型羟基磷灰石中大肠杆菌和表皮葡萄球菌,发现磁场暴露120min时有最好的抗菌效果;并且通过对细菌细胞壁膜完整性和内膜通透性的测定发现,磁场的存在还会影响细胞壁的完整性,导致细胞膜解体以及细胞间物质的释放。同年,M. Mihoub等也发现,利用200mT的静磁场处理6h,能使鼠伤寒沙门氏菌野生型和dam突变型的生长显著降低。2017年,T. V. Balogu等发现,利用0.5T的静磁场处理发酵乳饮料6天,乳饮料中的微生物数量明显低于对照组,并且乳饮料在贮存6天后的感官质量(外观、香气和质地)没有明显变化,说明磁场处理并没有对乳饮料品质造成破坏。

然而,目前无论从静磁场对食品保鲜的效果还是从机制来讲,都无法做出确切的结论。因为,虽然有研究表明磁场能够有助于食品保鲜,但也有研究表明静磁场无此效果,甚至能够促进微生物的生长。

例如,2012年,J. Filipič等研究发现,17mT的静磁场可以抑制大肠杆菌和恶臭假单胞菌两种细菌的生长,但是在电场强度为5mT和50mT时无明显效果。2019年,夏广臻等研究发现,以60Gs(1T= 10000Gs)为界,较低强度的磁场抑制了菠菜呼吸,提升了菠菜的保鲜效果,而高于60Gs强度的磁场促进了菠菜的呼吸,使得菠菜营养物质消耗更快,大大缩短菠菜的保鲜贮藏时间。2019年,Tang Hengfang等用0~190mT磁场处理黄杆菌m1-14,发现暴露于190mT磁场时,黄杆菌m1-14的生物量和维生素K2的产量降低;而50mT、100mT、150mT磁场处理120h却能增加黄杆菌m1-14的生物量和维生素K2的产量。

这些研究结果表明,静磁场虽然能够对果蔬的保鲜有一定的效果,但其效果与磁场参数直接相关,其作用可能存在窗口效应,即只有特定特征和参数的磁场效应才能产生特定的影响。因此,人们需要进一步对不同参数的磁场进行系统性研究,并探索其机制,从而为开发出更有效的磁场保鲜技术提供实验基础。

表1 静磁场与食品保鲜研究

3.2 交变磁场与食品保鲜

除了静磁场,交变磁场(Alternating Magnetic Field, AMF)也能对食品产生一定的保鲜效果,交变磁场与食品保鲜研究见表2。有趣的是,目前所报道的交变磁场与食品保鲜的数据均为有利结果,并且与所用磁场参数并无明显关联。然而,此方面的机制研究目前还十分缺乏,并且若进一步检测更多的测试对象及更多的磁场参数,是否还能得到一致有利的促进保鲜效果,目前尚不清楚。但是这些研究表明,交变磁场在食品保鲜领域有着良好的潜在应用前景,值得进一步系统深入研究。

表2 交变磁场与食品保鲜研究

3.3 脉冲磁场与食品保鲜

目前,也有多项研究表明,脉冲磁场(Pulsed Magnetic Field, PMF)可以通过其杀菌作用,使食品品质得到更好的保存,脉冲磁场与食品保鲜研究见表3。

表3 脉冲磁场与食品保鲜研究

例如,2004年,杨巧绒等研究了脉冲磁场对西瓜汁的杀菌效果,并对处理后的西瓜汁品质进行了评价,发现杀菌效果最好的条件为磁感应强度7.59T、脉冲数15、西瓜汁温度20℃。在最佳杀菌条件下,脉冲磁场对西瓜汁的色泽和还原性VC破坏最小,对西瓜汁中可溶性固性物含量和pH几乎没有影响。2019年,Lin Lin等研究了脉冲磁场对大肠杆菌O157:H7的处理效果,发现灭活效果与其脉冲数或脉冲强度呈正相关;并且当磁感应强度为8.0T,脉冲数为60时,对蔬菜汁处理3次,即可对蔬菜汁中的大肠杆菌O157:H7有预期的抗菌作用,并对其质量没有任何不利影响。

然而,2017年的一项研究检测了中等强度的脉冲磁场对鲜牛肉的保鲜效果,发现脉冲磁场处理2h的鲜牛肉微生物生长和肌红蛋白含量有所降低,但是脉冲磁场处理了12天的鲜牛肉与对照组相比,品质却无明显的差异,这表明磁场处理时间应该是磁场作用于食品保鲜领域的一个关键参数。但是总体而言,脉冲磁场的杀菌作用相对比较明确,因此在磁场保鲜领域有着一定的应用前景。

3.4 磁场与食品冷冻

食品的冷冻保藏也是食品保鲜的常见方法,因为冷冻能够使食品中的游离水固定化,进而抑制微生物的生长,减缓酶和化学降解反应,从而减缓食品的变质速度。但是在食品冷冻过程中,冰晶的大小对冻融食品的结构和物理性质以及冻干、冷冻浓缩等过程都至关重要。如果冰晶过大,就会导致细胞膜破裂,在食品解冻之后,汁液损失严重,影响食品的品质。

近年来出现了一些冷冻新方法,包括高压冷冻、电磁辅助冷冻、超声波辅助冷冻以及防冻蛋白。在微观层面上,大多数新方法都有一定的能力来控制冰晶的形成和生长,从而产生更小、更均匀、分布更规则的冰晶,改善冷冻食品的微观结构,提高其品质属性。

关于磁场辅助冷冻方面,早在2000年,ABI有限公司(日本千叶)就推出了一种称为“CAS(cells alive system)冷冻柜”的系统,该系统使用静态和低频振荡磁场,而Ryoho冷冻系统有限公司(日本奈良)则从2003年起出售将静态磁场和电磁波结合在一起的“质子冰柜”。近几年来在有相关研究表明,磁场对于食品的冷冻保鲜确实有一定的辅助效果,尤其是在控制冰晶生成方面。

3.4.1 静磁场与食品冷冻

目前有多项关于磁场与食品冷冻的研究,但结果不一,见表4,可能与所用磁场参数直接相关。例如,2019年,夏广臻研究发现,50Gs的静磁场可以缩短牛肉冷冻相变阶段;并且通过对冷冻后牛肉的pH、汁液流失率、挥发性盐基氮测定,发现50Gs磁场可以改善牛肉品质,但是100Gs的磁场对于牛肉的贮存却有着负面的影响。2017年,宋健飞发现4.6Gs的静磁场可以使豌豆、胡萝卜快速通过最大冰晶生成带形成细小冰晶,并且汁液流失率最低。

2013年,周子鹏研究了直流磁场对猪肉冻结的影响,结果表明,磁感应强度为0.46mT时,磁场能够加快猪肉冷冻速率,促进冷冻过程的进行;磁感应强度低于0.46mT时,对冷冻过程的影响不明显;磁感应强度在0.9~1.8mT时,反而延长冷冻时间,降低冷冻速率,延缓冷冻过程。并且0.46mT磁场条件下冻结的猪肉持水性更高,汁液流失更少,其硬度和粘附性更小,弹性、凝聚性和咀嚼性提高,猪肉的品质得到了提升。

表4 磁场与食品冷冻研究

3.4.2 振荡磁场与食品冷冻

近年来,还有多项有关振荡磁场(Oscillating Magnetic Field, OMF)(应属交变磁场)用于食品过冷保鲜的研究。过冷是指将产品冷却到其通常冰点以下而不形成冰晶的过程,因而过冷保鲜能够更好地保持食品品质。K. Hirasawa等认为振荡磁场会导致水分子振动来防止冰晶成核,从而有利于过冷状态的保持。事实上也有研究显示,振荡磁场有利于保持过冷状态。

例如,2019年,J. Y. Her等将鲜切蜜瓜于振荡磁场(-8.0~8.0mT,1Hz)存在的条件下-5.5℃贮藏21天,发现保存的鲜切蜜瓜失水量显著低于冷冻样品,磁场处理的样品细胞间结合紧密,未发现与冰晶形成相关的畸变细胞,很好地保持了过冷状态,并且微生物分析、pH值、可滴定酸度、可溶性固形物含量测定表明,21天后过冷样品的总体质量与新鲜样品无显著差异。同年,其课题组还研究了振荡磁场(10mT,1Hz)对鲜切菠萝-7℃过冷保藏的影响,发现在振荡磁场的存在下,菠萝的过冷状态保持14天,而未经处理的样品在24h内形成冰晶,微观结构分析表明,过冷菠萝中不存在由冰晶形成引起的细胞损伤,说明振荡磁场成功地抑制了过冷过程中的冰核形成。

2019年,Tan Yinying等研究了4mT、50Hz高均匀、多方向的振荡磁场对鳄梨果泥冷冻(-20℃)的影响,虽然并未维持过冷状态,但是最大冰晶形成的温度带缩短,形成冰晶变小,并且冻融后的鳄梨果泥与对照组相比具有更高的pH值和可溶性固形物含量,颜色和抗氧化活性与新鲜样品相似,维持了更好的品质。

然而,也有研究表明,振荡磁场对食品的冷冻保存并无影响,尤其是低强度的振荡磁场。以下几个研究均基于CAS冷冻系统的振荡磁场(见表4)。

例如,2015年,C. James等利用CAS系统对大蒜鳞茎进行冷冻处理,CAS设置分别为关闭、10%、50%和100%(磁感应强度为0、418μT、155μT和98μT),发现使用OMF条件下的冷冻对冷冻特性几乎没有显著的额外影响。2017年,A. C. Rodríguez等利用CAS系统(磁感应强度为0.04~0.53mT)处理猪腰肉,发现无论在冷冻过程中使用或不使用OMF,在样品中均未观察到显著程度的过冷;OMF对处理后样品的滴水损失、颜色参数、纹理参数均无明显的影响。2017年,L. Otero等在蟹棒冷冻过程中使用振荡磁场(<2mT,6~59Hz),经过24h、1个月、3个月、6个月、9个月和12个月的贮藏,并没有发现振荡磁场对蟹棒的滴水损失、持水能力、韧性和白度有任何影响。

2017年,F. Fernández- Martín等研究了CAS系统(磁场参数为1.66mT,6Hz)冷冻处理对鸡蛋清的影响,发现OMF处理(10% CAS)与相应的冷冻控制(0% CAS)相比没有任何优势,解冻后冷冻样品表现出高度变性/聚集的鸡蛋蛋白,功能特性降低。随后,其又研究了同等处理条件对鸡蛋黄的影响(磁场参数为1.52mT,6Hz),同样与常规冷冻相比并没有表现出任何明显的优势。2019年,E. A. Puza等利用CAS系统处理芒果块,CAS设置分别为30%、50%、75%和100%,观察了芒果冻融后细胞壁破裂、硬度下降和滴水损失,都与传统的水果冷冻没有显著差异。

这些研究结果都不支持CAS系统对食品冷冻的优势作用,但是,并不能由此得出弱OMF对食品冷冻没有作用效果的结论。事实上,弱OMF可能并不会以同等的方式影响所有食物,任何影响都将取决于食物、冻结率、磁场频率和储存条件的复杂组合。对此还需进行进一步的研究。

3.4.3 磁场与脉冲电场复合技术

目前,也有部分研究表明,磁场与脉冲电场的复合技术能够对食品的冷冻保鲜起到良好的作用。J. H. Mok等发现,静磁场(0~480mT)与脉冲电场(1.78V/cm,20kHz)的联合作用,能够使0.9%氯化钠溶液相变时间显著缩短,而且溶液形成更圆、更小尺寸的冰晶,冰晶形貌更加均匀、圆整,这将对食品的冷冻保鲜有一定的参考意义。

随后,J. H. Mok等又研究了振荡磁场(50~100mT,1Hz)与脉冲电场(20kHz)联合作用对鸡胸肉冷冻的影响,结果表明,鸡胸肉维持了过冷状态,并且没有明显的物理损伤或化学变化,与新鲜鸡胸肉样品的食品品质无显著差异。

虽然这些研究为磁场辅助冷冻提供了一些理论支撑,但是关于磁场作用于食品冷冻的具体机制还有待发现,希望未来有更多的研究来解决这些问题,为食品的冷冻保鲜开辟一条更好的途径。

4 本领域存在的问题

值得注意的是,目前本领域中大多数研究都没有对所用磁场条件进行详尽的分析。例如,对于永磁铁而言,大多数研究中对磁场参数的描述只停留在磁铁表面,或者是样品所在某一部位,或者一定区域内的平均强度,而对磁场方向和磁场分布并无描述。

前期在包括本课题组在内的一些研究已经表明磁场方向能够影响生物学效应,因此,在进行研究时需要对磁场方向进行描述。并且随着技术的发展,目前已经有能力对磁场的三维分布进行精确测量。例如,本课题组利用表磁分布仪对三种不同形状、大小和材料的永磁铁在距离其磁铁表面0.5cm和2cm处进行扫描(扫描范围15cm×16cm),2cm扫描结果如图1所示。

三种磁铁的表面磁感应强度分别为70~363Gs、279~643Gs和4171~4671Gs;在距离其磁铁表面0.5cm时,其电场强度分别降到了50~250Gs、120~300Gs和1200~3000Gs;在距离其磁铁表面2cm时,其电场强度分别降到了20~40Gs、10~20Gs和120~300Gs,其空间磁场分布差别十分显著。

图1

本领域除了对磁场参数的描述不够规范化之外,在机制研究上也非常缺乏。仅有少数对磁场作用的机制进行了分子水平的研究。例如,纤维素酶存在于果蔬中,交变磁场对纤维素酶的作用,将对食品保鲜具有一定的参考意义。Zhang Jialan等发现420mT的交变磁场处理会降低纤维素酶与底物的亲和力,从而抑制了纤维素酶的活性,而220mT的交变磁场处理能够促进纤维素酶的活性。然而不同磁场参数对纤维素酶活性影响不同的物理机制,目前并不清楚。

除此之外,磁场参数需要进一步优化。例如,从现有结果可以看出,脉冲磁场杀菌确实有显著的效果,但是所需要的磁场参数和处理时间根据样品的不同而有所差异,但是可以肯定的是,磁感应强度和脉冲数必须达到一定的值才会有良好的效果。

关于脉冲磁场杀菌的原理,有研究表明,可能是由于磁场造成的细胞电穿孔而产生的杀菌效果。2012年,马海乐等发现磁感应强度3.5T,脉冲数20的脉冲磁场对金黄色葡萄球菌有良好的杀菌效果,并利用Fura-2/AM荧光探针法和LCSM法研究发现微生物细胞膜通透性的改变和胞内Ca2+浓度的上升是高强度脉冲磁场具有杀菌作用的重要原因。

2016年,Qian Jingya等研究了3.0T和3.3T脉冲磁场对枯草芽孢杆菌的作用,发现磁场处理显著改变了细菌细胞的形态,破坏了细胞壁和细胞膜,导致细胞膜通透性增加,并且随着磁感应强度的增加和脉冲次数的增加,细胞质的渗漏量增加。除此之外还显示有DNA损伤,因此,脉冲磁场处理的枯草杆菌细胞膜损伤和DNA断裂可能与细胞死亡机制有关。

虽然目前脉冲磁场杀菌的技术还不成熟,但是相信随着研究的深入,脉冲磁场作为一种新型食品非热杀菌技术,未来在实际生产中有着良好的应用前景。

5 结论

总体而言,目前关于磁场与食品保鲜的研究还处在初期阶段,大部分研究仅限于磁场对食品的表观作用,其具体机制还不清楚。并且磁场对于食品保鲜的效果缺乏一致性,这主要是由于食品种类和磁场参数的多样性,因此如何确定一个合适的磁场参数来实现对食品的良好保鲜,还需要更多的研究。

虽然目前已出现少数交变磁场电磁冰箱类产品,然而支持其磁场保鲜效果的实验证据还不够系统全面,机制也不清楚。因此,在未来进行更多关于磁场保鲜的系统性研究十分有必要。也希望磁场能够成为一种成熟的食品保鲜技术早日应用到实际生产中,为人们的生活与健康带来更多的便利。

以上研究成果发表在2021年《电工技术学报》增刊1,论文标题为“磁场与食品保鲜研究进展”,作者为汪滢、史慧新 等。

相关问答

怎样写维修 电工 技师 论文 ?

论三相异步电动机维修及故障排除摘要:介绍三相异步电动机的结构特点及损坏情况,根据近几年在三相异步电动机检修中的经验,总结出三相异步电动机的检修方法及...

如何写出一篇电气工程的硕士 论文 ?

写出一篇电器工程方面的论文要从以下几个方面去着手:1、联系自己的导师确定研究方向。研究生论文是否能够发表很大程度上取决了导师的支持。要想取得导师的支持...

怎么写 电子技术 毕业论文 前言范文? - 需要正能量的Mo 的回答 ...

一篇学位论文的引言,大致包含如下几个部分:1、问题的提出;2、选题背景及意义;3、文献综述;4、研究方法;5、论文结构安排。问题的提出:讲清所研究...

电工 实习 论文 前言怎么写..._求职实习_帮考网

生产实习是教学与生产实际相结合的重要实践性教学环节。在生产实习过程中,学校也以培养学生观察问题、解决问题和向生产实际学习的能力和方法为目标...

西安 电子 科技大学研究生院 电子 工程方面有什么专业?

有关研究人员先后多次得到国家自然科学基金、陕西省自然科学基金、国防预研项目、国防和军事电子预研基金的资助,尤其在系统仿真、系统集成、系统优化设计、智...

咸阳师范学院物理与 电子 工程学院怎么样?设有哪些专业? 申请方

[回答]~接下来我为大家简单介绍一下我们咸阳师范学院的物理与电子工程学院开设的专业以及研究情况专业设置:物理学、电子信息科学与技术、电子信息工程、...

一些很专业的 论文 怎么查? - Rr6NUDR3u 的回答 - 懂得

朋友:给您几个好的网址,是有关论文的,很全!真心希望能够对你有所帮助!!自己找找吧!祝你好运!中文免费论文地址集锦一、综合类1、蓝之韵论文门类较全...

长春理工大学 电子 信息工程学院怎么样?设有哪些专业? 申请方

[回答]~接下来我为大家简单介绍一下我们长春理工大学的电子信息工程学院开设的专业以及研究情况专业设置:电子信息工程,电子信息科学技术,通信工程,自动化...

【暑假综合实践活动作业1.科技 论文 或小科技研究报告一篇(150...

[回答]赚钱,方法与乐趣虽然,我们初中生谈钱的问题似乎早了点,因为我们的目的是学习,大人们交给我们的任务就是学习,而且现实给我们的空间真的太小,所以相...

大学违规电器被记过处分有什么影响?

学业受影响。记过处分可能会影响奖学金评选、毕业论文答辩等。心理压力增大。学生可能会因记过而感到自卑、焦虑、失落等情绪。就业受阻。部分用人单位可能...

标签:

相关阅读