电子器件应用寿命 “十年磨一剑”延长电子元器件寿命

小编头像

小编

管理员

发布于:2025年05月05日

96 阅读 · 0 评论

“十年磨一剑”延长电子元器件寿命

编者按

海南自由贸易港建设,最突出的短板、最紧缺的资源是人才。实施人才战略,要既重视“天边”,也重视“身边”。“4·13”以来,省委、省政府高度重视本土人才培养工作,坚持培养和引进“双轮驱动”,开展了“南海系列”育才计划评选。今年初,我省公布了海南省“南海系列”育才计划第二批人选,共有343人入选。至此,海南省“南海系列”育才计划培养对象已超千人。

本报今起推出“才涌海之南 奋楫自贸港”专栏,集中展示“南海系列”人才参与海南自贸港建设的风采。敬请关注!

■ 本报记者 李磊

“为什么很多电子电器设备在海南等沿海潮湿地区不太耐用?其中的原因是什么?如何更好地解决这个问题?这就是我近年来的主要研究方向。”在采访“南海系列”育才计划“南海名家”、海南师范大学物理与电子工程学院教授沈振江时,这位“80后”教授用通俗的语言向海南日报记者介绍他在海南这些年的研究工作。

沈振江说,在类似海南这样的常年潮湿的气候条件下,空气中的水汽进入电子元器件内部,由于水电交互作用,造成各类电器电路电子元器件老化速度加快,同时工作稳定性下降。他所做的研究,就是提升这些元器件的稳定性和使用寿命,使得其在高温高湿环境下工作可靠性提高。

2010年,沈振江在获得武汉大学材料物理与化学专业博士学位后,来到海南师范大学物理与电子工程学院任教。从攻读博士学位开始,沈振江就将研究方向定在了电容器等电子元器件优化结构性能、提升可靠性方面。

沈振江到海南工作后发现,海南空气湿度较大,且富含盐分,电子元器件在这种环境下不稳定性表现得更为明显。在做好日常教学工作的同时,沈振江带着解决这一问题的想法,一头扎进实验室,开始了长期的研究工作。

近十年来,沈振江在海南开展了电介质材料的性能改善及应用可靠性研究、表面离子重构法对晶体中低维结构的离子分布及性能研究等一系列的研究工作。

特别是近两年,在我国MLCC等电子元器件国产高性能化研发的重大需求背景下,沈振江针对其中的基础问题,开展了表面离子重构法对晶体中低维结构的离子分布及性能研究。该研究能够从根本机理上改善电子元器件的性能,为基础电子元器件产业化应用提供有力的应用理论基础,加快国产电子元器件高性能化的研发进程,从而推动5G数字产业的发展。

今年初,沈振江入选第二批“南海系列”育才计划“南海名家”序列。他说,近年来海南省委、省政府陆续出台实施了一系列人才政策,这些人才政策充分显示出我省对人才的重视和渴求。

6月1日,《海南自由贸易港建设总体方案》(以下简称《总体方案》)正式公布,进一步激发了沈振江继续在海南开展教学科研工作、实现人生理想的热情。

“海南建设自贸港,人人都是参与者,《总体方案》提出要大力发展高新技术产业,这是重大利好,有利于海南科研事业的发展。”沈振江表示,按照《总体方案》的部署安排,海南自由贸易港建设过程中,将“聚焦平台载体,提升产业能级,以物联网、人工智能、区块链、数字贸易等为重点发展信息产业。”这些举措,将吸引更多的高新技术企业和相关高层次人才来海南发展,这些企业和人才的到来,也将带动科研事业的大发展。届时,他将与云集海南的众多高层次人才一起,开展学术交流,为自贸港建设作贡献。

(本报海口6月16日讯)

深度干货:电子元器件加速寿命试验

一、加速寿命试验的目的

加速寿命试验的目的如下。

(1)解决试验样品数量和试验时间之间的矛盾。

(2)通过数理统计及外推的方法,获得有效的可靠性特征数据,例如产品的失效分布、可靠度、平均寿命以及产品特性参数时间的变化等。在此基础上再来预测工作在特定的条件下的可靠性。

(3)考核产品的结构、材料和工艺过程,鉴定和改进产品的质量。

(4)运用加严的环境条件和应力条件,检查元器件是否有异常分布,剔除有缺陷的早期失效的产品,即对元器件进行可靠性筛选。

(5)通过在加严的环境条件和应力条件下的试验,确定产品能承受安全应力的极限水平。

(6)作为失效鉴定试验的一种手段。

二、加速寿命试验的三个基本前提和类型

1.加速寿命试验的基本前提如下。

(1)失效机理的一致性

失效机理的一致性是指在不同应力水平下产品的失效机理保持不变。通常,失效机理的一致性是通过试验设计保证的,即要求加速寿命试验中的最高应力等级不能高于产品的破坏极限。

(2)失效过程的规律性

失效过程的规律性是指产品和寿命之间存在一个确切的函数关系式,即加速模型。

(3)失效分布的同一性

失效分布的同一性是指在不同的应力水平下产品的寿命服从同一分布,这是寿命数据统计的基本前提。

2.加速寿命试验类型

按照试验时施加的应力方式,加速寿命试验可分为恒定应力加速寿命试验、步进应力加速寿命试验和序进应力加速寿命试验。

(1)恒定应力加速寿命试验

恒定应力加速寿命试验如图1所示,简称恒加试验。图中,t 表示试验时间,S 表示试验应力,×表示样品失效。试验过程中,选定一组高于正常应力水平 S0 的加速应力水平S1<S2<…<Sk,将一定数量的样品分为 k 组,每组样品在彼此独立的应力水平下进行寿命试验,直到各组均有一定数量的样品发生失效为止。

图1恒定应力加速试验示意

(2)步进应力加速寿命试验

步进应力加速寿命试验如图 2所示,简称步加试验。步加试验是选定一组高于正常应力水平 S0的加速应力水平 S1<S2<…<Sk,试验开始时,先将一定数量的样品置于 S1应力下进行试验。经过 t1时间,把应力提高到 S2,把在 S1应力下未失效的样品在 S2应力下继续进行试验;如此重复下去,直到在Sk应力下有一定数量的样品发生失效为止。

图2 步进应力加速试验示意图

(3)序进应力加速寿命试验

序进应力加速寿命试验如图 3所示,简称序加试验。序加试验施加的应力水平随时间连续变化,最简单的就是图 1-8 所示的线性上升,此外还有许多复杂的应力施加方式,如循环应力、弹簧应力、三角函数应力等。序加试验的特点是应力变化快,失效也快,因此序加试验需要专用设备跟踪和记录产品失效。

图3 序进应力加速试验示意

恒加试验、步加试验和序加试验各有特点,其主要差别见表1。

表1 三种不同类型加速寿命试验方法比较

三、加速应力和加速系数

1.加速应力

根据加速寿命试验的假设:产品在正常应力水平和加速应力水平下的失效机理不变。加速寿命试验中选择的加速应力要求能加速产品的失效,但同时不能改变失效机理,一旦改变了失效模式,就失去了加速寿命试验的基础。

应力的选择对试验的加速效率影响很大,一般应根据产品的失效机理与失效模式来选择加速应力。加速寿命试验中常用的应力有温度、湿度、振动、压力、电应力、温度循环等,这些应力既可以单独使用,也可以多种组合使用。

2.加速系数

加速系数的定义:产品承受的加速应力为S,在第i级加速应力水平为Si,正常应力水平记为S0,在Si、S0下,可靠度值为R时,产品的寿命分别为tR,i,tR,0,则时间比

τ为加速应力水平Si对正常应力水平S0的加速系数,简称加速系数。

加速系数是加速寿命试验的一个重要参数,它是加速应力下产品某种寿命特征值与正常应力下寿命特征值的比值,也可称为加速因子,是一个无量纲数。加速系数反映加速寿命试验中某加速应力水平的加速效果,即加速应力的函数。

四、加速模型

加速寿命的基本思想是利用高应力下的寿命特征去外推正常应力水平下的寿命特征。 实现这个基本思想的关键在于建立寿命特征与应力水平之间的关系,这种寿命特征与应力水平之间的关系就是通常所说的加速模型,又称加速方程。寿命特征与应力之间的关系常是非线性的,但可以通过对寿命数据或应力水平进行数学变换,如对数变换、倒数变换等,有可能将其转换为线性的。

应力与寿命是密切相关的,应力的种类与水平是决定产品寿命的重要因素。应力及其水平选择得是否恰当,将决定试验能否达到预期的目标。因此,有必要研究它们之间的关系。

产品的寿命与应力之间的关系是以一定的物理模型为依据的。常见的物理模型有失效率模型、应力与强度模型、最弱链条模型和反应速度模型等。

1.失效率模型

失效率模型将失效率曲线划分为早期失效、随机失效和磨损失效 3 个阶段,并将每个阶段的产品失效机理与其失效率相联系起来。

2.应力与强度模型

应力与强度模型是研究实际环境应力与产品所能承受强度的关系。应力与强度均为随机变量,因此,产品的失效与否将取决于应力分布和强度分布。随着时间的推移,产品的强度分布将逐渐发生变化。应力分布与强度分布一旦发生了干预,产品就会出现失效。

3.最弱链条模型

最弱链条模型是基于产品的失效是发生在构成产品的诸因素中最薄弱的部位这一事实而提出来的。

4.反应速度模型

反应速度模型反映了反应速度与温度的关系。在可靠性试验中通常应用的阿伦尼斯模型和艾林模型,都属于这一类。它们同时也是加速寿命试验实现外推正常应力下寿命特征的依据。

1)阿伦尼斯模型

阿伦尼斯模型是在大量的化学反应数据基础上总结出来的,它表明了化学反应过程中反应速率与反应温度的关系。阿伦尼斯模型表示为

式中,R (T)是在温度为T时的反应速度;

E—物质在温度T时的激活能;

k—玻耳兹曼常数;

A—试验待定的常数;

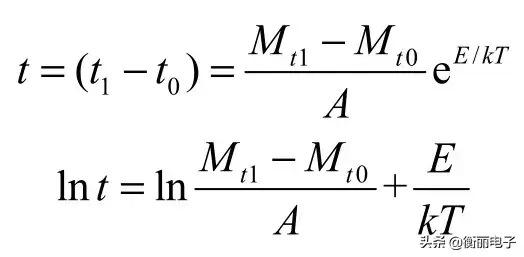
材料、产品的微量化学物理变化,将引起产品特性参数的退化,当其中特性参数退化到某一极限值时,产品就会失效,而退化所经历的时间就是产品的寿命。实践证明,寿命与温度T之间的关系是符合阿伦尼斯模型的,这时,可将阿伦尼斯模型进行如下变换:

最后得

a、b为试验所决定的常数。产品寿命t的对数值与试验温度T的倒数成正比。

阿伦尼斯模型是以如下两个假设为基础的。

假设一:

样品的某个参数θ的退化量D=f(θ)是时间的线性函数。

因此有

这是一个线性方程,R(T)是方程的斜率,反映了参量 D 随时间 t 的变化速率,即产品的退化率。R(T)是一个与温度有关的量,当温度一定时,它是一个常数。

这个假设说明,对于元器件的某个参量,如果通过某些变换能使其随时间变化的规律符合假设的要求,那么就可以应用阿伦尼斯模型来描述其寿命过程。

假设二:

退化率R(T)的对数是绝对温度倒数的线性函数,否则,就不是真实的加速。

若要求在不同的应力和不同的时间内产生相同的退化效果,即

可得

式中,τ就是加速系数,它反映了施加不同应力时,产品寿命相对变化的倍数。显然,加速系数的数值与所施加的应力和表征产品失效机理的激活能有关。

激活能 E 与器件的失效模式及失效机理有关。有关半导体器件不同失效模式与机理的激活能数据如表2所列。

表2 失效模式、失效机理与激活能

以激活能E作为参数,可以绘制出不同Ea时温度与寿命的关系。如图4所示。从图中可见,激活能越大,曲线越倾斜,与温度的关系越密切。图5所示为为不同温度应力下激活能与加速系数的关系。

图4 不同激活能时温度与寿命的关系

图5 不同温度应力下激活能与加速系数的关系

2)艾林模型

在阿伦尼斯模型中只考虑了温度应力对物质的化学与物理性质变化的影响,实际上,很多物理和化学反应过程除与温度有关之外,还与此时很多非温度应力因素密切相关,如电压、湿度、机械应力等。所以,阿伦尼斯模型的应用受到了一定的限制。

随着量子力学理论的发展,可以从反应速率动力学来推导出艾林模型。艾林模型综合了温度、湿度、电压、电流、电功率、振动等多种应力与寿命之间的关系。

艾林模型的反应速率可表示为

式中,T—温度应力;S—非温度应力。

半导体器件如果在高温高湿环境下工作,则其内引线金丝或铝丝的 Al-Au 或 Al-Al 的接触点很容易剥离;或在潮湿的环境中,由于腐蚀而产生开路、短路、漏电流增加等失效。其机理是由于在接触点处沾上了不洁物而形成电位分布,从而产生了电化学反应。对这种电化学反应与产品寿命的关系,可以通过艾林模型来描述,其艾林模型为

3)逆幂律模型

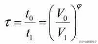
有些元器件在电流、电压或功率等电应力的作用下,内部发生电离、电迁移等效应,这些效应长期积累后,破坏了元器件的功能而导致产品的失效。这种失效与电应力的强度密切相关。电应力越强,积累速度越快,元器件的寿命就越短。这些元器件的寿命与施加的电流或电功率等非温度应力之间符合逆幂律关系。即

式中,t为元器件的寿命特征量,如中位寿命、平均寿命或特征寿命;

V为施加在元器件上的电应力,V>0;

K、φ为正常数。其中φ只与元器件的类型有关。

将上式两边取对数,就可将逆幂律模型线性化,即

确定φ、K之后,就可以预测电应力V与元器件寿命t之间的关系。即可用图估法或数值计算的方法,外推元器件在不同电应力下的寿命或失效率。

在电应力 V1下进行加速寿命试验时,对应累计失效概率 F0的加速失效时间为 t1;在正常电压 V0下进行寿命试验,对应同样累计失效率的正常失效时间为 t0,则可得加速系数

因此,对于某些元器件,如果已知常数φ和加速系数τ,只要进行一次高电应力 V1下的加速寿命试验,确定相应的加速失效时间 t1,就可以计算出在正常电应力 V0下的正常失效时间t0。

4)电解腐蚀寿命与湿度的关系

在潮气存在的情况下,会使元器件失效的机制加剧,如半导体器件的金属化系统在有偏置情况下,湿气促使金属化的金属离子跨越两种金属之间的绝缘表面产生迁移,导致电解腐蚀。绝缘表面的导电率决定了金属离子的迁移速率,从而决定了器件的寿命。绝缘表面的导电率与湿度密切相关。

柏克(Peck)和席尔德(Zierdt)通过试验研究得出该失效机理的激活能为 0.54eV,并给出了器件寿命(tm)与相对湿度(%RH)间的近似关系式:

式中,c—试验待定的常数。

5)温度、湿度和电应力与寿命的关系

加速寿命试验中,也有用湿度作为加速变量,也有同时采用温度、湿度和电应力进行加速的。如 THB(高温、高湿和偏置)加速试验,其主要目的是评价器件的耐潮湿寿命,采用的公式如下:

式中,t是平均寿命;

f (RH)是相对湿度函数,可表示为

g(V)是逆幂律模型因子。

五、加速寿命试验局限性

加速寿命试验可以大大缩短正常应力寿命试验所需时间,节省了人力和设备,这是它的优点。但是,加速寿命试验也有它的局限性。

1.它是一种破坏性试验,因而只能抽取小部分样品进行试验。当然,从统计观点来看,它是足以代表该产品的可靠性水平的,但是却存在一个置信度的问题。

2.对于那些比较复杂的器件,如集成电路,实际上起主导作用的失效机理往往是复杂的,甚至有些是事先无法预知的,如果用单一的加速变量来进行加速,其结果是不够全面的;同时,在失效机理不太明朗的情况下,采用加速外推的方法,其结果必然带来大的误差。也就是说,对于具有多种失效机理的产品,理想的加速寿命试验是难以实现的。

3.加速寿命试验只考虑了试验的加速性方面,而没有考虑元器件的应用问题。实际上,用户把这类器件用在设备上,预期保存和运用时间很长。因此,对于元器件制造者和用户来说,在正常应力或使用应力下的长期寿命试验也是必须的和重要的,因为它能真实反映元器件在使用条件下的寿命特性。

4.加速寿命试验的基本假设是在高应力条件下的失效机理与在正常应力条件下的失效机理相同。此外试验数据分析需要选择或假定应力与寿命之间的函数关系。实际上,高应力可能会引入在正常条件下不会发生的新的失效模式,当有几种不同应力共同作用时,各种失效模式对应应力有不同的敏感性,以致各失效模式的发生概率会随应力的改变而改变。也就是说,加速寿命试验的基本假设通常是很难保证的。、应力-寿命关系模型有潜在的多样性、复杂性。试验条件也是千变万化的。由加速寿命试验所估计的寿命与在现场观察到的寿命可能差别很大,有可能差别达到一个数量级甚至更大。因此,除非试验条件与现场使用条件很接近且试验数据的分析和建模恰当,否则从加速寿命试验数据外推所估计的可靠性只能看作是固有可靠性的一种近似,不应看作为现场可靠性指标。

六、发展趋势

加速寿命试验是在进行合理工程和统计假设的基础上,利用与物理失效有关的统计模型对加速条件下获得的失效数据进行转换,得到试件在正常应力水平下可靠性特征的试验方法。采用加速寿命试验可以缩短试验时间,降低试验成本,进而使高可靠长寿命的验证与评价成为可能。加速试验是在不改变失效机理的前提下,用增大环境/工作应力量值达到缩短试验时间并获得试验实际效果的试验方法。加速寿命试验技术主要研究发展方向。

1)复杂系统加速寿命试验技术

加速寿命试验在更广泛的工程应用中必然会遇到复杂系统的应用问题。该试验的研究目前主要集中于单一失效机理,而复杂系统往往存在多个失效机理,系统失效则是多个潜在失效机理相互竞争的结果。因此,复杂系统加速寿命试验技术的研究值得人们高度重视。

2)提高加速寿命试验的统计分析精度技术

加速寿命试验是统计试验的分支,统计精度的提高仍然是加速寿命试验分析方法研究的一个主要内容,所以分析精度对于加速寿命试验技术至关重要。

3)加速寿命试验优化设计技术

加速寿命试验的优化设计是统计分析的逆问题,研究在给定条件(寿命先验、应力范围、试验代价等)下,如何进行试验以获得各种可靠性指标的准确估计。

4)提高加速寿命试验效率技术

加速寿命试验的基本动因在于提高试验过程的时间效率和经济效益,从而以最低的试验代价达到寿命评估的目的。因此,加速寿命试验中既要提高统计分析的精度,又要考虑优化试验设计。加速试验要重视算法的简化和可操作性问题,使加速试验技术便于高可靠长寿命工程的应用。

5)加速寿命试验装备和控制技术

支撑加速寿命试验设备和控制技术的研究,对于加速试验的广泛应用发挥重要的作用。加速寿命试验技术的发展有赖于寿命试验设备和控制技术的发展。

6)加速寿命试验计算机仿真技术

仿真技术在可靠性试验中的应用已经成为一个重要的趋势,对于加速寿命试验具有重要的促进作用。在缺乏失效模型的情况下,仿真手段及其与试验的研究的结合将有可能成为有效的加速试验应用途径;将蒙特卡罗仿真引入加速寿命和加速退化试验的优化设计,可建立方便应用的优化设计方法。随着加速寿命试验技术研究的深入,计算机仿真技术的引入将有利于推动加速寿命试验技术的发展。

该内容是小编转载自网络,仅供学习交流使用,如有侵权,请联系删除。如果你还想了解更多关于电子元器件的相关知识及电子元器件行业实时市场信息,敬请关注微信公众号 【上海衡丽贸易有限公司】 主要以代理:铝电解电容、薄膜电容、MOSFET、压敏电阻、保险丝等国产知名品牌元器件。

相关问答

设有36个 电子器件 ,他们的 使用寿命 (小时)T1,T2,……T36都服从...

[最佳回答]E(0.1)E(T)=10D(T)=10P{36T>420}=P{36T-36E(T)/√36D(T)>(420-36E(T))/√36D(T)}=1-Φ((420-36E(T))/√36...

电气元件的使用 寿命 是多久?

寿命指的是使用寿命,不是库存寿命,有些元器件,库存期对寿命也有影响,比如电解电容。不同厂家生产的不同的元器件,寿命不同,甚至同一厂家,不同系列的元器件...

...一个 电子 元件的使用 寿命 为Y(单位,小时)服从参数1/2000_作业帮

[最佳回答](1)两个相互独立工作的电子元件,所以f(X,Y)=af1(x)f2(x)根据f1、f2确定a(2)f1、f2在(0,无穷)积分求E(X),E(Y)(3)f在(0,1200)积分求(1)两个相互独...

电器元件使用年限规范?

电器元件的使用年限规范是指在正常使用条件下,元件的预期寿命或建议更换周期。这个规范主要根据元件的类型、材料、工作环境等因素进行确定。一般来说,电器元...

请问 电子 元器件 能存放多久?_汽配人问答

[最佳回答]跟温度,湿度和包装的密封性都有关系。其中,湿度和密封性主要影响可焊性。表面氧化对插座和开关等机械接触的器件影响非常大,尤其是带金手指的高频...

电子 元器件 的工作 寿命 是多久呢?

[回答]深圳市捷瑞思科技有限公司是一家专业销售温控开关、保险丝、安规电容、mos管等安规保护器件的公司小功耗的二、三极管、MOS管一般是十万小时以上(...

最近在整理库存物料,有许多 电子 物料放置时间都比较长了,想知道 电子 元件的储存周期是多久?

电子元件的存储周期:电感、变压器、线圈、阻流圈、扼流圈,半永久性,无性能衰减。聚酯电容、涤纶电容、CBB电容、瓷片电容、独石电容、云母电容,半永久性,...

...一个 电子 元件的使用 寿命 为Y(单位,小时)服从参数1/2000_作业帮

[最佳回答](1)两个相互独立工作的电子元件,所以f(X,Y)=af1(x)f2(x)根据f1、f2确定a(2)f1、f2在(0,无穷)积分求E(X),E(Y)(3)f在(0,1200)积分求(1)两个相互独...

则部件正常工作.设三个 电子 元件的使用 寿命 (单位:小时)均服...

[最佳回答]N(μ,σ)中μ表示的是正态分布图像的对称轴,也就是说该正态分布的图像是按x=1000对称分布的,故大于1000和小于1000都是50%~那个σ只是反映数据的离...

插件电阻比贴片电阻 寿命 长吗?

是的,比贴片电阻的寿命更长,因为可以防止漏电的现象,插件电阻在使用的过程中,因为使用的是半导体,半导体的电阻为零,所以可以有效的防止电流过高而导致电坏...

标签:

相关阅读