电子枪镀膜应用 美迪凯取得一种改善膜层拖尾的镀膜机蒸发源和电子枪结构专利,有效减小拖尾

小编头像

小编

管理员

发布于:2025年05月05日

101 阅读 · 0 评论

美迪凯取得一种改善膜层拖尾的镀膜机蒸发源和电子枪结构专利,有效减小拖尾

金融界2024年7月5日消息,天眼查知识产权信息显示,杭州美迪凯光电科技股份有限公司取得一项名为“一种改善膜层拖尾的镀膜机蒸发源和电子枪结构“,授权公告号CN221275864U,申请日期为2023年11月。

专利摘要显示,本实用新型公开了一种改善膜层拖尾的镀膜机蒸发源和电子枪结构,包括伞架、蒸发源和电子枪,伞架上安置镀膜产品,伞架下安置有环形蒸发源安置架,环形蒸发源安置架上均匀设置有多个蒸发源安置槽口,蒸发源安置槽口内安置有蒸发源,环形蒸发源安置架环面上一个蒸发源安置槽口正处于伞架下球心位置,电子枪对应伞架下球心位置的蒸发源安置槽口位置设置,环形蒸发源安置架可沿中心进行转动调节。本实用新型通过设置环形蒸发源安置架,并改变设备电子枪位置,确保转动后离电子枪最近的蒸发源安置槽口位置正处于伞架下球心位置,使蒸发角度达到垂直,有效填充台阶与胶缝,去胶后有效减小拖尾。

本文源自金融界

行业科普 电子束蒸发镀膜知识,推荐光学镀膜人收藏

博顿导读

在高真空下,电子枪灯丝加热后发射热电子,被加速阳极加速,获得很大的动能轰击到的蒸发材料上,把动能转化成热使蒸发材料加热气化,而实现电子束蒸发镀膜。电子束蒸发源由发射电子的热阴极、电子加速极和作为阳极的镀膜材料组成。电子束蒸发源的能量可高度集中,使镀膜材料局部达到高温而蒸发。通过调节电子束的功率,可以方便的控制镀膜材料的蒸发速率,特别是有利于高熔点以及高纯金属和化合物材料。今日博顿君为您科普“电子束蒸发镀膜”相关知识,希望对您有所帮助。

电子束蒸发镀膜的特点

  电子束蒸发镀膜机是在工业中比较常使用的薄膜制造设备,由于蒸发镀膜机的特点在生产薄膜的时候发挥了巨大的作用,薄膜的产生主要是通过镀膜机中的电子束的加热产生的。

  1、电子束加热蒸发镀膜的优点

  ①镀膜机中的电子束加热的方法与传统的电阻加热的方法相比较的话。电子束加热会产生更高的通量密度,这样的话对于高熔点的材料的蒸发比较有利,而且还可以使得蒸发的速率得到一定程度上的提高。

  ②蒸发镀膜机在工作的时候会将需要被蒸发的原材料放入到水冷铜坩埚内,这样就可以保证材料避免被污染,可以制造纯度比较高的薄膜。

  ③电子束蒸发的粒子动能比较大,这样会有利于薄膜的精密性和结合力。

  2、电子束加热蒸发镀膜的缺点

  ①电子束 蒸发镀膜机的整体的构造比较的复杂,价格相较于其他的镀膜设备而言比较的偏高。

  ②镀膜机在工作的时候,如果蒸发源附近的蒸汽的密度比较高的话,就会使得电子束流和蒸汽粒子之间发生一些相互的作用,将会对电子的通量产生影响,使得电子的通量散失或者偏移轨道。同时你还可能会引发蒸汽和残余的气体的激发和电离,以此影响到整个薄膜的质量。

电子束蒸发的应用——电子束蒸发镀制TiO2薄膜

  一、镀膜原理

  电子束蒸发镀制TiO2薄膜,采用下图所示的离子束辅助电子束蒸发的INTEGRITY-39全自动光学镀膜系统。

1.冷却水进口;2.冷却水出口;3.坩埚;4.束流线圈;5.电子束发射器;6.加热灯;7.基片架;8.电机;9.监控片;10.离子源

  镀制样品电子枪工作电压为10 kV,电流为200 A,真空室沉积温度为145~155℃。膜料选用纯度为99.99%的黑色颗粒状Ti2O3,采用CC-105冷阴极离子束进行辅助沉积,沉积时真空室充入纯度为99.99%的O2作为反应气体,同时使用1179A型MKS质量流量计控制反应气体O2的流量,基底为直径25 mm的圆形K9玻璃。

  镀膜前基底先用玻璃液清洗,去离子水漂洗,氮气吹干,然后用纯度为99.9%的丙酮、无水乙醇超声波各清洗15 min,用专用擦拭纸擦干后装入真空室。

  镀制时用机械泵和扩散泵将真空度抽至6.5×10-4Pa时,设定自动镀制程序。当基底被加热到沉积温度150℃时,离子源开始轰击基底,能量控制在60~90 eV,时间10 min。然后自动启动电子枪加热蒸发膜料,沉积薄膜,沉积速率0.38~0.42 nm/s,薄膜沉积到设计厚度440 nm时,程序自动关闭电子枪,完成镀制。

  镀膜后真空室自然冷却到室温取出样品,用Lambda900(测试范围为175~3 300 nm)分光光度计进行样品TiO2的光谱测试,采用Macleod软件包络法计算TiO2薄膜的实际厚度,消光系数和折射率。

  对真空室通入不同流量的高纯氧气,研究不同的真空度对TiO2的成膜质量、折射率、吸收系数的影响。

  在较高的真空度下用离子源辅助蒸发沉积TiO2薄膜时,真空度随通氧量的变化如下表所列。

  随着充入真空室内的氧分子被电离成氧离子充分与Ti2O3蒸气分子反应,使得Ti2O3分解所失的氧得到补充,从而生成的薄膜中TiO2成分比较纯净,但是如果通氧量不足或Ti2O3与O2反应不充分,则会形成高吸收的亚氧化钛薄膜TinO2n-1(n=1,2,……,10)。随着通氧量的增加,TiO2蒸气分子在蒸发上升过程中与氧分子的碰撞几率增大而损失了能量,使沉积在基底表面的TiO2动能减小,影响沉积薄膜的附着力和致密性。

  对于光学薄膜而言,采用离子源辅助能够增加基底表面膜层分子的动能,不仅对薄膜的折射率有明显的影响,而且能使薄膜致密性及耐潮湿性得以提高,同时薄膜在基底上的附着力也有明显好转。

  二、镀膜结果与分析

  1、光谱测试

  采用Lambda900分光光度计测试4个样品的光谱,光谱图如下图所示。从图中可以看出,1号样品的TiO2薄膜明显存在吸收,最高透射率为81%;2号样品的透射率较1号有明显提升,最大透射率为90%;3号样品的最大透射率为92%,与基底的透射率基本相同,基本没有吸收;4号样品最大透射率也为92%;但是峰值和谷值之差减小,材料的折射率减小。

光谱图

  2、基于包络法计算TiO2薄膜的折射率和消光系数

  对于镀制在可见区高透射率光学膜系,材料的吸收系数不能太大,否则将影响薄膜产品的最终透射率,使产品的光学性能降低;同时折射率也不能太低,否则对膜系设计时截止带的宽度等造成影响。

  包洛线法由Manifacier在1976年提出,是通过膜层光学厚度为λ/4整数倍处的透射率(或反射率)极值反演计算膜层的光学薄膜参数。在实际测量过程中,首先分别连接透射率极大值Tλ/2点与极小值Tλ/4点形成Tmax(λ)和Tmin(λ)两条包络线;然后通过包络线上取点获得任意波长位置透射率极值Tλ/2和Tλ/4;最后利用透射率极值计算膜层的消光系数和折射率,并依据折射率计算值和极值点波长求解膜层的厚度。

  该方法的优点是测量过程简单,可同时测量膜层的折射率、消光系数和厚度,测量过程不需要与薄膜样品接触,利于样品保护,是一种理想的对比各种设备测试结果的方法,如果使用得当,可以作为确定薄膜所有光学常数的手段。

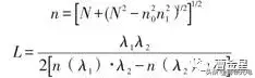
  采用包络线的方法,计算薄膜在波长λ处的线性折射率n和厚度L。

  其中:

  式中:n0和n1分别是空气和基底的折射率;Tmax和Tmin是在波长λ处的最大和最小透射率;λ1、λ2和n(λ1)、n(λ2)分别对应透射率曲线2个相邻峰值或谷值的波长和折射率。利用Macleod软件,用包络线法计算TiO2薄膜的折射率和消光系数。

  从下图(a)中可以看出,光谱范围由紫外-可见-近红外,4种样品的折射率均减小。1号样品在400~1 000 nm波段的折射率介于2.50~2.15之间。2号样品和3号样品折射率稍高,而4号样品折射率在同样波长位置稍低,介于2.45~2.15。

  从上图(b)中可以看出,1号样品明显存在吸收,消光系数随着光谱范围从紫外-可见增大,可以知道有金属Ti的低价氧化物产生,原因是供氧量不足;2号样品的最大透射率明显提升,消光系数基本在2.5×10-3以下,对光谱最终透射率仍然有影响;3号样品和4号样品光谱的消光系数在10-4量级,对光谱最终透射率的影响基本可以忽略。

  1号和2号样品的消光系数随波长增大而增大,其他2个样品的消光系数基本不随波长变化,在这一真空度条件下,1号和2号样品随波长增大而透射率降低,判断为此时氧含量过低,有金属Ti形成,而Ti的消光系数恰好是随波长增大而增大。

  通过4种样品的对比,发现随着氧流量增加,镀制真空度降低,TiO2薄膜的折射率先升高后降低。通氧量的增加导致经过离子源电离的氧离子增加,会增加轰击薄膜的离子密度,使膜层更加致密,从而提高膜层的折射率,然而当氧气的充入量进一步增加,镀制真空度比较低时,多余的氧分子和TiO2薄膜分子的碰撞,减小了TiO2薄膜分子的动能,从而使得沉积的TiO2薄膜分子迁移速率降低,使膜层的致密度降低,也就进一步降低了薄膜的折射率。

  如果通氧量较少,即镀制真空度较高时,也会造成由于氧分子的量较少,无法补充Ti2O3膜料在蒸发分解失氧时的氧含量,导致镀制的薄膜成分有含有氧化钛的低价氧化物,影响薄膜的光学特性,所以选择适当的通氧量对于TiO2光学薄膜的镀制很重要。

  3、TiO2薄膜折射率的色散

  对于可见、近红外光学薄膜材料,色散规律符合Cauchy方程n(λ)=An+Bn/λ2+Cn/λ4,An、Bn、Cn为拟合参量。

  由下图可看出,对于TiO2薄膜在400~1 400 nm光谱范围内折射率的色散关系,采用Origin数据分析软件拟合的曲线和用包络法计算得到的曲线几乎完全重合,相关系数的平方为0.99946,n(λ)= 2.17+6.12×104/λ2+2.98×108/λ4,与Cauchy方程色散规律符合很好,那么采用包络法计算得到的折射率作为材料参数,再用软件设计膜系,得到的实验结果和设计目标能较好的符合。

  三、镀膜结论

  通氧量对TiO2薄膜的光学性能有着重要的影响。通过控制氧气流量的方法调节真空室内的真空度,TiO2薄膜的光谱透射率峰值随真空度降低而增大,折射率和消光系数随真空度降低先升高后降低;当真空度为2.0×10-3Pa时,制备的TiO2薄膜在可见光谱区透射率高,最大透射率92%,折射率在2.50~2.20之间,消光系数在10-4以下。

  拟合曲线和采用包络法计算结果的相关系数平方为0.999 46,折射率的Cauchy色散方程为n(λ)=2.17+6.12×104/λ2+ 2.98×108/λ4。

电子束蒸发镀膜机的组成结构

  电子束蒸发镀膜机主要是由控制系统、真空气路系统以及电子枪系统组成。

  1、电子束蒸发镀膜机中的真空气路

  在真空的气路中有两个机泵,分别是前级机械泵和高真空低温泵,其中的低温泵作用主要是通过在非常低的温度来,依据冷伞吸附的原理来达到抽真空的目的。在高真空低温泵的启动的过程中,前级机械泵会先将管道处在一个真空的状态中,当管道的真空度达到一定的程度的时候,仟吉阀就会打开,这样前级机械泵会继续工作,使得管道和低温泵都有一个真空的状态,然后就是前级阀在重复上面的步骤。

  2、电子束加热蒸发源

  电子束 的蒸发源主要是由电子枪和坩埚两部分组成,必要的时候可能会附带一套可以给镀膜机提供原材料的机械设备。在大多数的情况中,在镀膜机中会将产生以及控制电子束的控制装置和坩埚的设计组成一个整体。以下是电子束加热蒸发源的几种表现的结构形式;

  ①采用直线阴极和静电聚焦方式加热的蒸发器。

  ②采用环状阴极和静电聚焦方式加热的蒸发器。

  ③采用轴向枪和静电远聚焦方式加热的蒸发器。

  ④采用轴向枪、磁聚焦和磁偏转90度方式加热的蒸发器。

  ⑤E型电子枪蒸发器,e型电子束蒸发源所发射的电子轨迹与"e"字相似,故简称e型枪。

  目前这种形式的蒸发源在真空蒸镀膜工艺中应用最为广泛。

电子束蒸发器镀膜机的维修技巧

  电子蒸发束镀膜机在使用的过程中因为自身设备的特点可能会出现或大或小的故障问题,最常见到的故障大多是由电路短路、镀膜材料的残渣等原因。

  1、真空的腔体内有焦糊味

  设备在使用中,从真空腔体内发出焦糊味,首先要判断的是零件时候有发生损坏或者被烧毁,如果在排查后发现零件没有任何的异常或者损坏,那么工作人员就需要对设备进行逐步的排查,在维修的过程中需要对腔体采用排除的方法进行检测,电子蒸发源是整个系统的主要的结构,也是排查问题的时候最需要检测的位置。

  2、电子枪无法正常的工作

  由于电子束 是依靠电子枪产生的,如果电子枪无法正常的工作会影响到整台设备的正常工作。首先需要确定的是高压电缆线的连接部位是否正常,如果正常的情况的话,就需要查看周围的环境是否比较的潮湿,潮湿的环境有可能会造成电路的短路,容易造成设备出现故障问题。

  3、电子束流不能正常的加载

  出现这种故障有可能是电极或者电极或者是调压器内部有积炭或有短路现象,它在低电流时还正常,但把电流升到一定的数值时就击穿,就会出现跳断路器的现象,表面上有时发现不了,最好用兆欧表对地摇一摇。

<END>

免责声明:

内容来源“PVD镀膜 ” 著作权属原创者所有。

内容为作者个人观点,并不代表本号赞同其观点和对其真实性负责。

感谢每一位作者的辛苦付出与创作,我们转载此文出于传播更多资讯之目的,无商业用途。

如涉著作权事宜请联系博顿君,我们将及时处理。

----------------我是博顿君闪亮登场分界线-------------------

博顿以高端离子源核心技术 为基础,采用全自主研发技术路线,研发和生产可打破国外产品长期垄断的离子源产品系列(目前以中空阴极霍尔离子源、射频离子源 为主)。

H.I.T 系列中空阴极霍尔离子源

一种全自主研发的新型高端离子源,使用具有专利技术的中空阴极结构与耗材,突破了传统灯丝霍尔离子源只能工作10小时的限制,连续工作时间大大提升到100小时以上,发热小、适应多种气体环境、无污染,可极大提升膜层的稳定性、附着力、致密度。

应用领域:

可广泛应用于面向高端光学镜头与镜片膜、装饰膜等产品的蒸发镀膜辅助沉积;可广泛适合于需要较大束流、中等能量离子的辅助镀膜沉积、表面预清洁或活化等应用领域;适用于直径介于70-130厘米的加工室中的真空镀膜制程,同时支持根据特定工艺进行定制化设计。

产品优势:

RF 系列射频离子源

博顿全自主研发的新型高端离子源系统,采用独特设计与具有专利技术的中和器,完全摆脱传统的热阴极原理,可无耗材工作,连续工作时间能达到 1000 小时以上,利用多层立体栅网确保精准的离子束方向性,支持离子束流和能量分别独立控制,对工作气体环境无要求,可完全替代国外产品,填补国内空白打破国外垄断。

应用领域:

适用于离子束溅射镀膜、刻蚀与超高精度表面处理;可应用于高端光学、光通信、导航制导、高端科研等多行业领域。

产品特点:

博顿离子源产品市场应用方向

博顿解决离子束微纳加工领域中核心设备长期被国外“卡脖子”的问题。通过基础关键设备的突破,改变国内设备仅限于低端应用的现状,提升整个产业的竞争力,促进产业升级。

博顿崇尚工匠精神和精专工艺,致力成为国产高端离子源核心技术的引领者、光电微纳加工领域的独角兽!

博顿光电

“博顿光电”是一家专业从事新型离子源关键技术研发及离子束装备设计和制造的创新型高科技企业。

公司核心团队在光电技术与微纳加工高端装备制造领域具备国内顶尖的专业技术研发与设计能力,目前已与中科院、北京理工大学、北京大学、暨南大学等形成战略合作关系。

博顿以高端离子源核心技术为基础,采用全自主研发技术路线,研发和生产高端离子源产品系列和离子束装备与工艺解决方案,产品填补了国内在高端离子源领域的空白,将改变高端微纳加工设备核心技术与装备长期由国外垄断的局面,解决“卡脖子”问题,促进国内光电行业产品整体水平与竞争力的快速提升。

相关问答

电子枪 必须在真空环境工作吗"如果不在真空环境,你的发射电...

[最佳回答]如果不在真空环境,你的发射电子的阴极很快就氧化了.想想你的白炽灯玻璃壳破的时候的样子.

真空 镀膜电子枪 常见故障?

抽空时间相同,而真空度偏低,这时候关闭主阀,如真空计指针很快下降,多数情况是真空室漏,应先查出漏点。如真空计指针下降很慢,多数情况是真空机组抽气能力...

真空 镀膜 是什么?

[回答]镀膜美容是漆面保护的最高措施,可以避免氧化,达到使漆面增亮、抗酸碱、抗氧化、抗紫外线等多重功效。由于膜的材料本身是一种无机物,对车漆没有损害...

真空 镀膜 是什么?

[回答]镀膜美容是漆面保护的最高措施,可以避免氧化,达到使漆面增亮、抗酸碱、抗氧化、抗紫外线等多重功效。由于膜的材料本身是一种无机物,对车漆没有损害...

真空 镀膜 机电流上不去是什么原因?

可能是以下原因:1、电池内线路短路,保险丝熔断,解决方法是给电池保险管更换新的保险丝;2、电量显示屏内部线路断路,解决方法是将电量显示屏送修,或仪表线路...

镀膜 车灯杯是怎样的?

[回答]现代光学透镜通常都镀有单层或多层氟化镁的增透膜,单层增透膜可使反射减少至1.5%,多层增透膜则可让反射降低至0.25%,所以整个瞄准镜如果加以适当镀...

大侠们有谁能回复一下吗!!如何联系 镀膜机 出售公司在哪里,镀...

[回答]跟深圳瑞浩二手机械合作7-8年了,一直都很愉快,而且效果也很满意更名手续很简单,你得到工商局去做“商号查重和核准”,意思就是说看看你新取的名字...

镀膜 车灯杯是怎样的?

[回答]眼镜镀膜常用药品:二氧化锆(ZrO?)、二氧化硅(SiO?)、ITO(增加镜片导电抗紫外线)、HT-100(防水膜,防止老化和氧化)……镀膜原理:高电压电子枪将以上...

镀膜 车灯杯是怎样的?

[回答]现代光学透镜通常都镀有单层或多层氟化镁的增透膜,单层增透膜可使反射减少至1.5%,多层增透膜则可让反射降低至0.25%,所以整个瞄准镜如果加以适当镀...

镀膜剂 与镀膜保养剂有什么区别?,有了解镀膜剂原料的吗??

[回答]磁控溅射镀膜机,多弧离子镀膜机存在磁场,是属于强磁,为了更好的控制电子路径。理论上讲:真空镀膜均具有辐射,有来自磁场,有来自电场。排个名:(相同...

标签:

相关阅读