350电子管应用 音色之美令Hi-End也汗颜 Raphaelite拉菲尔ES30单端合并胆机功放

小编头像

小编

管理员

发布于:2026年04月14日

123 阅读 · 0 评论

音色之美令Hi-End也汗颜 Raphaelite拉菲尔ES30单端合并胆机功放

技术规格

使用电子管:GZ34(JJ)×2、6SN7/6H8C(EH)×4、300B(EH)×2

输入灵敏度:350mV

额定输出功率:2×9W(RMS THD<10%)

信噪比:80dB

输入阻抗:100kΩ

输出阻抗:4Ω、8Ω

输入电压:220V/230V

消耗功率:160W

频率响应:15Hz –30kHz(-3dB、THD<5%)

体积(WDH):442×280×205mm

净重:25kg

上两期赖总编介绍了天津Raphaelite拉菲尔的CS30MKII牛输入300B单端合并胆机,在试听的期间,我们都想不到这部造工扎实,还用上坡莫合金前级变压器输入、复刻西电线路和昂贵的300B电子管输出的功放,竟然只卖不到6000元。算算元件材料成本,真是应验了那句形容高性价比的俗语:这点钱给你买材料DIY都做不出来啊。

然而这款CS30MKII还不是拉菲尔300B最入门的产品,旗下成品机系列还有一款仅售2580元的入门级 origin起点300B功放。那全对称的机身设计采用实心铝合金CNC加工面板和旋钮,还带有两个直径45mm的高精度线性电流表头,供精准检测300B工作点,关键是线路结构也不含糊,以及拉菲尔多年深植于音频变压器研发的丰富经验作背书,起点300B的声音表现给入门级音响迷和爱乐者莫大的惊喜。很多用户反馈说压根就没有想到这个价位的功放还能领略到300B醉人音色。

电源供电宽裕度相当足够,双进口捷克JJ GZ34S整流管提供充沛的电源供应

当然了,300B的能耐绝不止如此,拉菲尔的拿手本领也还未在上述两款机型上施展开来。在拉菲尔的产品序列中,还有一款300B电子管功放极典系列ES30单端合并胆机,定位中高端市场。看到这里,大家是否有种似曾相识的感觉?反正我怎么看,都感觉这三款机型之间的关系好比汽车巨头丰田,origin起点300B如同畅销全球的“神车”Corolla卡罗拉,而CS30MKII则是中庸敦实的Camry凯美瑞,ES30就好比低调奢华的Crown皇冠。

外观上,ES30反倒比CS30MKII低调朴实得多,横槽式底座面板加上全覆盖的保护罩,是不是有点儿窗式空调机的味道呢?面板上只有右侧的传统讯源输入选择和音量控制旋钮。ES30的保护罩需要拆卸一边的铝合金侧板才能取下,假如想换管或者打扫卫生都需要一定的动手能力,但优点是非常坚固,真正起到保护的作用。两侧板上也设计了开孔式挽手,内圈金属加工圆滑,提起机器不硌手,可见拉菲尔对五金细节工艺是有追求的,而且全铝合金材料打造的机身,加上同类产品中前所未见的厚实底板,拉菲尔把每个细节都照顾到了。而且拉菲尔懂得把有限的成本用在刀刃上,比如这么厚实的底板,从先天上就具有出色的抗干扰和抗谐振的性能。ES30的背板设计也非常传统,3组RCA输入和4、8Ω喇叭线输出端子全为镀铑材质,耐用的同时能满足音响迷的基本搭配需求。从这些细节,可见拉菲尔开发ES30的市场定位,依然是传统观念的音响迷音乐迷,她给你的就是纯粹的功率放大,让你能够充分感受300B所带来的绝妙声音美质,这就是ES30的本质。假如你想要标新立异的设计和现代的数码功能?对不起,ES30给不了你。

原配俄罗斯的EH瓷座金脚300B管,提供9W的高输出

打开保护罩,ES30机身底座上的布局满满当当的,排列合理井然有序。从线路功能上就区分开不同区域,比如左侧的是电源线路部分,包括后方的电源变压器与滤波用的扼流圈、中间的三只500V100μF滤波电容,前面的两只捷克JJ的GZ34整流管等组件。电源变压器容量达到300W,两只整流管并联应用保证提供充足的能量。而打开厚重的铝合金底盖,可见ES30采用线路板与搭棚工艺混合方式制造,从而确保耐用性,同时也方便了玩家更换元件摩机,一举两得。前后级线路采用单点接地,避免产生电位差带来噪音。输入切换采用继电器切换,而音量控制采用ALPS马达驱动电位器,因此可提供全功能遥控操作。

机内线路采用搭棚与PCB线路版混合工艺,兼顾耐用性之余也方便DIY迷们摩机,电路使用了4级放大器增益高推动力强,输出功率9W时失真小于5%。

藏在机内,使用5N OCC单晶铜绕制的全耦合坡莫合金驱动变压器,是好声音的关键之一,以此可以做到无大环路负反馈,令瞬态表现更佳

输出变压器同样采用5N OCC单晶铜以全耦合结构绕制

采用10H的扼流圈滤波,令声音纯净又够密度

前级电子管灯丝采用直流供电,获得高信噪比

音量控制采用ALPS马达驱动电位器,提供全功能遥控

布局上,机器内处理较低电平音频信号的前级线路,则远离电源线路这个“干扰源”,从而尽可能提高信号信噪比。ES30前级所用的电子管也非同一般设计所用的“花生管”的形式,而采用了四只俄罗斯EH的6H8C中μ值双三极管,两只前苏联的6H8C/6SN7电子管组成SRPP前级放大线路,这个电路具有高阻抗输入低阻抗输出便于与下一级完好匹配,营造宽广的声场与通透的高频表现;而后面两只则担起了驱动级的职责,这个第二级放大与第一级放大直藕对接,省掉了影响音质的耦合电容,这种结构有利提高放大电路的频响。6H8C是前苏联使用的信号名称,而6SN7是美国使用的型号名称,国内电子管厂则用6N8P标示,这几个型号电子管性能指标相同均可互换代用。这只管属低内阻管,在很宽的电压范围内都能保持很好的线性。当然了,资深的胆机迷会认为6H8C/6SN7并非驱动300B的最佳选择,最佳的搭配应该是WE310,这支罕有度与WE300B不相伯仲的驱动管价格能够上天了,虽有复刻制作,但用来量产现代300B胆机并不能代表拉菲尔在变压器方面的成就。

前级才两只6H8C/6SN7组成SRPP线路,另两只为驱动线路

作功率放大的两只俄罗斯EH300B电子管无疑是ES30的另一个重点,EH的300B电子管声音准确,整体频响均衡,相比其它厂牌出品,在同等工作点下能输出更大更稳定的功率,很适合做声音精准的单端放大器。而输出变压器是两只专为低内阻直热管设计的特制变压器,功率为35W,因此对于单端300B而言有足够高的宽裕量,其特别精准的电感量,能获得平坦的频响,并且高低频的延伸性能指标都非常优秀。这个变压器制造难度非常高,采用全耦合结构多达11层的绕组排布,带来极低的漏感,这是整机的核心器件,好声的关键。

而特别之处,还在于ES30的级间耦合驱动变压器和输出变压器均采用OCC 5N高纯度单晶铜线绕制。大家是否了解真正的OCC单晶铜目前全球只有为数不多的几家直线公司能够生产呢?OCC是Ohno Continuous Casting的缩写,是由日本千叶工业大学的大野(Ohno)教授所研究开发的“高温热铸模式莲续铸造法”制造技术。特点是从热熔的液态金属中抽出金属丝,经由特别的冷却程序冷却,同时去除杂质,而得到单一结晶的金属。这种工艺生产的铜坯料每一个结晶可以延伸数米以上,如将线径拉到0.3mm以下,其结晶体长度甚至可达125m,且铜纯度可提升到99.999%以上。OCC铜线大幅减少了“晶界”对讯号传递的反射和折射作用,具有优异的电学和信号传输性能,良好的塑性加工性能;优良的抗腐蚀性能;显著的抗疲劳性能;减少了偏析、气孔、缩孔、压杂等铸造缺陷;光亮的表面质量,其物理性能接近白银,堪称是相当完美的线材。因而主要用于国防高技术、民用电子、通讯以及网络等领域。因此信号传输相比以往常用的OFC无氧铜导电率大幅提高,电阻比普通铜材低8%到13%,信号传输速度更快更顺畅。而拉菲尔所用单晶铜漆包线是向美国OCC单晶铜专家Ranko龙格特别定制,用来绕制的变压器成本比普通铜线高出数倍,而对声音的提升是相当显著的。

提供三组RCA输入,全部采用耐用的镀铑端子

提供4、8欧姆喇叭输出,如箱子是16欧的古董音箱,可通过更改变压器出线即可实现16欧的输出阻抗转换,那将是LS3/5a玩家的福音

拉菲尔输出变压器另一个特点是采用全耦合设计,并且采用开放结构立式安装,他们说不用变压器罩固封能够令声音更具活生感。

功放中所用的音频变压器绕法多种多样,为了兼顾高中低频,扩大通频带,多采用分层分段交叉叠绕等方式,尽量降低变压器的漏感,同时将初级线圈的匝数取大些,从而得到较好的低频特性,并且还要减少线间的分布电容而提升高频。全耦合变压器与相同材质和规格的普通变压器相比,更接近于理想变压器。它至少要求初级线圈等于次级线圈,并且初级线圈和次级线圈匝数要足够大,就是要求有足够的电感量,这样的变压器便具有良好的幅频传输特性,这对音频变压器显得尤为重要。变压器全耦合传输是制作高性能变压器的重点,而为满足其它物理特性而背离全耦合传输的原则,甚至完全放弃耦合能力,以高频而言,就是漏磁和分布电容等于零,次级线圈也不能无中生有出高频电流。因此,拉菲尔选择制作复杂的全耦合变压器,就是为了获得最佳的频响性能。

由于各方面的设计与用料都考虑到位,因此ES30的输出功率较常规的单端300W输出大了2W,达到9W。大家别小看这多出近30%的驱动力,对于每一瓦都是黄金的纯A类单端功放而言,这已经能够为驱动力带来质的飞跃。实际试听在搭配88dB灵敏度的德国quadral德宝AURUM VULKAN 9落地箱,仅9W的ES30虽然能够大声歌唱而不失真,但我觉得ES30应付3路5单元的大落地箱依然吃力而有沉闷感。于是接上两路两单元,88dB灵敏度的波兰Divine Acoustics帝梵尼Proxima Generation 3落地音箱,ES30立刻显现出轻松愉悦的音乐气氛,音质甜美鲜活,音场宽松透明,300B那种独有的中频瑰丽质感十分讨好人。ES30重播的人声和弦乐重奏都相当好听,300B胆机之所以被日本音响迷称为“梦幻之球”,当然并非浪得虚名的,尤其ES30这种利用电子管线路结合优质的OCC单晶铜全耦合驱动与输出变压器的设计,令300B的魅力得以肆意发挥的。ES30重播人声的鲜活感和感情流露,有种沁入心脾的倾诉感,更是令试音室中其他身价高几倍甚至十倍的进口品牌,也不能与之相提并论的。

拆卸侧板才能见到“真容”,整机布局非常合理,电源部分“远离”前级线路,此为控制干扰的必要手段

总结

从入门的origin起点300B、中端的CS30MKII和高端的ES30,拉菲尔的300B胆机阵容涵盖了每个消费层面。可以这么说:假如你想领略300B的魅力,高频段亮丽甜美的光泽,弦乐线条细滑又饱满,加上凝聚通透的中频,所表现的声音满满的感染力。而开扬宽阔的音场、紧致有力的低频,都能令人打破300B胆机能力局限的旧有印象。只要为她搭配一对合适的高音箱,ES30呈现的音乐魅力,足以令你很难再回头聆听大部分晶体管功放了。

音乐,美的节奏,美的世界,在音乐中能让人感悟人生,亦能让人音悦人生!

长按文章标题下方日期边上的蓝字“新音响”,即可添加关注微信公众号,或长按下方的二维码,可添加手机版新音响网站获取更多更快更深入的音响资讯!

电子管扩音机低频电感元件的简易设计

电感元件又称电感器,它包括电子设备中的各种高、低频线圈,变压器,阻流圈等。本文主要讨论电子管扩音机中各种低频变压器(电源变压器、输出变压器、推动变压器等)和阻流圈的简易设计方法。这些电感元件的共同特点是:线圈中都带有铁心,而且都是在较低的频率下工作。

电源变压器的简易设计

电子管扩音机所使用的电源变压器,从用途上大致可分为两类:一类变压器的次级绕组只供点燃各电子管的灯丝,称为灯丝电源变压器,简称灯丝变压器;另一类变压器的次级绕组担负供给整流管所需的屏压,称为高压电源变压器,简称高压变压器。这类变压器的次级绕组中,不但有交流成分通过,而且还有直流成分通过。反映到变压器初级,有些变压器内(如半波整流)将产生非正弦电流,从而使变压器效率降低。在设计时,要考虑到这一特点。

通常情况下,50瓦以下的小型电子管扩音机,不单独设置灯丝变压器和高压变压器,而是把两者合并在一个电源变压器中。

一、设计方法

电源变压器的设计,大致可分为六个步骤:

1.确定变压器的容量

电子管扩音机中的电源变压器,就其功率而言,最大不超过几个千伏安,基本上都使用单相交流电。因此,我们只介绍单相电源变压器的设计。

我们知道,变压器的效率为:

η=PⅡPⅠ…………(1.1)。

式中PⅡ为次级输出功率;PⅠ为初级输入功率。当次级不只一个绕组时,输出功率为:

pⅡ=P2+P3+P4+…+pn…(1.2)。

这时初级输入功率为:

PⅠ=PⅡη=1;η(P2+P3 +P4+…+Pn)…(1.3)。

变压器的总容量(设计功率)为:

P=PⅠ+PⅡ2……(1.4)。

变压器效率与许多因素有关,现将效率与容量的大致关系列于表1.1,供设计时参考。

表1.1 容量(VA) <10 10~50 50~100 100~500 500~1K 1K~5K 5K~10K 效率(%) 70~75 75~80 80~85 85~90 90~92 92~95 95~97

①灯丝变压器容量的计算:

若所设计的灯丝变压器各绕组电压分别为U2、U3、U4、……Un,电流分别为I2、I3、I4……In,则:

PI=1η(U2I2+U3I3+U4I4+……+UnIn)。

所以,总容量为:

P=PⅠ=PⅠ+PⅡ2=1+η;2η(U2I2+U3I3+U4I4+UnIn)……(1.5)

②高压变压器容量的计算:

根据选定的整流电路和滤波电路(或负载)的型式,就可以从表1.2中查出高压变压器的容量(设计功率)。

表1.2中U0代表整流器输出端电压,它等于设备所需直流电压U′0和阻流圈(或滤波电阻)上电压降U″0之和。一般情况下,可以认为阻流圈上电压降为U′0的(5一10)%。所以,在计算时可取

U0=(1.05~1.1)U′0 ……(1.6)。

同样,考虑到泄放电阻上通过的电流I0″,设计电流(即整流器输出电流)I0与设备所需直流电流I0′的关系也可写成

I0=(1.05~1.1)U0′……(1.7)。

由于半波整流和倍压整流(尤其是串联式倍压整流)脉动系数大,一般不采用阻流圈输入(即Γ型)滤波电路。而且,在大多数情况下,倍压整流输入端直接接至市电,不使用专用的高压变压器。

③同时具有高压绕组和灯丝绕组的电源变压器的容量,在设计时只需从表1.2中查出高压绕组的设计功率,然后再加上各灯丝绕组的设计功率即可。

2.确定铁心的型号和规格

电子管扩音机中常用的铁心型号有KEI、GEI、UI、CD型等几种。用KEI、GEI型铁心绕制的变压器称为壳式变压器(见图2);用UI、CD型铁心绕制的变压器称为心式变压器。其中KEI型铁心为宽窗口式,具有重量最轻的特点。当绕组圈数较多或电压较高(相应的绝缘材料层也较厚)时,应选用这种铁心;GEI型为窄窗口式,具有最低价格的特点。一般情况下可采用这种铁心。当功率大于1千伏安时,可采用UI型铁心;有时为了减小体积,小型变压器也可采用UI和CD型铁心。

用S′C表示所需铁心最小截面积,S0表示窗口面积。则在我们所讨论的范围内可以认为

S′c·S0=14400BMP……(1.8)。

式中BM为铁心中最大磁通密度,单位为高斯(Gs)。如果假设S′c=S0,

并令 K=14400BM,则 Sc′=KP……(1.9)。

式中系数K可由表1.3选择。

铁心最大磁通密度值BM的选取与铁心材料、变压器的容量等有关。表1.4可做计算时的参考。

旧铁心片可视其质量,适当选择BM值。如果铁心片为黑色,弯曲数次不断裂,说明质量较次,BM值可取6000~8000高斯;质量好一些的铁心BM值可取8000~10000高斯。

根据计算出的铁心最小截面积Sc′值和以上各方面的考虑,可从变压器常用标准铁心片规格表中,找到相应型号、规格的铁心,并可从表中查出实际铁心截面积Sc。当然,Sc应大于或等于Sc′。

如果铁心是旧有的,或叠厚不是标准系列,那么Sc可通过下式进行计算。

Sc=Kc·l0·B……(1.10)。

式中Kc称为铁心片占空系数,它与铁心片的材料、厚度、表面状态有关;l0代表铁心中心宽度;B代表铁心叠厚。当铁心片厚度为0.35毫米,表面没有涂覆绝缘漆时,热轧硅钢板D42~D44制成的铁心片,Kc值为0.91;冷轧硅钢板D310~D340制成的铁心片,Kc值为0.95。当表面涂有绝缘漆时,Kc值应相应地降低0.03~0.05。如果不知道铁心片的材料,Kc值可选0.85~0.9。当铁心片的厚度为0.5毫米时,Kc值可相应增加0.03左右。

3.确定初、次级各绕组圈数

当磁通密度以高斯为单位,铁心截面积以平方厘米为单位时,感应电动势为

E=4.44f·N·BM·Sc·10-8(伏)……(1.11)。或NE=108;4.44f·BM·Sc…(1.12)。

式中N/E为线圈每伏圈数。

我国电源频率f,绝大多数都是50赫,代入上式,并令N0=N/E,则

N0=450000BM·Sc……(1.13)。

由于线圈本身具有一定的直流电阻,有电流通过时,会产生电压降。因此在计算各绕组圈数时,都附加一定的修正值。即

式中△U的选择可参照表1.5。N1代表初级线圈圈数,N2~Nn代表次级线圈圈数。

表1.5 变压器容量(VA) <10 10~100 100~1K 1K~10K △U 0.07~0.1 0.05~0.07 0.03~0.05 0.02~0.03

4.确定各绕组导线直径和型号

当电流密度为j时,通过截面积为S的导线的电流强度为

I=S·j=πk(d2)2·j=πd2;4·j。

当知道电流密度和通过导线的电流时,就可以求出所需导线的直径

d=4Iπj…………(1.15)。

电流密度的选择和变压器容量有关,有关数据可参考表1.6。

表1.6 变压器容量(VA) <10 10~100 100~1K 1K~5K 5K~10K 电流密度(A/mm2) 4~3.5 3.5~3 3~2.5 2.5~2 2~1.8

根据表1.6数据。公式(1.15)可分别写成:

灯丝变压器的次级电流,可从电子管特性手册中查出;高压变压器次级电流可从表1.2中查出。而初级电流可通过下面近似公式来计算:

I1=(1.1~1.2)PU1……(1.17)。

式中系数的选取是考虑到变压器空载激磁电流的存在而附加的。

使用公式(1.15)和(1.16)求出的导线直径,不包括绝缘层在内。利用求得的结果,便可从线规表中(见本刊1975年第3、4期)查出导线的标称直径d和带有绝缘层的漆包线外径d′。

在电子管扩音机中,电源变压器所使用的导线,基本上都是漆包线,电流较大的灯丝绕组有时也使用纤维包绝缘线。当绕组工作时对“地”电压(不是指绕组本身的电压)不大于500伏时,可使用Q型普通油性漆包线;当电压大于500伏时,应选用QQ型高强度聚乙烯醇缩醛漆包线,或采用QZ型高强度聚脂漆包线。

5.进行初步验算

根据各绕组所选定的导线标称直径,从线规表中查出单根导线的截面积S,然后乘以圈数N,就可计算出导线所占的总截面积

SM=S1N1+S2N2+S3N3+……SnNn……(1.18)。

计算结果必须满足下式要求

SMSo≤KM……(1.19)。

式中So=l1·h为窗口面积,KM称为导线(窗口)占空系数,它可以从铁心片规格表中查出(本文表1.11中只列出了部分数据)。

计算结果如不满足公式(1.19)的要求,则需加大铁心截面积,重新计算各项数据,直到满足为止。

须注意的是,当设计绝缘材料较多的高压变压器时,SM与So的比值必须要小于KM值的10%以上。否则,当线包绕好后,可能装不上铁心。

6.列出变压器绕制规格表,作最后验算。变压器绕制规格表包括的主要内容有:各线圈电压、圈数(总圈数及每层圈数)、层数、导线规格、绝缘材料的选择等项内容。另外,应附有电原理图、绕组排列图。必要时,还应绘出引出线位置图、装配图等。填写时应注意:

①线包的长度并不等于窗口长度h,而是在线圈筒两端各留出h的5%左右不绕线。因此,线包长度应为

h′=0.9h……(1.20)。

某一线圈每层可绕圈数

N′=h′d′=0.9h;d′……(1.21)。

该线圈总层数为

L=NN′……(1.22)。

当计算结果带有分数时,不论其是否大于12,都在个位进一,而略去分数。

②各线圈层间绝缘一般使用电容器纸、电话纸、电缆纸、卷绕纸、浸渍纸等。有时也使用玻璃纸、描图纸、蜡纸、牛皮纸、道林纸等。绝缘材料厚度的选择,可参照表1.7。

当层间电压超过100伏时,应适当加厚层间绝缘,或选择击穿电压高的绝缘材料。

各绕组间的绝缘需根据各绕组工作时对“地”电压(注意:不是绕组本身的电压)来选择。一般使用电缆纸、浸渍纸、牛皮纸、道林纸等,中间夹入黄漆绸(布)、聚脂薄膜、云母纸等。最后计算出线包总厚度D,必须满足:

(1.1~1.3)D≤l1……(1.23)。

否则,需调整绝缘材料的厚度、品种,使得公式(1.23)成立。公式中系数的选择是考虑到线包在绕制过程中往往鼓起来,致使厚度增加。

二、设计举例

现在以150瓦、250瓦两种类型扩音机高压变压器为例,进行设计。

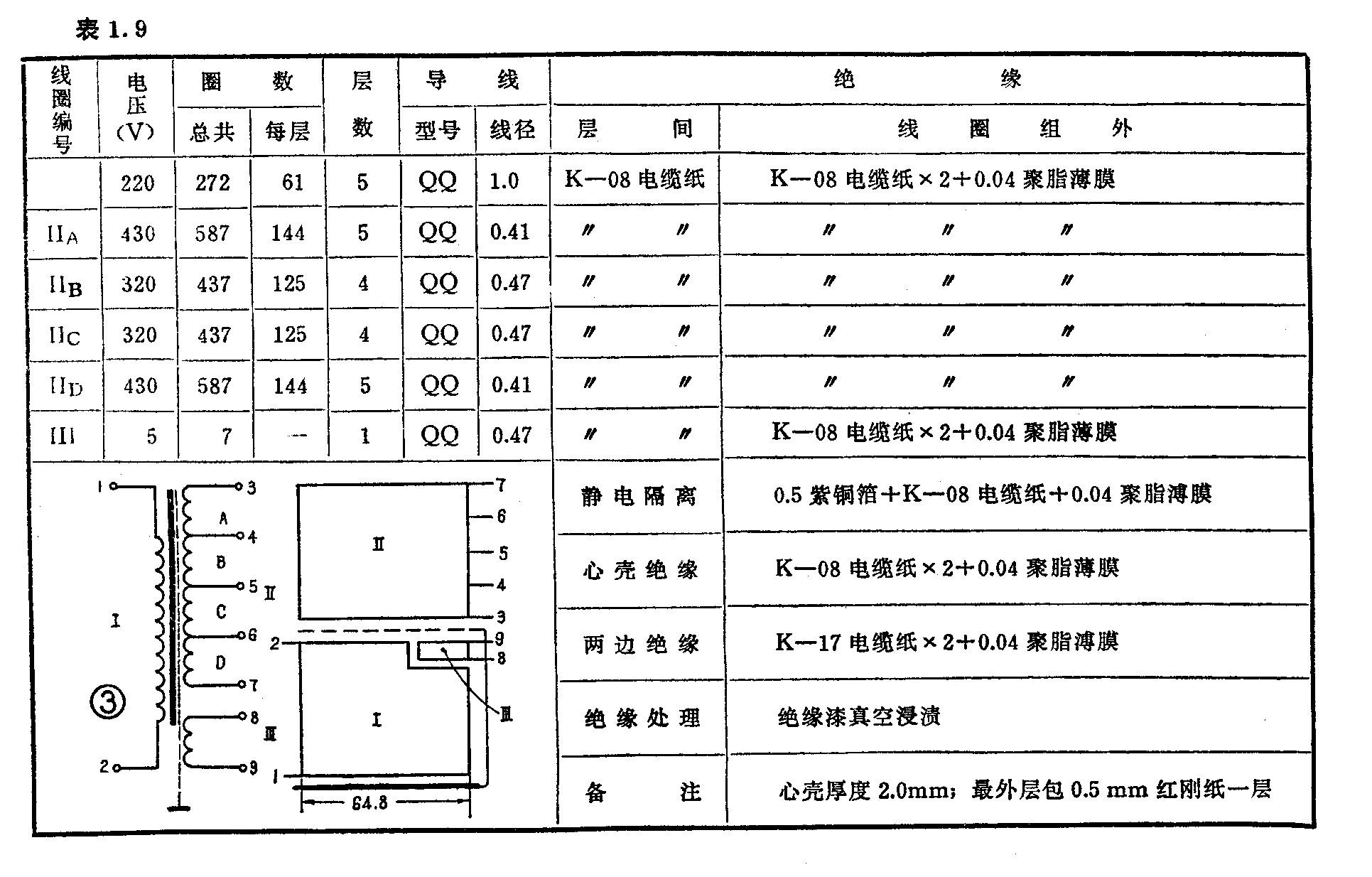
1.150瓦高压电源变压器

从常见的飞跃R—150型扩音机的结构设计可知:末级功率输出使用四只FU—7作甲乙2类并联推挽放大;一只6P6P作推动级。前级使用一只6N1、两只6N2作电压放大(兼检波);收音部分使用一只6A2作变频,一只6K4作中放。另外,用一只6E2作音量输出指示。电源部分使用两只EG1—0.3/8.5整流,供末级功放管屏压。用一只5Z2P作次高压整流,供给功放管帘栅压及其它各管屏压、帘栅压;另一只5Z2P做负压整流,供给功放管所需的栅负压。

从电子管特性手册中可查出各电子管在额定工作状态下所需的各项工作数据,列于表1.8。

表1.8

管 名 4×FU-7 6P6P 6N2* 6N1* 6A2 6K4 6E2

屏压(V) 640+ 250 <250 <250 <250 <250 <250

最大屏流(A) 0.4 0.047 0.0023 0.0075 0.003 0.011 0.002

帘栅压(V) 300 250 <100 <100

最大帘栅流(A) 0.024 0.007 0.007 0.0042 0.001△

注,“*”为双三极管中单管值;“△”为荧光屏电流;“+”特性表为600伏,为保证足够 的输出功率,屏压可提高5~10%,我们取640伏。

高压电源变压器次级应供给两只高压整流管和一只次高压整流管工作所需的电压和电流。

因为高压整流和次高压整流都采用全波整流电路,中心端都直接接地,因此两个次级绕组可合成一个,采用抽头的方法供出不同电压(如表1.9所示)。

①确定容量

我们用下脚“G”代表高压整流,下脚“C”代表次高压整流,根据公式(1.6)、(1.7)可知

U0G=1.05U'0G=1.05×640≈672(伏),i0G=1.1I'0G=1.1×0.4=0.44(安),U0C=1.07U'0e=1.07×300≈320(伏),I0C=1.1I'0C=1.1×(0.024 +0.047+0.007+3×0.0023 +2×0.0075+0.003+0.007 +0.011+0.0042+0.002 +0001)=0.14(安)。

高压整流使用Γ型滤波,次高压整流使用π形滤波。根据表1.2,高压及次高压绕组的设计功率分别为:

PG=1.34U0GI0G=1.34×672×0.44≈396(伏安)PC=1.71U0CI0C=1.71×320×0.14≈76.6(伏安)。

根据公式(1.5),高压电源指示灯功率(取UZ=5伏,IZ=0.5安)为:

PZ=1+η2η·UZ·IZ=1+0.9;2×0.9×5×0.5≈2.7(伏安)。

所以,高压电源变压器总容量为:

P=PG+PC+PZ=396+76.6+2.7≈475(伏安)。

②确定铁心型号、规格

根据公式(1.9)和表1.3、表1.4,最小铁心截面积为:

S'C=1.1P=1.1475≈23.98(厘米2)。

上式中取Bm=12000高斯。选取GEIB40×80铁心,则可查出实际截面积为

SC=29.1(厘米2)。

③确定初、次级绕组圈数

根据表1.2可知,高压绕组所接的是电感性负载, U2G=1.11U0G=1.11×672≈750伏;次高压绕组所接的是电容性负载,U2C≈U0C=320伏。根据(1.13)式可求得每伏匝数N0=450000BM、SC=450000;12000×29.1=1.3。当ΔU取0.05时,各绕组圈数为:

N1=(1-ΔU)U1·N0=(1-0.05)×220×1.3=272圈,N2=N2D=(1+ΔU)U2A·N0 =(1+0.05)·(750-320)×1.3=587圈,N2B=N2C=(1+ΔU)U2B·N0=1.05×320×1.3=437,N3=(1+ΔU)·U3N0=1.05×5×1.3≈7圈。

④确定各绕组导线直径、型号

根据表1.2和公式(1.17)可知:

I2G=0.71I0G=0.71×0.44=0.31(安),I2C=1.11I0C=1.11×0.14=0.16(安)。I1=1.1PU1=1.1×475;220≈2.38(安),

取j=3安/毫米2,则

d1=0.65I1 =0.652.38≈1.0(毫米),d2A=d2D=0.65I2G=0.650.31≈0.364(毫米),d2B=d2C=0.65I2G+I2C=0.650.47≈0.442(毫米),d3=0.65I3=0.650.5≈0.462(毫米)。

查线规表(见本刊1975年第3期,QQ型漆包线基本同Q型漆包线)取标称值,得:d1=1.0毫米;d'1=1.07毫米;S1=0.79毫米2 ; d2A= d2D=0.41毫米;d'2A=d'2D=0.45毫米;S2A=S2D=0.13毫米2 ;d2B= d2C=0.47毫米; d'2B=d'2C=0.52毫米;S2B=S2C=0.17毫米2 ;d3=0.47毫米;d'a=0.52毫米; S3=0.17毫米2。

⑤进行初步估算

铜线总截面积为:

SM=0.79×272+2×0.13 ×587+2×0.17×437+0.17×7=517(毫米2)。

窗口总面积为:

S0=l1·h=26×72=1872(毫米2)。

二者比值为:SMS0=517;1872=0.28 <0.29。所以上述设计可以成立。

⑥列出绕组规格表(见表1.9),做最后验算。

最后验算线包总厚度为:

D=1.2〔2+0.08×2+0.04×1+1.07×5+0.08×5+0.08×2+0.04×1+0.52+0.08+0.08×2+0.04+0.05+0.08×1+0.04×l+2(0.45×5+0.08×5+0.08×2+0.04×1)+2(0.52×4+0.08×4+0.08×2+0.04×1+0.5)〕≈24.6(毫米)。

因为l1=26毫米,所以D<l1, 设计结果满足各项要求。

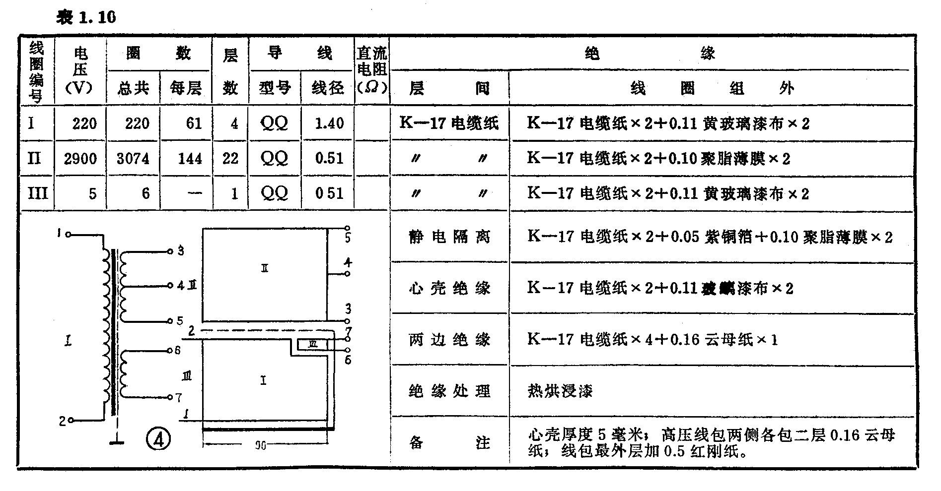
2.250瓦扩音机高压电源变压器

从扩音机结构设计(参见TY-250/1000型扩音机)可知,高压电源变压器的主要任务是供给两只EG1-0.3/8.5作整流,以供末级功率放大管所需的屏压。

从电子管特性手册可查出,两只FU-5电子管在屏压为1250伏,作乙类推挽放大时,最大输出功率可达300瓦,最大屏流为400毫安。

①确定容量

根据公式(1.6)和(1.7)可知:

U0=1.05U'0=1.05×1250=1313(伏);I0=1.1I'0=1.1×0.4=0.44(安)。

由于使用Γ型滤波器电路(电感性),根据表(1.2),高压绕组的设计功率为:

PG=1.34U0I0=1.34×1313×0.44=774(伏安)。

根据公式(1.5),指示灯功率(取UZ=5伏,IZ=0.5安)为:

PZ=1+η2ηUZIZ=1+0.9;2×0.9×5×0.5=2.7(伏安)。

所以高压变压器总容量为:

P=PG+PZ=774+2.7≈777(伏安)。

②确定铁心型号、规格

根据公式(1.9)和表1.3、表1.4、求得最小铁心截面积为:

S'C=1.1P =1.1777≈30.7(厘米2)。

上式中BM取12000高斯,选取KEIB4O×100铁心,则可查出实际截面积为:SC=36.4厘米2。

③确定初、次级各绕组圈数

根据公式(1.2),得U2=1.11U0=1.11×1313≈1450(伏);根据公式(1.13),得每伏圈数

N0=450000BM·SC=450000;12000×36.4≈1.03。

当ΔU取0.03时,各绕组圈数为:

N1=(1-ΔU)U1N0=(1-0.03)×220×1.03≈220,N2=2×(1+ΔU)U2N0=2×(1+0.03)×1450×1.03≈3074,N3=(1+ΔU)U3N0=1.03×5×1.03≈6。

④确定各绕组导线直径、型号

根据表1.2和公式(1.17)可知:在负载为电感性时,I2=0.71I0 =0.71×0.44=0.31(安);I1=1.1PU1=1.1777;220≈3.9(安)。取j=2.5安/毫米2,则:

d1=0.7I1=0.73.9≈1.38(毫米),d2=0.7I2=0.70.31≈0.392(毫米),d3=0.7I3=0.70.5≈0.50(毫米)。

查线规表,取标称值,得:d1=1.4毫米; d'1=1.48毫米; S1=1.539毫米2;d2=0.44毫米;d'2=0.49毫米;S2=0.1521毫米2;d3=0.51毫米;d'3=0.56毫米:S3=0.2043毫米2。

⑤进行初步估算

铜线总截面积为: SM=S1N1+S2N2+S3N3=1.539×220+0.1521×3074+0.2043×6=808.2(毫米2);窗口面积为S0=l1·h=40×100=4000(毫米2)。工者比值为SMS0=808.2;4000≈0.20<<0.38 。从计算结果可以看出,铜线总截面与窗口面积之比远小于额定导线占空系数。为了使次级高压绕组有更好的电压调整率,可选取d2=0.51毫米,则d'2=0.56毫米,S2=0.20毫米2。此时,

SMS0=968;4000=0.24<<0.38。

⑥列出绕制规格表,作最后验算绕制数据见表1.10。

最后验算线包总厚度为:

D=1.2(5+0.17×2+0.11×2+1.48×4+0.17×4+0.17×2+0.11×2+0.56+0.17+0.17×2+0.11×2+0.17×2+0.05+0.10×2+0.56×22+0.17×22+0.17×2+0.10×2+0.16×4+0.5)≈38.8(毫米)。

因为l1=40毫米,所以D<l1。设计结果满足要求。

三、几个有关问题

由于汞气整流管灯丝电压要求稳定,开机需要预热时间等原因,有些广播站用半导体二极管直接代替汞气管做整流用。代用后应考虑下列问题。

1 .半导体二极管管压降很小,只有一伏左右,而汞气整流管管压降达几十伏。因此,用半导体二极管代替后,整流输出电压必将提高。这时应注意滤波电容器的耐压问题。

2.整流输出电压提高, 会使功率放大管屏压增高,因此可能出现屏极发红现象。

3.对于高压电源变压器和整流电路都不应做任何改动,可直接将整流管代换使用。

由于半导体二极管本身管压降小,如果重新设计电源变压器,次级电压U2可适当降低3~5%,其它各参数都不需变动。

输出变压器的设计

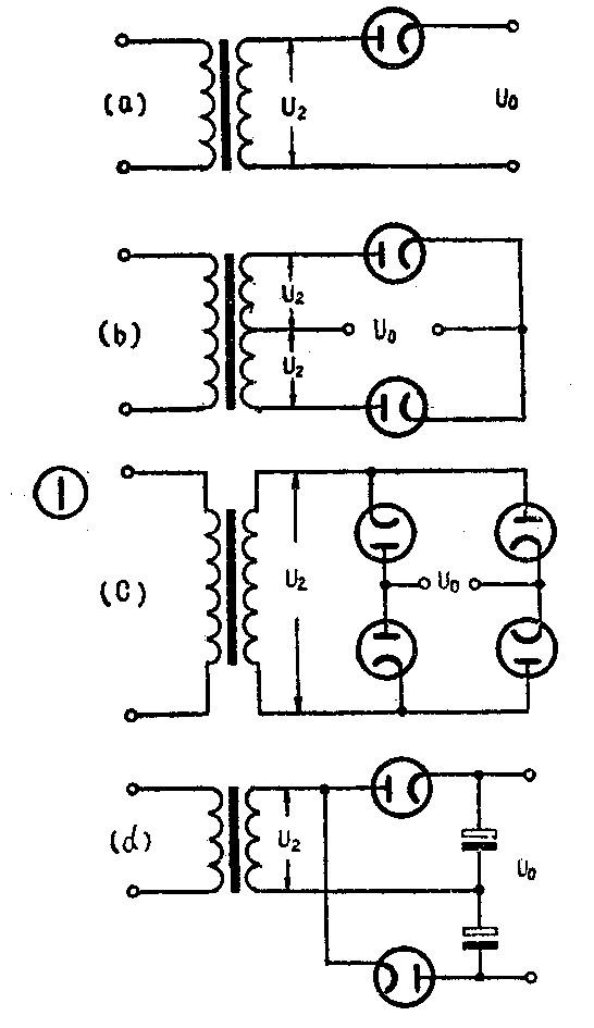
输出变压器是扩音机功率放大级和负载之间相互连接的重要部件,它的主要作用是使负载阻抗和功率放大管的最佳负载阻抗相匹配,以得到在允许的失真度情况下的最大输出功率。在这篇文章中,我们对推挽式功率放大电路所使用的输出变压器的设计作一简要介绍。

输出变压器属于非线性元件,在工作过程中会引起信号的失真,其中最主要的是频率失真和非线性失真。

1.频率失真:一般放大器的理想频率响应曲线如图5所示。在曲线的中间部分,放大量基本保持不变,用Ko来表示;在曲线两端,即高频端和低频端,放大量显着下降。当频率f等于fD或fG时,放大量降低到额定值,我们用KD和KG代表对应于fD和fG的放大量。当f<fD和f>fG时,放大量降低到额定值以下。fD称为低频截止频率,fG称为高频截止频率。

频率特性曲线中段的放大量Ko,与截止频率时的放大量KD或KG之比,称为频率失真系数,用字母M来表示。即

式中MD称为低频频率失真系数;MG称为高频频率失真系数。

变压器的频率失真是由线圈的电感和分布电容所引起的。在低频时,主要受初级线圈电感的影响,初级线圈电感量越大,失真越小;在高频时,主要受漏电感和分布电容的影响,漏电感和分布电容越小,失真越小。

为了使低频频率失真不超过一定值,初级线圈电感量不得小于一定值。这是设计输出变压器时应着重考虑的一个问题。

同样,为了使高频频率失真不超过一定值,变压器漏电感和分布电容不得大于一定值。通常情况下,设计正确和绕制良好的音频输出变压器的漏电感和分布电容都是符合要求的。因此,在简易设计时可不加考虑。

2.非线性失真:输出变压器的非线性失真主要是由于铁心材料磁化曲线的非直线性所引起的。它随着铁心中磁通密度的增加而加大,而随着信号频率的提高而减小。为了减小非线性失真,铁心中的实际磁通密度值不能象设计电源变压器那样取得很大。一般情况下不应超过6000高斯。质量较好的铁心(如D42~D44、D310~D340等)或对非线性失真要求不严时,可取到8000高斯。

输出变压器的设计步骤

1.确定变压器初级最小电感量:初级最小电感量可由下式算出:

L1=Raa2πFDMD2-1(亨利)……(2.2)

式中Raa为推挽功率放大管屏至屏最佳负载阻抗,单位为欧姆,具体数值可参考表2.1。fD为低频截止频率,单位为赫兹。MD为低频频率失真系数。

将公式2.2简化,可写成:

L1=12πMD2-1·Raa;fD

=α·RaafD(亨利)……(2.3?

式中α=12πMD2-1。

通常情况下,频率失真系数用分贝表示,如果应用公式(2.3)计算,应加以换算,而不能将分贝值直接代入。换算关系可参考表2.2。

表2.2

分贝 3.5 3 2.5 2 1.5 1 0.5

MD 1.50 1.41 1.33 1.26 1.19 1.12 1.06

α 0.14 0.16 0.18 0.21 0.24 0.32 0.45

质量要求较高的输出变压器,MD值应在1.26(即2分贝)以下。一般要求的输出变压器,MD值可放宽到1.50(即3.5分贝)以下。

2.确定铁心型号和规格:输出变压器所需铁心最小截面积可由下式近似地求出:

S′c=12.5ηPsc;fD(厘米)2……(2.4)

式中:Psc为变压器的输出功率,单位为瓦特;η为变压器的效率,其数值的确定仍可参考表1.1

公式2.4适用于一般硅钢片制成的铁心,当使用质量很差的旧有铁心片时,式中的系数可取15或更大一些。

根据计算所得铁心最小截面积S′c,可从变压器常用铁心片规格表中,找到相应型号、规格的铁心,便可查出实际铁心截面积Sc。当然,Sc应大于或至少等于S′c。

3.确定初级圈数:当铁心片型号确定后,磁路长度lc便可从规格表中查出。这时,初级圈数为:

N1=(400~500)L1·lcSc(匝)……(2.5)

公式2.5中系数选取的原则是:一般情况下取400~450左右;当铁心片质量不好或窗口面积足够大时,可选取450~500左右。

4.检查最大磁通密度:利用公式

BM=105fDPsc;Sc·lc(高斯)……(2.6)

可近似计算出铁心中最大磁通密度值。为了使非线性失真不超过允许值,BM不应大于6000~8000高斯。

5.确定圈数比,计算次级圈数:圈数比可利用下述公式进行计算:

n=Rfzη·Raa……(2.7)

式中Rfz为输出变压器负载阻抗。这时,次级线圈圈数为:

N2=n·N1……(2.8)

6.确定各绕组导线直径和型号:输出变压器初级绕组中通过的电流,不但有功率放大管屏流中的直流成分,同时还有音频信号电流的交流成分。

通过每半个初级绕组的直流成分的最大值为:

I-=Iam/2……(2.9)

通过初级绕组的交流电流成分为:

I~=Pscη·Raa……(2.10)

所以,通过初级绕组的总电流为:

I1=I-2+I~2

=(Iam2)2+Psc;η·Raa……(2.11?

在简易设计情况下,一般可用下面近似公式进行计算

I1≈Iam(毫安)……(2.12)。

次级绕组中只有音频电流,所以

I2=PscRfz(安培)……(2.13)

这时,初、次级绕组导线直径分别为:

式中Iam为推挽放大管屏流最大值,单位为毫安。

公式2.14适用于电流密度为2.5安/毫米2的情况;公式2.15适用于电流密度为3安/毫米2的情况。根据计算结果,可从漆包线规格表中选择适当型号、规格的导线。

7.验算并列出变压器绕制规格表:可参照电源变压器简易设计的有关内容进行初步核算和最后验算。

设计举例

现在我们以150瓦(参见美多A—150型)扩音机输出变压器为例,进行设计和计算。

从表2.1可知,用四只FU—7电子管作甲乙2类并联推挽放大,当屏压为600伏,帘栅压为300伏,栅压为-30伏,最大屏极电流为400毫安,屏至得最佳负载阻抗为3330欧姆时,最大输出功率可达150瓦。

1.确定初级最小电感量:当频率失真在80~8000赫范围内不超过±2分贝时,根据公式2.3和表2.2,可求出初级最小电感量为:L1=αRaaFD=0.21×3330;80≈8.74亨利

2.确定铁心型号、规格:从表1.1中查出,当变压器功率为150瓦时,效率η可取0.85。这时铁心最小截面积为:S′c=12.5ηPsc;fD=12.50.85×150;80≈20厘米2。

查铁心规格表,选取GEIB35×70铁心,则实际截面积为Sc=22.3厘米2。经过计算我们还可以看到,当低频截止频率fD选为100赫时,铁心可选取35×60型;当fD选为150赫时,铁心可选取35×52型。

3.确定初级圈数:根据公式2.3可求得

N1=450L1·lcSc=4508.47×20;22.3≈1260匝。

4.检查最大磁通密度:根据公式2.6可知

BM=105FD·Psc;Sc·lc=10580·150;22.3×20≈6500高斯,满足要求。

5.确定圈数比,计算次级圈数:由于次级线圈为抽头式结构,有0—监听—100—150—200—250欧姆等六个引出线头,分别用0、1、2、3、4、5六个数字来标志(见图6),在计算各抽头之间的圈数时,就应先分别求出各个圈数比的数值。根据公式2.7可得:

n02=Rfz02ηRaa=100;0.85×3330≈0.19;

n03=Rfz03ηRaa=150;0.85×3330≈0.23;

n04=Rfz04ηRaa=200;0.85×3330≈0.27;

n05=Rfz05ηRaa=250;0.85×3330≈0.30。

这时,次级各抽头与“0”端之间的圈数分别为:N02=n02·N1=0.19×1260≈240匝;N03=n03· N1=0.23×1260≈290匝;N04=n04·N1=0.27×1260≈340匝;N05=n05·N1=0.30×1260≈378匝。监听引出线头从“0”端开始,有2圈即可,即N01=2匝。

6.确定各绕组导线直径及型号:为了减小漏电感和分布电容,在绕制时,把次组分成两个相同的绕组并联使用,而将初级绕组夹在中间。因此,每个次级绕组的输出功率应为总输出功率的一半。即P′sc=Psc2=150;2=75瓦。根据公式2.14可求得:

为了绕制方便,次级除N02绕组外,其余各抽头之间的线圈都用同一种规格漆包线绕制。查高强度漆包线规格表(见本刊1976年第1、2期)可得:d1=0.47毫米;d′1=0.53毫米;S1=0.17毫米2;d02=0.67毫米;d′02=0.75毫米;S02=0.35毫米2;d03=0.6毫米;d′03=0.67毫米;S03=0.28毫米2。

7.验算并列出变压器绕制规格表:线包排列结构图见图6。其它各项验算可参考电源变压器简易设计有关内容进行。

推动变压器的简易设计

扩音机功放级的电子管用于甲乙2类和乙类工作状态时,栅极输入信号的正半周会有栅流产生,要消耗一定的功率。这时,它的推动级不但要提供一定的推动电压,而且还必须提供足够的推动功率。所以,推动级与功率放大级之间一般应使用变压器来交连,以减小失真。这个变压器叫做推动变压器。推动变压器除起着不失真地传递信号电压和功率以外,还起着倒相的作用。它对推动级来说,相当于负载。

在设计推动变压器时,为了得到良好的频率响应,变压器初级必须具有足够的电感量,并且线包应采用分段、分层绕制方法,以减小漏电感和分布电容。另外,由于推动变压器次级绕组和功率放大管的栅极电路串联在一起,变压器的次级阻抗就相当于功放级信号源的内阻。当有栅流通过时,在这个内阻上会产生电压降,于是信号产生失真。为了减小这种失真,提高稳定度,信号源内阻应尽量减小。采取的措施是:①使用较大直径的导线绕制次级线圈,以降低直流电阻;②因为初级圈数越多于次级圈数时,初级阻抗对次级阻抗的影响越小,所以推动变压器一般都采用降压形式。

一、设计步骤

推动变压器的设计步骤和输出变压器相似。

1.确定初级电感量 计算公式为L1=aR/fD(亨利)……(3.1)。式中R为推动管屏极最佳负载阻抗,单位为欧姆。当推动级为单管放大时,R=Ra;推动级为推挽放大时,R=Raa。α、fD的选取方法同输出变压器。

2.确定铁心的型号、规格 当推动级为单管放大时,所需铁心最小截面积为

S′C=(20~30)PfD(厘米2)

…………………… (3.2);

当推动级为推挽放大时,所需铁心最小截面积为

S′C=(15~20)PfD(厘米2)

…………………… (3.3)。

式中P为推动级输出功率,单位为瓦特。具体数值可从表2.1和表3.1中选取。表3.1中列出的是几种电子管在甲类单管功率放大时的特性数据。

为了减小失真,推动级的输出功率P,不应大于推动管最大输出功率PM的80%,但应不小于功率放大级所需推动功率的两倍。

根据计算得来的S′C,查规格表选取相应型号的铁心,从中即可查出实际截面积SC和磁路长度IC。SC应大于或等于S′C。

3.确定初级圈数 在单管放大情况下,

N1=(450~550)L1·lCSC(匝)

…………………(3.4)。

在推挽放大情况下,

N1=(350~450)L1·lCSC(匝)

…………………(3.5)。

4.检查最大磁通密度 检查公式为

BM=105fD·P;SC·lC(高斯)

…………………(3.6)。

根据上式计算出来的BM值,不应大于6000高斯,否则需增加铁心截面积,重新计算。

5.确定变压比,计算次级圈数 首先求出初级音频电压峰值

U1M=1.5P·R(伏)……(3.7)。

从表2.1可查出功率放大级栅至栅所需推动电压的峰值U2M,则变压比为n=U2M/ηU1M………(3.8)。这时次级总圈数为

N2=n·N1(匝)……(3.9)。

6.确定各绕组导线的型号和规格 推动级为单管放大时,工作状态都为甲类。从无信号到信号最大,屏流变化很小,所以在计算初级导线的直径时,应采用最大信号时的屏流IaM;推动级为推挽放大时,可认为初级电流I1=IaM,所以初级导线的直径可按下式计算:

d1=0.023IaM(j=2.5安/毫米2)

d1=0.02IaM(j=3安/毫米2)

d1=0.019IaM(j=3.5安/毫米2)

………(3.10),

式中d1单位为毫米, IaM单位为毫安;次级导线直径可用下式计算

d2=(1.1~1.2)d1n(毫米)

……………………(3.11),

式中的系数是为了减小次级直流电阻而附加的。根据计算结果,可从漆包线规格表中选择适当型号、规格的导线。

二、设计举例

现在以R-150型扩音机推动变压器为例来计算。从表2.1可查出,当四只FU-7电子管作甲乙2类并联推挽放大,输出功率为150瓦时,所需推动功率为0.8瓦,栅至栅推动电压峰值需88伏。由于所需推动功率不大,可选用单管放大电路。在这里我们选用电子管6P6P作甲类放大。

从表3.1可查出,当6P6P屏压为250伏,帘栅压为250伏,栅压为-12.5 伏,负载阻抗为5000欧时,最大输出功率为4.5瓦;当屏压为315伏,帘栅压为225伏,栅压为-13伏,负载阻抗为8500欧时,最大输出功率为5.5瓦。根据上面这些数据,我们就可以大致估计出R-150型扩音机在典型工作状态下(6P6P屏压为288伏,帘栅压为235伏,栅压为-14.5伏)的一些数据:屏极负载阻抗约6000欧,最大输出功率约4.8瓦,最大屏极电流约40毫安。

①确定初级最小电感量 频率响应范围仍然取80~8000赫±2分贝,根据3.1式可得:

L1=αRafD=0.21×6000;80≈15.75亨。

②确定铁心型号、规格 选择推动级输出功率为最大输出功率的75%,则

P=0.75PM=0.75×4.8≈3.5

瓦。根据3.2式得:

S′C=25PfD=253.5;80≈5.25厘米2。

查铁心规格表,可选取GEIB22×28型铁心。此时,SC=5.62厘米2,lC=12.6厘米(也可以选用GEIB19×32型铁心,此时SC=5.53厘米2, lC=10.9厘米)。

③确定初级圈数 根据公式3.4可得:

N1=470L1·lCSC=47015.75×12.6;5.62≈2800匝。

④检查最大磁通密度 根据公式3.6得:

BM=105fD·P;SC·lC=10580·3.5;5.62×12.6≈2487

高斯。满足要求。

⑤确定变压比,计算次级圈数 根据公式(3.7),求出初级音频电压峰值为:

U1M=1.5PRa=1.53.5×6000≈217.5

伏。从表2.1中查出4×FU-7栅至栅所需推动电压峰值为U2M=88伏。从表1.1中查出,当变压器功率为10瓦以下时,效率为0.7~0.75,我们取η=0.75。此时变压比为

n=U2MηU1M=88;0.75×217.5≈0.539

所以,次级圈数为N2=nN1=0.539×2800≈1500匝。

⑥确定各绕组导线直径、型号

取电流密度j=3安/毫米2,根据公式3.10和3.11可得:

d1=0.02IaM=0.0240≈0.127毫米;

d2=1.2d1n=1.2×0.127;0.539≈0.208毫米。

查QQ型高强度漆包线规格表可得:d1=0.13毫米,d′1=0.16毫米,S1=0.01327毫米2;d2=0.21毫米,d′2=0.25毫米, S2=0.03464毫米2。

⑦验算并列出变压器绕制规格表 具体验算方法本文从略。绕制规格表可参照表3.2自行填写。变压器结构图见附图。

阻流圈的简易设计

在电子管扩音机中,阻流圈的作用是与滤波电容器相配合,使整流后的直流电压趋于稳定,以满足放大电路对波纹系数的最低要求。

设计步骤

1.确定电感量 从电路分析可知,当使用L型(电感输入式)滤波电路时,输出端的波纹系数为

rL=1.19/LC……(4.1)。

式中L为阻流圈的电感量,单位为亨利;C为滤波电容器的电容量,单位为微法。

当使用π型(电容输入式)滤波电路时,输出端的波纹系数为

rπ=3439C1·C2·L·R

=3439I0′C1·C2·LU0?

……(4.2)。

式中L为阻流圈电感量,单位为亨利;C1、C2分别为滤波输入、输出电容的电容量,单位为微法;R为负载直流电阻,单位为欧姆;U0′为负载所需的直流电压,单位为伏特;I0′为负载消耗的总电流,单位为安培。

当已知电路所需的波纹系数并选定滤波电容器的电容量时,便可从公式(4.1)或(4.2)求出阻流圈所需的最小电感量。各种放大电路对波纹系数的要求可参照表4.1。

表4.1

电路 波纹系数(%)

话筒放大级 0.001~0.002

电压放大级 0.01~0.05

推动放大级(单管) 0.05~0.1

推动放大级(推挽) 0.1~0.5

功率放大级(单管) 0.1~0.5

功率放大级(推挽) 0.5~3

2.确定阻流圈最大电阻值 当放大电路所需直流电压U0′和电流I0′为已知时,便可根据下式求出滤波输入端应有的电压和电流。即:U0=1.1U0′;I0=1.1I0′。

当整流电路已确定时,也可根据整流器的输入交流电压(即变压器次级电压)、整流电路的型式、滤波电路的型式来确定滤波器输入端的直流电压。对于全波桥式整流电路来讲,当使用电感输入滤波电路时,其输出端电压为

U0=2π·2U2=0.89U2(伏)

……(4.3)。

当使用电容输入滤波电路时,输出电压为

U0=2U2-106·I04fC

=1.4U2-5000I0C(伏)

…… (4.4)。

式中I0为整流器输出总电流,可用上面讲到的公式I0=1.1I0′来计算,单位为安培;C为滤波器输入电容,单位为微法。

通常要求阻流圈上的最大电压降不得超过U0的10%,所以阻流圈的最大电阻值为

RM=(0.02~0.1)U0I0……(4.5)

在一般计算时,系数可取0.05左右。

3.确定铁心型号、规格 铁心结构常数可利用下述公式计算

A=L/RM·μ……(4.6)

式中μ为有空气间隙时的起始等效导磁率,其数值可以从图2中查出。

求得铁心结构常数后,便可以从铁心片规格表中查出适当型号、规格的铁心。当然,所选铁心实际结构常数值应大于或至少等于计算值。

4.确定线圈圈数 线圈圈数可用下述公式计算:

N=8.92×103L·ιcμ·Sc(匝)……(4

式中ιc为平均磁路长度,单位为厘米;Sc为铁心截面积,单位为厘米2。

5.确定导线直径、型号

根据计算结果,可从漆包线规格表中选择适当型号、规格的导线。上式中d的单位为毫米。

6.确定最佳空气间隙值 利用下式求出单位长度导磁体上的磁化强度值

fm=I0Nιc(安匝/厘米)……(4.9)

然后从图1中查出辅助量y值,再利用下述公式便可计算出最佳空气间隙值:

δ=y2×ιc……(4.10)

7.验算 ①验算线圈的电阻。先求出阻流圈每圈导线的平均电阻值:

r=〔2×(L0+B)+πL1〕ρ×10-6(欧姆)……(4.11

式中ρ为导线每千米的电阻值,则线圈总直流电阻为

R=rN……(4.12)

计算结果,R应小于RM,才能保证电压降不超过额定值。否则应调导线直径和圈数重新计算,直到满足要求为止。

设计举例

现在以R150型150瓦电子管扩音机为例进行设计。这种扩音机使用四只FU—7作并联推挽,从表2.1可知,屏压为600伏,最大屏流为400毫安时,输出功率可达150瓦。

1.确定阻流圈电感量 从表4.1中可查出,推挽功率放大级波纹系数允许为(0.5~3)%,我们取2%。由于150瓦扩音机末级高压使用L型滤波电路,滤波电容为10~16微法(R—150型扩音机为10微法),所以可利用公式(4.1)来计算阻流圈的最小电感量L=1.19/rL·C=1.19/0.02×10≈6亨利。

2.确定线圈最大电阻值 因为U0=1.1 U0′=1.1×600=660伏;I0=1.1 I0′=1.1×0.4=0.44安。当阻流圈最大压降为U0的5%时,根据(4.5)式可得到RM=0.05 U0/I0=0.05×600/0.44≈68欧。

3.确定铁心型号、规格 当LI02=6×0.442≈1.16时,可从图2中查出D42型硅钢片有空气隙时的起始等效导磁率μ=102。根据公式(4.6),可求出铁心结构常数为A=L/RM·μ=6/68×102≈86×10-5。从铁心规格表中可查出GEIB35×52型铁心可满足要求。这时,Sc=16.6厘米2,ιc=20厘米。

4.确定线圈圈数 根据公式(4.7),线圈圈数为

N=8.92×103I·ιcμSc=8.92×1036×20;102×16.6≈2600匝

5.确定导线直径、型号 取j=2.5安/毫米2,根据公式(4.8),d=0.7I0=0.7·0.44≈0.47毫米。查高强度漆包线规格表(见本刊1975年第4期),取QZ-1型漆包线,可得d′=0.51毫米,S=0.1735毫米2,ρ=105.2欧/千米。

6.确定最佳空气间隙值 根据公式(4.9)求出:fm=I0·N/ιc=0.44×2600/20≈57.5(安·匝/厘米)。从图1中查出辅助值y=0.011,根据公式(4.10)就可求出最佳空气间隙值δ=y·ιc/2=0.011×20/2=0.11毫米。

7.线圈电阻的验算。根据公式(4.11),平均每圈导线的电阻为r=〔2(L0+B)+πL1〕)ρ×10-6=〔2(35+52)+3.14×22〕×105.2×10-6≈-0.026欧。则线圈的总电阻为R=rN=0.026×2600≈67欧。因为R<RM,所以设计结果满足要求。

相关问答

纯后级功放单声道 350 瓦耗电量多大?

问题不够详细。输出350W,是电子管功放,还是晶体管功放,还是集成电路功放;是甲类功放,还是乙类功放?输出功率相同,不同种类的功放,耗电量是不同的。但有...输...

6l6g 电子管 参数寿命?

6l6g电子管参数:类型:旁热式束射四极管主要用途:低频功率放大(极限运用数据)灯丝电压(Uf)=6.3V;灯丝电流(If)=0.96A;最高阳极电压(Uamax)=500V(400V......

斯巴克MM-5怎么样?

CAYIN凯音斯巴克MM-5,电子管桌面HiFi音响,市场价3,580元-----应该和电脑差不多价钱啦,如果是音响发烧友的话,不算贵;如果只是让电脑有点声音的话,20--350元...

电子管 功放机价格大概是多少_土巴兔装修问答

电路设计上多采用直耦式(OCL、BTL等)无输出变压器电路,输出功率可以做得很大,可达数百瓦,各项电性能都做得很高。电子管放大器是在高电压、低电流...

什么是高频对讲机?

[回答]高频炉的冷却方式是通过电子管振荡电路产生高频电磁场,然后加到样品之上,对样品展开感应器,产生涡电流(涡流),从而产生焦耳热,使样品很快加剧熔融,...

手机界的老大你认为是谁?

手机界的老大很多人会认为是三星或者苹果甚至是诺基亚,但是在我看来应该是华为,为什么是华为呢,最主要的原因有几点,不知道各位朋友是否认同。第一点:美国...现...

电子风速仪价格如何?_土巴兔装修问答

看你要什么样的规格,一般定做的要1000元钱.材料不一样价格又会贵一点,SUMMIT-350是最便宜的,TN-2423是最贵的。电子风速仪价格1600.00元/个上海隆...

硼砂为什么可以杀蟑螂 - mtzUd1yXL 的回答 - 懂得

是硼砂不是硼酸,两者并非一种东西。杀蟑螂的物理方法,就是到药店买硼砂,用面粉和硼砂各50%,再配合奶粉和白糖若干揉面,将揉好的面团分成很多小块放...

77330功放适用哪些手机?

一套良好的音响系统功放的作用功不可没。按照使用元器件的不同,功放又有“胆机”[电子管功放],“石机”[晶体管功放],“IC功放”[集成电路功放]。...

谁知道液化气烧烤炉好还是木炭烧烤好?_住范儿家装官网

烧烤炉是一种烧烤设备,可以用来做羊肉串、烤肉等。烧烤炉分为3种,碳烤炉、气烤炉和电烤炉,其中气烤炉和电烤炉以无油烟、对产品无污染而备受欢迎。...

标签:

相关阅读