电子技术应用 issn 信息技术在国外全科医学实践中的应用:系统综述

小编头像

小编

管理员

发布于:2025年05月07日

197 阅读 · 0 评论

信息技术在国外全科医学实践中的应用:系统综述

引用本文: 周军杰, 余若暄, 史威力, 等. 信息技术在国外全科医学实践中的应用:系统综述 [J] . 中国全科医学, 2021, 24(25) : 3154-3160. DOI: 10.12114/j.issn.1007-9572.2021.00.269.

自2015年"互联网+"行动计划上升为国家战略以来,互联网、大数据等信息技术与医疗行业的融合在加速。2018年,《国务院办公厅关于促进"互联网+医疗健康"发展的意见》(国办发〔2018〕26号),明确鼓励医疗机构借助互联网等信息技术创新医疗服务模式、拓展医疗服务范围、优化医疗资源分布及提升医疗服务价值。尽管各地的"互联网+医疗健康"实践正在蓬勃发展,但从信息科技的角度探索全科医学信息技术应用的研究并不多,与当前我国信息科技高速发展、"互联网+医疗健康"发展的时代不相匹配[1,2]。针对上述情况,本文以2020年JCR SCI Primary Health Care子类影响因子排名前10位的期刊为文献来源,系统梳理2016—2020年与信息技术相关的研究,通过分析全科医学"近亲"与"远戚"交叉主题的分布,为全科医学与其他学科的合作提供启示,以推动全科科研的持续发展[3]。

1 资料与方法

1.1 资料来源

于2020-07-23,以2020年JCR SCI Primary Health Care子类影响因子排名前10位的期刊(Annuals of Family Medicine,British Journal of General Practice,Primary Care Respiratory Medicine,Canadian Family Physician,American Family Physician,Journal of the American Board of Family Medicine,European Journal of General Practice,Scandinavian Journal of Primary Health Care,Primary Care Diabetes,Family Practice)检索关键词"Information Technology、Information and Communication Technology、Internet、Web 2.0、Social Media、Online Health Community、Online Support Group"。检索期刊与关键词的设置逻辑包括3点:(1)前10位期刊覆盖了美国、加拿大、欧洲及澳大利亚等主要区域初级卫生保健领域最有影响的期刊[3];(2)在初级卫生保健专业期刊检索信息技术,从而确定信息技术与全科医学交叉的研究;(3)为了关注最新的研究主题,文章的时间范围限定为2016—2020年。

1.2 纳入与排除标准

基于"文章类型"与"信息技术的使用与影响"两个标准纳入和排除文献[4,5]:(1)为了分析研究热点,仅纳入类型为"Research"的文章;(2)为了更好地理解国外全科医学同行对待信息技术的态度等,纳入"Life & Times、Debate & Analysis、Editorial"等类型的文章;(3)排除包含"Internet、Social Media"等关键词但仅将其作为研究背景或问卷收集渠道的文章;(4)排除医学影像利用的研究,但纳入利用大数据图像识别技术分析医学影像的研究。

1.3 文献筛选流程

本文的文献选择流程主要分为3个阶段:首先,基于前文所述的7个关键词,由已接受系统检索培训的5名硕士研究生及本科生完成初步的文献检索及整理,此阶段共获取文献830篇;其次,第一作者、通信作者及第三作者通过讨论确定文献的纳入标准〔即前文的"纳入与排除标准"(1)和(2)〕,以第一作者、通信作者为主导进行初步阅读并校对纳入标准,其他作者进行二次交叉验证,剔除不符合要求的论文448篇,获得文献382篇;最后,第一作者、通信作者及第三作者通过讨论细化文章的剔除标准〔即前文的"纳入与排除标准"(3)和(4)〕,此阶段主要由第一、二、三及通信作者完成二次深度阅读并总结归纳,剔除符合排除标准的论文248篇,最终纳入系统综述分析的文献共134篇。在3个文献筛选阶段中,涉及全科医学领域的专业知识主要由第三作者与通信作者审核及指导,见图1。

图1 文献筛选流程图

Figure 1 An overview of the used process to identify the articles

第一作者精读纳入的134篇文献,归纳并提取文献的主题及主要观点。第二作者、第五至第八作者进行二次通读并独立提取信息,提取的文献信息包括:(1)纳入文献的基本信息,包括文章的题目、研究背景、研究问题;(2)研究对象、研究涉及的理论、研究模型、研究发现等。作者团队根据关键要素划分为5类主题框架(见下文结果部分),并将文章分门别类。为了提高分类的严谨性与准确度,作者团队分别进行阅读、记录、分类,在完成以上步骤的基础上再进行交叉比对。对于存疑的文章主题,由第一作者进行通读与分类。

2 结果

作者团队分工阅读纳入文献,采用以主题为中心的文献回顾方式进行归纳与总结[6]。全科医学信息技术应用的研究主题集中在以下几个方面。

2.1 信息技术在全科医学实践中的典型应用

研究显示,国外全科医学正在全面应用多种信息技术。除了医院信息系统(HIS)等医院层面的应用,典型应用还有以下几类。

2.1.1 统一的电子病历系统(Electronic Health Records,EHRs)

该类电子病历系统不是基于单个医院的,而是国家层面的统一系统,旨在更好地记录患者数据,从而让全科医生全面准确地了解患者既往病史,更好地给予诊疗建议[7,8,9]。

2.1.2 面向全科医生的各类辅助决策系统

如大面积癌症风险识别工具[10]、用药安全系统[11]、辅助诊断决策系统等[12,13],用于提高全科医学服务的质量。

2.1.3 基于信息技术的新型问诊方式

如采用电话问诊、邮件问诊及网络视频问诊等远程医疗方式替代线下问诊服务[14,15,16,17,18,19,20,21],采用电子干预方式等治疗患者的抑郁症状[22],采用社交网络APP定制处方,帮助患者寻求抗生素来对抗疾病[23],从而减少患者往返成本并提高沟通的便利性[24]。

2.1.4 全科医学团队内外部协作工具

如用于联结全科医生与专科医生协作的Champlain BASETM系统[25],用于全科医生团队内部沟通的实时反馈系统[26],这些工具旨在提高全科医生的服务效率和专业人员的工作满意度[27]。

2.1.5 院外患者数据采集辅助技术

如患者居家佩戴的移动数字监测与传输系统[28]、血压自动采集工具[29-30]、院外患者用药监测系统[31],用于检测、记录并传输患者的院外数据,从而提高全科医学数据决策链的完整性与连续性。

2.1.6 全科服务团队展示网站

网站展示和宣传全科医生、临床执业护士及实习护士,从而方便患者选择适合自己的全科医生团队[32-33]。

2.2 相关研究的主题分布

论文的关键词能够反映文章高度凝练后的内容,因此经过7个关键词的筛选与通读,提炼并细分出以下5个主题:新兴信息技术的有用性、全科医生及患者的信息技术接纳、基于信息技术的患者数据收集与深度利用、基于信息技术的健康宣教与全科医学教育、信息技术使用过程中的问题。

2.2.1 新兴信息技术的有用性

技术赋能的全科医学服务(technology-enabled care services in general practices)得到了越来越多国外同行的认可[34-35]。学者们认为信息技术应该成为支撑全科医学实践的基础,并探讨了新兴信息技术用于全科医学实践的有用性[36]。研究发现,移动短信、智能移动硬件及软件等可以方便地收集患者数据,丰富患者电子病历数据的积累,从而使得全科医生的决策证据链更加完整[28-29,31,37-40],能够更好地了解患者需求并改善护理质量[41-42]。移动健康(mHealth)的发展也对医疗保健产生了深远影响[43],如使用心理健康APP及在线心理自我管理,有助于促进个人对心理健康问题的关注[44-45],在线健康资源能够为抑郁症男性患者提供帮助,降低男性患者自杀的概率[46];邮件问诊、电话问诊、在线问诊及视频问诊等远程替代问诊方式有助于传递简单的信息、开展简单问诊,方便时间有限无法预约医生或行动不便的患者,提高了全科医生及患者的时间管理效率[15,17,22,47-53]。

拟问诊方式及互联网健康网站的使用,可以帮助患者获取关于特定疾病(如过敏性疾病、头晕等前庭康复训练)的针对性信息[54-55],可以解决轻微的、不涉及检验检查的症状,节省医院及医生的精力,使其能集中精力更好地解决疑难问题,从而缓解医疗资源紧张、减少转诊、减少工作量[33,56-60]。使用经验分享网站,可以帮助护理人员从其他同行处获得支持[61]。团队协作工具有助于全科医生从药师等同行或跨专业团队处得到跨团队的工作支持[25,62-63],在团队内部快速交流与反馈信息[26,64],加强与患者的沟通并向患者提供更好的整合服务[65-70]。使用集成护理、病历及提醒等功能的信息技术,通过与初级保健及社区团队合作,可以有效开展面向多病共存患者的慢性病管理[71]。通过在线提前护理计划项目,结合患者的价值观和偏好,可以在未来患者病重或病危期间,帮助患者做出医疗决策[72-73]。

2.2.2 全科医生及患者的信息技术接纳

全科医生及患者等对待新技术的态度是国外学者关注的热点问题。除了信息技术的有用性外,一些研究从技术可及性、个体特征及环境因素等方面分析了可能的影响因素。(1)技术可及性:健康信息技术的实施和使用促进了初级保健实践的转变[74],使得全科医生的决策更有效率[75]。研究发现当全科医生在工作中有机会接触到癌症筛查决策工具时,其向专科医生推荐患者开展筛查的数量要高于无法接触该项技术的医生;考虑到癌症确诊后的高昂检查及治疗费用,筛查及提前预警的成本较低,且能够明显降低癌症死亡率[76],故有必要向全科医生大范围推广筛查决策工具[10]。但如果过于追求技术先进性,没有考虑到医生或患者的使用体验[15],或者因为技术无法传递更丰富的信息而不得不依赖于二次跟进检查时,降低其使用体验,从而限制其实际接纳与使用行为[16]。(2)个体因素与环境因素:研究显示,在线分诊系统(online triage platform)的使用者以女性及年轻人居多[49],如使用专业APP可以保护患者隐私,促进产后妇女坚持盆底肌肉训练和预防尿失禁[77],改善尿失禁女性患者的生活质量,受到了女性患者的欢迎[78]。各类替代性问诊工具,如电话问诊、视频问诊等适合解决简单的问题,而当需要进行二次检查的时候,可能会增加全科医生的工作负担而遭到抵制[16,48]。全科医生对新技术的抵制态度似乎普遍存在,即如果不是政府强制接纳的新技术,全科医生似乎并不愿意使用替代性的问诊方式[14]。

2.2.3 基于信息技术的患者数据收集与深度利用

(1)基于患者电子病历数据的干预有效性检验。全面完整的患者数据是全科医学贯彻"以人为本"理念的基础。全科医学电子病历系统的实施方便了患者的数据积累,为评价基于患者数据的深度利用提供了基础[79-80]。如由于患者数据及案例的积累,可以设置干预组与对照组,检验全科医学实践中癌症预警干预措施的有效性[7],评估脉搏检查对心房颤动早期识别的有效性[81],分析患者使用门户健康管理网站对高血压疾病管理的有效性[82],评价在线认知行为疗法对患者焦虑症状的改善[83-84],基于互联网的认知行为疗法对抑郁症的有效性[85-86],探索能否更早识别酒精使用障碍[87];识别不同类型初级保健团队对心血管疾病护理的差异[88],以及助理人员配备模式的有效性[89],还可改善外科抗生素预防依从性、降低再住院率[90],分析急诊入院等不同入院方式对治理效果的影响[91],评估心血管疾病患者花费的有效性[8],评价食品不安全筛查与转诊系统相结合对临床护理的价值[92]。(2)基于患者电子病历数据的新工具开发。基于患者电子病历数据,通过构造随机试验,优化和改进计算机辅助决策工具。如评估计算机辅助应用的效果及如何优化其功能,识别哪些患者需要临终关怀[93],将传统方式与辅助技术结合帮助糖尿病患者开展健康管理[94-96],改进现有的自我管理程序、网站及决策工具包,改善哮喘等慢性肺疾病的日常管理,以降低其发作风险和医疗资源的使用[97-100];为家庭医生及安全网诊所研发及配备各类工具包,减少社区的健康差距[101],促进护理的连续性及医疗资源的有效配备[102]。(3)算法开发与电子病历数据完整性的提高。数据的利用及深度开发,以数据的完整性及算法的可用性为基础[103]。国外学者对此也进行了一定的探讨。如,如何开发和利用新算法来分析患者数据,从而采取措施降低患者的发病率与死亡率[104-105];从初级保健数据中提取有意义的信息为临床医生的决策提供支持[106];利用电子病历事件日志管理患者数据,有效减轻初级保健医生的工作量,提高其专业满意度、降低其职业倦怠感[107];利用短信、移动终端设备及软件等,收集患者医院外的可能数据(如健康指标自我检测、血压数据、用药数据等),提高全科医生决策证据链的完整性[28-29,31];开发、应用新的分类法,为全科医学或家庭医学的专业背景管理提供更好的分类[108]。尽管整合多源数据可以发现更多可能的价值,但多源数据面临着编码不统一等问题,是实践面临的难点[9,28]。

2.2.4 基于信息技术的健康宣教与全科医学教育

(1)利用信息技术开展院内院外的健康宣教。面向患者的健康宣教是全科医学服务的重要内容之一。与传统方式相比,电子健康宣教的覆盖面更广且不受地理位置限制,特定的时间可以提供高质量、定制化的健康信息[109]。可以在候诊室提供网络接入服务,利用社交媒体向患者提供健康信息、健康视频服务及同辈支持等,提高患者的自我健康管理能力及健康素养[34,94,110-111]。(2)利用信息技术开展初级保健及全科医学教育。信息技术的支持使得全科医学服务网络成为可能,在服务患者的同时也有助于全科医学专业教育的发展。如在跨学科、跨团队的协作过程中,利用信息技术可视化展示协作进度及工作信息,全科服务团队可以实时观察其他学科及团队的工作方式、服务效果,与对方讨论,并将上述信息在自己团队内反馈,从而开展观察式全科教学[65]。与协作团队建立封闭的在线临床案例数据库及讨论区[65],或者利用开放论坛、社交媒体的群组功能等与非团队成员建立开放式的讨论区[112-117],能够加强沟通[118],进行专业主题的讨论及学习,改善初级保健卫生人员的认知及其对患者的态度[119],开展新型的全科医学教育。不过,基于主流新闻报道的分析显示,英国全科医生的职业形象偏负面、职业吸引力也在下降[120]。需要采取有效的措施,改变全科医生在公众、专科医生及医学生等群体心目中的形象,如在降低全科医生临床工作负荷的同时,增加其教学及研究工作,降低其职业倦怠感,提高其工作满意度;重新组织与设计全科医学服务的内容,增加社区药师、执业护士、助理医师等传统全科医学服务的内容及技能;采用移动APP等传递全科医学服务,提升公众对全科医学服务的价值获得感;利用媒体宣传全科医学服务的内容及重要性,向公众传递正确的全科医学服务理念[120]。

2.2.5 信息技术使用过程中的问题

信息技术的接纳与使用,可能也会导致很多负面影响。(1)伦理问题。首先,很多信息技术面向的是大众而非医疗这一特殊行业,技术本身及其对患者的潜在影响并没有得到充分评估,未必符合伦理或临床实践[121-122]。较高比例的美国成年人将互联网作为获取医疗信息的第一来源,但其未必能区分健康信息的可靠性与权威性,可能会做出不正确的决定[123]。因此,需要促进医疗保健社区与搜索引擎公司之间的合作,确保产品能够满足用户的健康需求[124]。其次,使用短信等方式进行患者信息传递时存在隐私泄露的风险[47,125],尤其是当医院、医生及企业联合使用患者数据时,上述风险发生的可能性会更高[126-128]。(2)社会公平问题。由于数字鸿沟的存在,当利用信息技术开展数字化基本医疗服务时(如在线预约、网络问诊),可能会将一些弱势群体排除在外,加剧医疗服务及社会的不公平[129]。由于患者群体的差异,其利用远程监护等技术的能力也不尽相同,部分甚至面临着技术焦虑等问题[29];而持续使用社交媒体可能会导致或加重患者的抑郁症[130]。此外,老年人可能会在社交媒体遇到大量的负面信息,影响老年人将此类平台作为获得社会支持的一种手段[131]。为了保证患者的权益,需要面向患者开展针对性的技术培训[132]。制药企业的广播广告支出持续增多,大量直接面向消费者的广告播放可能会影响患者向医生询问药物的频率,从而导致患者的盲目消费[133]。(3)技术标准问题。在线健康社区或社交媒体的健康知识通过众包的形式产生,其质量受到质疑[134]。一方面,互联网医疗创新的泛滥使得很多医疗健康服务产品缺少医生等群体的参与,大大影响其服务的专业性及质量[135];另一方面,即便是医务人员参与了,由于缺少制度及约束性,讨论内容的质量也可能存在问题[112]。很多患者仅将互联网作为一种可信度较低的信息来源,会再次咨询医生来消除自己的疑虑和不安全感[136]。此外,不同产品在展示全科医学团队的信息时,也存在着展示内容多寡的不一致、同一内容格式的不统一,大大提高了患者选择全科医生团队及使用全科医学服务的"门槛"[32-33]。互联网医疗创新服务亟须建立统一的质量及标准控制体系。

3 讨论与建议

基于上述文献梳理与分析,本文提出以下建议,以期能更好地促进国内全科医学实践及研究的发展。

3.1 以评促建,逐步建立区域统一的患者电子病历数据库

国外全科医生的"守门人"角色较为完善,服务于全科医生的统一电子病历数据库在英国等国家常见。这类统一的数据库保证了为患者数据积累的连续性及完整性,可以辅助全科医生开展更好的诊疗。国外有学者甚至倡议,将儿童等弱势群体受虐待的民政数据与电子病历数据库打通,以期为全科医生团队提供更加完整的数据决策证据[9]。我国不同地区之间的数据未打通,同一地区的医院、卫生健康委系统及人力资源和社会保障部数据之间未打通,同一医院内部不同部门的数据未打通,甚至同一家医院为患者多次开通账号,使得患者数据呈极度碎片化的分布,"数据孤岛""数据烟囱"等现象严重[137]。虽然我国已经提出相关改进政策,但由于政策导向与财政支持的力度不够,全科医学的建设任重道远。为了推动我国全科医学服务的发展,建议各家医院积极对标卫生健康委员会《关于进一步推进以电子病历为核心的医疗机构信息化建设工作的通知》(国卫办医发〔2018〕20号)及《关于印发电子病历系统应用水平分级评价管理办法(试行)及评价标准(试行)的通知》(国卫办医函〔2018〕1079号)政策及文件,认真对照电子病历系统应用水平的9级划分标准及年度评级工作,积极提高信息化建设的质量。以卫生健康委员会电子病历系统应用水平评级为抓手,以评促建,为建设全国统一的电子病历数据库做好准备。

3.2 强化实践,鼓励全科医生在全科医学实践中积极采用新技术

全科医生应该坚持全科医学服务"以人为本"的理念,积极利用国家发展全科医学及电子病历系统的契机,利用5G技术推动和完善远程医疗等虚拟医疗服务,加强三级甲等医院对基层医院及社区的业务帮扶与指导,打造新型的业务医联体,在提高基层全科医学服务的同时,将普通病症患者留在本地,从而推动国家三级诊疗体系的完善。在医院临床工作实践中,接受和使用新的辅助决策工具,提高自身的诊断效率与服务质量。利用医院内部系统或微信等商业软件,加强全科医学服务团队内部的合作及与专科医生的协作,向患者提供更好的整合服务。利用医院内部系统或微信等商业软件,加强全科医学服务团队与患者及家属的沟通、院外的健康宣教,从而营造积极的医患关系,以便更好地收集患者的院外数据。利用慕课等在线学习平台,加强全科医学住院医师规范化培训学生的持续学习及培养。借助可能的信息技术,完善与拓展全科医学服务的内容与范围,从而提高全科医学服务的质量与效率,提高患者的价值获得感与满意度。在利用信息技术支持全科医学实践的过程中,需要确保技术的便利性与友好性,方便医务人员及患者的使用;还需要确保患者的隐私与数据安全等,各项活动应该遵循医学伦理要求。

3.3 加强协作,鼓励全科医生与信息管理等领域的学者开展交叉研究

目前,全科医学信息技术利用相关的研究领域还是"蓝海"。全科医生服务团队作为健康服务的一线实践者,可以便利地开展质性访谈及可能的干预对照研究,掌握一手数据。但由于学科差异,全科医生服务团队还存在一些不足:如不熟悉组织及个体信息技术使用行为等方面的研究,基于多案例的现象归纳总结及模式提炼等抽象能力相对不足。考虑到信息管理与信息系统的学科优势及其对医疗健康的持续关注[4,5,138],建议全科医学积极和信息管理与信息系统、公共卫生、社会学及老年医学等学科领域的学者合作,开展跨学科研究。可以选择的研究主题非常多,如信息技术赋能的全科医学服务生态系统建设,全科医学与家庭医生、基层社区公共卫生服务等融合与创新,不同层面全科医学服务(如全科远程医疗服务、医院内部全科临床服务及院外虚拟全科服务等)的效果评价与服务优化,全科医学服务团队及患者的信息技术接纳及持续使用行为(如医生与住院医师规范化培训生的线上教育、患者与家属的健康宣教等),机器学习等大数据算法在慢性病管理方面的应用(如算法与模型构建、数据挖掘与服务创新、多病共存与地方病等特定病症的预测与管理)[139-140]。

综上所述,随着互联网等信息技术的普及与全科医学行业的快速发展,将信息技术运用在全科医学领域的研究愈发凸显出其重要性及迫切性。在国家加强政策导向与政府加强财政支持的基础上,全科医学基地建设进一步发展,建立健全医院的全科门诊,将信息技术运用在全科门诊就诊的流程中,从而能够让居民切实体会到全科医学的优势,体现全科医学的创新与特色。本研究为全科医学实践与研究发展提供了建议与方向,为信息技术与全科医学的融合提供了途径与见解,具有一定程度上的实践与应用意义。然而,全科医学与信息技术的融合建设与发展仍需投入更多的时间去探索和创新。全科医学作为社区居民的服务者与健康守护者,可以通过加强扶持力度、强化实践教育体系的改革、推动各领域学者之间的学科协作等多个方式迈出坚定且踏实的一大步。

(文献27~140见https://gp519.com/magazine/Inforlist/inforDetails?id=1324&column_Type=66)

利益冲突

本文无利益冲突。

参考文献 略

宇航用原子磁力仪研究与应用进展

来源:微信公众号“前瞻科技杂志”

作者:王学锋(研究员,现任北京航天控制仪器研究所副所长,中国航天科技集团有限公司量子工程研究中心主任,国务院政府特殊津贴专家等)

文章摘要:

磁场的测量对科学研究和人类生活具有重要作用,如地磁变化与地震关系、心脑磁场分布变化与心脑健康关系等。原子磁力仪是一类高精度的磁力仪,已经发展了多个原理的传感器,性能不断提升。文章主要论述了原子磁力仪的研究进展、应用现状、存在的问题和宇航用原子磁力仪发展建议,认为应进一步提高精度和灵敏度、加强轻小型化、标定测试方法和张量测量等研究,以促进中国磁场测量科学进步和应用对社会的贡献。

地球磁场是地球生命千万年所处的环境。1600年,英国的William Gilbert在《磁论》中第一次对指南针能指南的原因作出合理解释,并提出地球磁场的概念。

磁场是对人类健康、安全和工作能力具有严重影响的环境因素。地球磁层和大气层屏蔽了来自宇宙的高能粒子辐射,但是在空间,屏蔽减弱甚至失去屏蔽时,人和其他生物不可避免地遭受空间辐射。

近年来,地震等自然灾害造成的人员伤亡和重大财产损失已对中国经济社会发展形成严重影响,成为制约中国发展的主要隐患和不稳定因素。

地震临震时的地磁场变化对地震预报具有重要作用,其中磁场变化大于电场。因此,通过地面和空间相结合的地磁场异常测量对地震临震预报具有重要作用。

地磁爆时地球高层大气被加热上升,使得近地轨道大气密度显著增加,近地轨道航天器轨道衰减增大;同时空间中电子和离子的数量及能量增加,引起航天器表面和内部的充电效应,危害航天器安全。

地质调查和资源勘察方面,航空和地面磁测量是广泛使用的方法。利用磁场异常可以勘探矿产资源,尤其是深部矿产资源。

石油勘探需要测定基底深度,需要根据反映基底位置的微弱磁场异常信号来确定,因此对磁力仪的灵敏度要求很高。另外,磁场勘察也是探测古遗迹空间分布的一个主要方法。

在生物医学领域,利用高灵敏度的原子磁力仪测量心磁和脑磁分布对于心脏和脑部病变的定位诊断具有重要的作用。

在军事应用方面,磁场测量可以与惯性技术结合用于地磁匹配组合导航,机载磁场异常测量可以用于确定水下目标如潜艇、水下沉船、失事飞机等的精确位置,对于国防具有重要意义。

总之,磁场的精确测量在地壳活动引起的自然灾害预警、矿产资源勘探、心脑健康、太阳活动与电离层的相互作用对卫星的干扰研究以及现代国防信息化建设等方面具有十分重要的意义。

原子磁力仪研究进展

1832年,德国科学家Carl Friedrich Gauss提出首个磁场测量方案,通过磁针在磁场下的受力摆动状态来测量磁场大小,并完成对磁场的定量测量。之后随着需求和技术发展,形成了多种磁场测量方法。

根据测量原理分类,磁力仪可以分为两大类,一类是基于经典物理效应的磁力仪如磁通门磁力仪、感应线圈式磁力仪、霍尔元件、磁阻传感器等;另一类是基于量子物理效应的磁力仪,如各种原子磁力仪、超导量子干涉磁力仪等。

按照是否可以测量磁场矢量分类,磁力仪可以分为矢量磁力仪和标量磁力仪。

质子磁力仪

质子磁力仪是利用某些原子的原子核(如氢原子、氦3原子)作为磁敏介质进行磁场测量的一类磁力仪,包括传统的质子磁力仪和欧弗豪泽(Overhauser)磁力仪。

质子磁力仪距今已有近70年的研究历史,是最成熟的原子磁力仪,具有准确度高、稳定性好的优点。

1955年,美国研制了世界上第一台质子磁力仪。传统的质子磁力仪中,处于极化状态的氢原子处在待测磁场内,原子磁矩绕待测磁场做拉莫尔进动,进动频率与待测磁场成正比,表示为

式中,γΡ为质子的旋磁比,Β为待测磁场。

通过一个接收线圈将原子磁矩绕磁场的进动频率测量出来,即可得到待测磁场。

为了提高信噪比,极化磁场需要比地磁场大很多,因而传统质子磁力仪的功耗比较大。

由于需要极化一次测量一次,因此,传统质子磁力仪不能够连续测量。

欧弗豪泽磁力仪与传统质子磁力仪不同,它利用电子与质子的相互作用,把极化电子的磁矩传递给质子,完成对质子磁矩的极化,极化效果提高很多。

这种方法有效降低了极化场的功耗,并且实现极化和测量的同时进行,解决了传统质子磁力仪不能连续测量的问题,测量频率能达到数赫兹。

质子磁力仪和欧弗豪泽磁力仪已是成熟产品,绝对精度可达0.1 nT。

超导量子干涉磁力仪

超导量子干涉磁力仪是一种基于迈斯纳效应、磁通量子化现象和约瑟夫森效应的量子磁力仪,通过外界磁通量变化引起环路电压变化来测量外磁场。

当外界磁通量发生变化时,包括约瑟夫森隧道结的超导闭合环路在合适的电流偏置条件下,约瑟夫森隧道结两端的电压是超导闭合环路中外磁通量变化的周期性函数,周期为单个磁通量子。

根据隧道结两端电压获得外界磁通量变化,进一步得到外界磁场变化。

超导量子干涉磁力仪是目前可用的最灵敏磁场测量仪器,其磁场灵敏度可达1 fT/Hz1/2。

它的不足是需要通过氦气制冷工作在超导状态,因其体积大、功耗大,很难在空间较小的平台上应用。

光泵原子磁力仪

光泵原子磁力仪是以氦、铯、钾等元素的原子在外磁场中产生的塞曼分裂为基础,利用光泵和磁共振技术工作的一种原子磁力仪。

以氦光泵为例,外磁场作用下,亚稳态能级分裂为塞曼子能级,当圆偏振光将粒子数由亚稳态激发到激发态,激发态的原子只能跃迁回亚稳态23S1的mF=1的塞曼子能级上,形成最大极化,此时氦原子不再吸收泵浦光,泵浦光的透过率最高。

通过引入与亚稳态塞曼子能级差能量匹配的射频信号,产生磁共振作用,极化原子在亚稳态重新成为非极化状态,氦原子重新开始吸收泵浦光,且吸收最强。

吸收变化最大时刻对应的射频场频率,即为外磁场引起的塞曼子能级频移。

由于磁场和泵浦光方向垂直时光泵作用消失,光泵原子磁力仪存在盲区,不能全向测量。

另外,光泵原子磁力仪不能测量弱磁场,已有产品的绝对精度比质子磁力仪低一个数量级。

激光氦光泵磁力仪已实现了很高的灵敏度,美国P-2000型氦光泵磁力仪的灵敏度达到了0.1 pT/Hz1/2。

中国国土资源部航空物探遥感中心研制的HC-2000型航空氦光泵原子磁力仪灵敏度达到0.3 pT/Hz1/2。

北京大学研制的光泵原子磁力仪灵敏度也达到0.1 pT/Hz1/2。

中国船舶重工集团公司第715所研制的光泵原子磁力仪用于地磁台站和海洋磁测量,并将盲区减小了30°。

另外,吉林大学、浙江大学、哈尔滨工程大学和中国计量科学研究院等也都开展了光泵原子磁力仪的研究工作。

相干布居囚禁(Coherent Population Trapping,CPT)原子磁力仪

CPT原子磁力仪是基于相干布居囚禁效应和原子精细结构能级在磁场中的塞曼分裂现象的磁力仪。

原子的精细结构能级在外磁场作用下的塞曼分裂大小正比于外磁场。

以铷原子(87Rb)作工作介质为例,未加外磁场情况下,两个相干场在87Rb原子的D1线两个基态与激发态之间形成一个∧模型系统。

CPT原子磁力仪∧模型原理图

两个跃迁通道之间干涉引起的透射光谱中会出现一个共振信号,共振信号的频率间距与磁场强度成正比。

只需测得频率间距变化量,即可计算出磁场强度,表示为

式中,Β为待测外磁场的磁场强度,Δω为能级分裂后子能级(mF=0和mF=1)能量差对应的频率差,γ为原子的旋磁比。

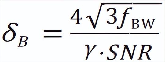
CPT原子磁力仪的噪声表示为

式中,fBW为带宽,正比于弛豫时间的倒数;γ为原子的旋磁比;SNR为信号的信噪比。

可知,降低噪声或提高灵敏度需要增加原子的弛豫时间、提高信号的信噪比。

信噪比受到磁共振信号线宽和参与磁共振原子数的影响,因此需要选取合适的光源参数以减小磁共振信号线宽,通过给气室加热以提高参与磁共振的原子数。

另外,通过差分探测可抑制光路其他噪声。

为了增加原子的弛豫时间,需要在气室内加入缓冲气体减小原子之间以及原子和内壁的碰撞几率。

引入缓冲气体后,原子的频移表示为

式中,p为缓冲气体压强,β为参考温度点的压强系数,δ为压强随温度变化的一阶系数,k为压强随温度变化的二阶系数,ΔΤ为温度变化。

通常需要充入一定比例的两种气体,使两者的频移相反,从而将气体压强随温度变化引入的总频移控制为0。

1992年德国马克斯普朗克研究所提出CPT磁力仪方案,并理论预测其灵敏度可达到0.1 fT/Hz1/2。

此后,多个国家开展了CPT磁力仪研究。2004年美国研究了芯片级CPT原子磁力仪。

2011年美国Cox等利用电磁感应透明现象开展了矢量测磁研究。

2010年奥地利科学院空间研究所研制了耦合暗态磁力仪(Coupled Dark State Magnetometer,CDSM),实现了闭环控制,该技术2018年用于“张衡一号”01星。

北京航天控制仪器研究所研制了用于“张衡一号”02星的CPT原子磁力仪,2020年进一步研究了弱磁场下的测量性能和影响因素。

无自旋交换弛豫(Spin-Exchange Relaxation-Free, SERF)原子磁力仪

SERF原子磁力仪是基于原子自旋SERF态效应,利用光探测磁共振方法实现弱磁场精密测量的磁力仪。

SERF原子磁力仪具有超高灵敏度、小体积和低功耗等优点。

原子工作在SERF态时,原子的外磁场必须是极弱磁场,因此测量较大磁场时,必须利用线圈外加磁场来抵消环境磁场,使原子气室处于极弱磁场环境,根据3个正交线圈的反馈信号获得外界磁场矢量。

SERF原子磁力仪性能主要受到原子气室性能和碱金属原子SERF态控制方法的影响。

SERF原子磁力仪灵敏度极限受到散粒噪声的限制,表示为

式中,γ为碱金属原子旋磁比,n为原子密度,t为原子气室的碱金属原子自旋弛豫时间,V为原子气室体积,T为测量时间,t表示为

式中,Rex为碱金属原子间的自旋交换弛豫,Rsd为碱金属和缓冲气体原子之间的碰撞弛豫,Rgrd为磁场梯度引起的自旋弛豫,Rwall为碱金属原子与气室内壁碰撞导致的自旋弛豫。

2010年美国普林斯顿大学研发的SERF原子磁力仪,其钾原子气室的温度加热到200℃,实现了0.16 fT/Hz1/2的测量灵敏度,超过超导量子干涉磁力仪。

对于体积为7 cm3、工作温度为190℃的钾原子气室,SERF原子磁力仪的理论灵敏度可达到2×10-18 T/Hz1/2 。

美国已开发出测量范围5 nT,灵敏度15 fT/Hz1/2的产品。

国内仍处于技术研究阶段,其中北京航空航天大学的SERF原子磁力仪装置灵敏度达到8.89 fT/Hz1/2。

2019年北京航天控制仪器研究所研制的SERF原子磁力仪样机灵敏度达到50 fT/Hz1/2,探头体积55 cm3。

华中科技大学、吉林大学等也开展了SERF原子磁力仪的研究。

金刚石氮空位色心原子磁力仪

金刚石氮空位色心原子磁力仪的基本原理是将氮空位色心基态电子自旋制备到两个本征态的等幅叠加态上,待测磁场导致两个本征态相位的差异,再转化为粒子数分布读取出来,即可获得待测磁场。

这种磁力仪具有较高的灵敏度,基于单个色心测量磁场灵敏度可达nT量级,而基于色心系综的磁场测量灵敏度可达到0.1 pT量级,其突出优点是磁场测量空间分辨率可达到亚纳米。

原子磁力仪应用现状

原子磁力仪在空间测量地球和行星磁场的应用

空间磁场探测一直是空间科学探测的主要领域之一。

从1958年开始,国外陆续开展了地球和其他行星的空间磁场探测。

1 地球磁场探测

相对于传统的基站磁测、地表移动磁测和航空磁测,卫星磁测具有数据连贯性好、测量范围广等优点。

通过卫星磁测,在很短的时间内,就可以获得整个地球磁场的资料。

国内外相继发射了多颗电磁探测卫星,获取了地球中低轨道的地磁数据,建立了地球磁场模型。

1958年苏联发射了世界上第一颗测量地磁场的卫星(“人造地球卫星”3号),获得了地磁总强度。

1979年10月美国成功发射一颗地磁卫星MAGSAT。

载荷包括磁通门矢量磁力仪和铯光泵标量磁力仪,每秒分别采样16次和8次。磁场分量的测量精度为6 nT,总磁场的测量精度为2 nT 。

1999年2月丹麦发射了奥斯特(Osrted)卫星,主要科学载荷为一台欧弗豪泽磁力仪和一台磁通门磁力仪,欧弗豪泽磁力仪的精度优于0.5 nT。

Osrted卫星的科学研究结果证实了地球磁极的漂移。

2000年7月德国发射了挑战性小卫星有效载荷(CHAMP)卫星,可估算地球及地壳磁场及其随时间、空间的变化。载荷中质子磁力仪测量范围16000~64000 nT,分辨率0.1 nT,绝对精度0.5 nT,采样速率1 Hz。

根据CHAMP卫星测量结果绘制的400 km高度地磁异常图(标量)

2013年欧洲航天局完成空间气象先进研究任务(SWARM)卫星群3颗卫星发射。

星载磁场测量设备中标量磁力仪(包括氦光泵原子磁力仪和质子磁力仪)精度为0.3 nT,分辨率0.1 nT。

2018年2月中国发射了“张衡一号”电磁监测试验卫星01星,在国内首次实现在轨精确磁场探测,第一次获取了十分宝贵的全球地磁场数据。

“张衡一号”01星标量原子磁力仪由奥地利空间技术研究院提供,采用耦合暗态方案,噪声优于30 pT/Hz1/2,采样率为30 Hz。“张衡一号”卫星数据已用于地震预报研究。

用于“张衡一号”01星的CDSM

2 其他行星磁场探测

1972年3月美国发射了“先驱者10号”行星探测器,并于1973年首次探测了木星,发现了木星磁层伸展出的巨大磁尾,探测磁场的有效载荷是氦光泵磁力仪,磁力仪的测量范围达到±140000 nT。

由上述可知,星载高精度磁强计系统一般由矢量磁通门磁力仪和高精度标量原子磁力仪组成。

矢量磁通门磁力仪可以实现磁场三分量的测量,但由于零位、正交度存在长期漂移等问题,需要标量磁力仪对其进行校准。

标量原子磁力仪具有长期绝对精度高、灵敏度高等特点,但只能实现地磁场的标量测量,无法实现磁场三分量测量。两者共同使用,通过数据融合可以完成地磁场或行星磁场高精度测绘任务。

主要空间磁场测量任务所用原子磁力仪情况

卫星搭载的标量原子磁力仪直接决定了磁场的总场测量精度,用于标定矢量磁力仪的总场测量结果。

超导量子干涉磁力仪绝对精度高,但是体积较大,功耗较高,适合地面应用。

光泵原子磁力仪存在盲区,为实现全球观测,在轨应用时一般需采用多探头组合方式消除测量盲区。

CPT原子磁力仪具有体积小、准确度高、尤其是长期工作的准确度高、无方向盲区和采样率高等特点,在空间磁测量领域具有更大的优势。

SERF原子磁力仪是目前灵敏度最高的矢量磁力仪,在几个nT磁场下灵敏度可达fT量级,而在地磁场强度下应用精度还有待解决。

原子磁力仪在水下/地下目标探测方面的应用

水下和地下目标的探测一直是一个研究热点。

水下和地下目标有明显磁性时,会在水面和地面以上产生磁异常信号,因此通过高性能磁力仪对水下潜艇、地下未爆弹的定位也正成为磁探测的一个研究和应用方向。

较早用于探测潜艇的是氦光泵原子磁力仪,低频至216 Hz范围内的灵敏度为3 pT/Hz1/2,能够对处于一定速度下的典型目标产生的极低频(1~5 mHz)信号进行稳定探测。

美国Polatomic公司还开发了更先进的AN/ASQ-233A激光氦光泵磁探仪,其灵敏度优于0.3 pT/Hz1/2,探测距离达千米级。

AN/ASQ-233A 激光氦光泵磁探仪

加拿大CAE公司的铯自激式自定向光泵磁探仪AN/ASQ-504及其改进型AN/ASQ-508磁探仪灵敏度都在pT级水平,后者探测距离可达1200 m。

MAD-XR型产品尺寸、重量和功耗都显著减小,能够扩展到更小的平台,如无人机系统、直升机和小型固定翼飞机,用于陆地未爆弹探测。

原子磁力仪的其他应用

原子磁力仪用于地磁台站的高精度测量,通常要求标量地磁观测仪器技术指标达到分辨率0.1 nT,采样率0.033 Hz,精度1 nT。

目前国内多采用质子磁力仪和光泵磁力仪,未来CPT原子磁力仪有望可以得到应用。

原子磁力仪在航空物探中也发挥着重要作用,尤其是在寻找矿产中具有重要作用。

在心脑磁测量方面,原子磁力仪的高灵敏度可用于脑梗塞、脑溢血、精神障碍、心肌缺血、冠心病和心律失常等疾病的检测。

SERF原子磁力仪在这一领域得到越来越多的研究,金刚石氮空位色心原子磁力仪则可进一步提高空间分辨率。

存在的问题

国内原子磁力仪研究比国外整体起步较晚,国外质子磁力仪和光泵磁力仪已是很成熟的产品,国内也有产品但是成熟度略低。

国内CPT原子磁力仪和SERF原子磁力仪起步也晚,现在正在迎头赶上。

总体来说,中国在原子磁力仪研制方面还存在以下问题。

环境条件下的误差机理和抑制方法研究不足

原子磁力仪具有潜在精度高的优点,若在工程应用上获得高精度,还需解决不同应用场合时多约束条件下的综合性能问题。

环境条件下,温度(空间应用时为热真空)、力学等引入误差的机理还不透彻,抑制方法研究不深入。

例如,CPT原子磁力仪的理论灵敏度可达到优于1 fT/Hz1/2,而实际应用中还有几个数量级差距,对于不同泵浦方式、泵浦和探测光参数、外界磁场梯度等的影响,不同探测和解调方式对使用性能的影响研究还不够透彻;在力学条件下,CPT原子磁力仪必须解决光路功率急剧变化以及磁场急剧变化引起的失锁问题;光泵原子磁力仪和CPT原子磁力仪转向差的来源和抑制方法有待研究;SERF原子磁力仪中在小型化约束条件下对SERF态的控制还达不到高灵敏度的测量要求,在较大磁场,如地磁环境下如何实现三轴磁场分量的大范围高精度高灵敏度测量,即在大范围和环境条件下实现SERF态的精准控制,还需要深入研究。

原子气室性能还不能满足要求

光泵、CPT和SERF等原子磁力仪通过磁场、光子与原子精细能级的相互作用来敏感磁场,碱金属原子工作在蒸汽状态,装载碱金属原子的原子气室是原子磁力仪的核心敏感器件。

碱金属原子自旋弛豫时间影响灵敏度和测量噪声,而影响碱金属原子自旋弛豫时间的因素包括原子气室尺寸及玻璃材料、内壁处理和镀膜、充入碱金属的数量、缓冲气体及其比例、高压强的实现等,这些设计和制造工艺还不能满足高精度的需要。

对于SERF原子磁力仪,碱金属原子SERF态的保持受气室性能影响很大,仍需深入研究。

标定测试方法和精度还需研究提高

质子磁力仪是根据拉莫尔频率测量来获得绝对精度的,由于频率测量方法的精度很高,因此其绝对精度的标定相对容易。

CPT原子磁力仪的绝对精度目前已达到0.2 nT,绝对精度测量方法是和欧弗豪泽质子磁力仪进行比对,由于质子磁力仪本身的误差(0.1 nT)是测量误差的很大一部分,因而这种测量方法本身误差较大。

通常标准仪器的精度应该比待标定仪器的精度高出5倍,因此现有的方法不能满足要求。

随着一些应用对原子磁力仪精度要求的进一步提高,必须研究更高精度的测试方法,获得更准确的原子磁力仪绝对精度。

轻小型化与应用要求有明显差距

多数应用对磁力仪的轻小型化提出了较高要求。

例如空间应用,卫星需要伸出一个伸杆以安装磁力仪,降低卫星主体部分剩磁对磁力仪性能的影响。

因为卫星内部大部分设备都不可避免地会有剩磁,同时部分大电流工作的部件如磁力矩器则影响更大。

伸杆越长,卫星主体部分对磁力仪的影响就越小,磁力仪探头部分需要轻小型化,尤其是对于卫星本身不断小型化的趋势。

其他搭载平台,如旋翼无人机、无人艇等由于自身质量和质心控制的需要,通常要求磁力仪探头轻小型化。

用于地磁匹配导航时,整个导航组件的大小限制意味着磁力仪整体必须轻小型化。

心脑磁测量的高空间分辨率则对磁力仪小型化的要求则更高。

宇航用原子磁力仪发展建议

进一步提高精度和灵敏度

原子磁力仪性能提高,一方面需要提高精度,另一方面需要提高灵敏度。

宇航应用要求原子磁力仪具有高精度,例如地磁场的空间测量需要原子磁力仪具有高的准确度,以便获得更高精度的磁场分布。

CPT原子磁力仪的精度包括准确度、转向差和非线性,综合精度在0.3~0.5 nT;灵敏度方面,现有产品在10~20 pT/Hz1/2。

为实现对远距离目标的高精度和高灵敏度探测,需要通过减小电磁感应透明(Electromagnetically Induced Transparency,EIT)线宽、延长原子气室弛豫时间、提升信噪比等措施进一步提高CPT原子磁力仪的精度和灵敏度。

小范围高灵敏度SERF原子磁力仪已有产品,但是不能在大磁场范围条件下实现三轴分量的高精度测量。

通过三轴外加磁场抵消环境磁场,使原子气室工作于零磁场附近,结合长弛豫时间原子气室和精密的SERF态制备与控制,实现大磁场范围内的高精度测量、满足空间地磁测量要求,是SERF原子磁力仪的发展方向。

发展轻小型原子磁力仪

轻小型化是宇航应用对载荷的普遍要求,原子磁力仪在卫星上测量地磁、在其他星球轨道或表面的探测器都有轻小型化的要求。

轻小型化可以进一步扩展原子磁力仪的应用范围。

原子磁力仪探头体积的减小还有利于实现高灵敏度的磁场梯度仪,提高对测量平台剩磁的补偿精度。

通常的CPT原子磁力仪探头体积数百立方厘米,减小探头的体积需要采用微光机电(Micro-Optical-Electro-Mechical System, MOEMS)技术,将光源芯片、起偏器、波片、原子气室、光电探测器等集成在一起,实现几个立方厘米的原子磁力仪探头。SERF原子磁力仪也可以采用类似的方法减小原子气室的尺寸进而使探头轻小型化。

研究新的标定测试方法并提高测试精度

针对精度的标定测试方法进行专门研究,并研究测试设备和环境对标定性能的影响,将标定方法和设备误差降低一个数量级,从而可在地磁场范围内对0.1 nT或更高精度的标量和矢量原子磁力仪进行标定。

针对三轴矢量原子磁力仪,还需要提高三轴分量及其正交性的标定精度,尤其是温度变化环境下的正交性标定精度。

研究基于SERF原子磁力仪的张量测量和剩磁补偿

磁异常的表征参数主要有磁场标量、矢量和张量。

在所获取的磁异常信息方面,磁场张量比矢量的信息丰富,磁场矢量比标量的信息丰富。

光泵原子磁力仪和CPT原子磁力仪产品目前只能测量标量,也有一些研究工作通过其他额外技术途径实现光泵原子磁力仪或CPT原子磁力仪的矢量测量,但是这些方法要么在原理上性能不高,要么实用性差距较大。

SERF原子磁力仪可测量磁场的三轴分量,进而实现磁异常的张量测量,更好地描述磁源的磁化方向和几何形态,提高磁源的空间分辨率,这一方面可减小卫星剩磁的干扰,另一方面可提高地磁测量的空间分辨率。

已有测磁卫星中磁场测量设备的配置通常采用两个磁通门磁力仪和一个高精度标量原子磁力仪,以减小卫星剩磁影响和提高地磁测量精度。

采用SERF原子磁力仪则有望通过两个磁力仪的配置实现这一目标,同时实现更高的测量性能。

结束语

磁力仪在科学研究、防灾减灾、资源勘探和国防建设等方面都有重要的作用。

随着科技发展,原子磁力仪由于精度高、灵敏度高、作用大,越来越受重视。

中国在该领域研究总体上是跟随国外的发展而发展的。

文章在叙述原子磁力仪的研究和应用现状基础上,论述了存在的问题,具体说明在误差机理和抑制方法、原子气室性能、标定测试方法和精度以及轻小型化方面的不足,给出进一步提高精度和灵敏度、发展轻小型原子磁力仪、研究高精度标定测试方法和基于SERF原子磁力仪的张量测量等发展建议。

引用本文

王学锋, 邓意成, 徐强锋, 李明阳, 卢向东, 李建军, 刘院省.宇航用原子磁力仪研究与应用进展[J].前瞻科技,2022,1(1):159-168; doi:10.3981/j.issn.2097-0781.2022.01.013

相关问答

《数字 技术 应用 》杂志目录封面参考网址:http://blog.sina....

[最佳回答]大家好!我是《数字技术与应用》梁平丽(编辑),我的工作QQ:625328084632282060电话:010-59795725转分机6831861111784313041201895统一投稿邮...

jmir是核心期刊吗?

是JMIR医学信息学(JMI,ISSN2291-9694)是顶级的a级期刊,专注于临床信息学,健康和医疗保健中的大数据,对卫生专业人员的决策支持,电子健康记录,电子健康...

临床医学文献杂志质量如何?

质量非常好。临床医药文献电子杂志简介《临床医学文献电子杂志》是经国家新闻出版总署批准,国家美国食品药品监督管理局主管,中国医药科技出版社主办出版...

参考文献可以引用研讨会和学术报纸上的文章吗?

没问题的,因为中国知网上的各种文献资源都是正式的互联网出版物,也就是说中国知网上的每一种资源(如期刊、学位论文、报纸、会议论文)都有正式的电子出版刊号...

农业与 技术 是什么级别的期刊?

《农业与技术》杂志是由吉林省科学技术信息研究所主办的农业类学术性期刊,创办于1980年。国内外公开发行(半月刊)(国内统一刊号:CN22-1159/S;国际标准刊号...

各位大佬!你能回答 专业的互联网 应用技术 工程师哪好,互联网...

[回答](材料表格太约有六大份,评审基础表、证书书明材料、奖励、等)4、暂时电子信息工程师可不用考试取得职称,计算机工程师只要考试取得。5、申报条件:(1...

请问《才智》杂志是真是假?

《才智》是一本专业发表各类论文评定职称的省级理论性杂志。国内统一刊号CN22-1357/C,国际标准刊号ISSN1673-0208,邮发代号:12-344常设主要栏目:创...国内...

EI有哪些期刊?

《航空学报》,ActaAeronauticaetAstronauticaSinica,,ISSN1000-6893)创刊于1965年,中文月刊;《中国航空学报》(英文版)(ChineseJ...

《纵观环球》杂志社是哪家公司的?

2.《纵观环球》银行第一杂志由深圳融邦企业管理顾问有限公司出品,地址为深圳市南山区南山大道1088号南园枫叶大厦,杂志国际标准刊号:ISSN2223-6023。3.《纵...

chemistrycommunications是几区的期刊?

期刊。刊名简称:CHEMCOMMUN期刊名称:CHEMICALCOMMUNICATIONS大类:化学2010大类分区:2TOP201...CHEMICALCOMMUNICA...

标签:

相关阅读