电子频谱技术应用论文 「学术论文」基于特征值对数分布的频谱感知算法

小编头像

小编

管理员

发布于:2026年04月14日

102 阅读 · 0 评论

「学术论文」基于特征值对数分布的频谱感知算法

在实际通信环境中,对于认知无线电(Cognitive Radio,CR)[1]的频谱感知,针对信号相关和噪声不确定现象很可能同时存在的问题,国内外学者们提出了许多有效的频谱感知方法[2-4],这些方法成功地规避了经典检测法的缺点。随着认知无线电技术的广泛发展与深入研究,基于随机矩阵理论(Random Matrix Theory,RMT)的频谱感知方法成为了研究热点[5-6]。文献[7]中利用了Wishart矩阵最大特征值的分布,将算术平均特征值近似为噪声的方差,得到了较高的检测性能,但在采样点数小、信噪比低时,性能略差;针对最小特征值的极限分布比最大特征值的极限分布更精确这一条件,文献[8]、[9]分别利用了最小特征值的一阶和二阶Tracy-Widom分布特性,通过减小判决门限来提高检测性能,但Tracy-Widom函数求解很困难,只能通过查表获得一些离散值;文献[10]、[11]中利用多元统计理论和协方差矩阵的分布特性,得到特征值表达式的对数分布形式,但在低信噪比条件下,需通过增加样本点来提高检测性能;文献[12]中利用了卡方分布和中心极限定理,推导出了算术平均特征值的分布特性,其中AME(Average to Maximum Eigenvalue)算法的检测性能要在较多协作用户数条件下才高于最大最小特征值算法[13]。

针对以上各算法的问题,本文运用接收信号的样本协方差矩阵几何平均特征值的对数分布规律特性,提出了一种基于样本协方差矩阵最大最小特征值之差与几何平均特征值(Difference between the Maximum-Minimum and Geometric mean eigenvalue,DMMG)比值的频谱感知算法,并对该算法的感知性能进行了理论分析和仿真验证。与其他算法相比,该算法检测性能较好,受样本中极端值和虚警概率的影响较小,且判决门限十分简单。

1 系统模型

1.1 多用户协作频谱感知场景

本文采用图1所示的认知无线电网络系统。该系统由多个主用户(Primary User,PU)、多个认知用户(Secondary User,SU)、一个主用户基站(Primary Base Station,PBS)和一个认知用户基站(Secondary Base Station,SBS)组成,PU通过PBS进行通信,SU通过多用户协作的方式对PBS发射的信号进行接收和采样,并将这些采样数据送到SBS中进行相应的处理,从而判断该段频谱是否空闲,实现多用户协作频谱感知。

1.2 频谱感知模型

SU通过对接收信号的检测来判断PU信号是否存在,用H1表示噪声与信号同时存在的情况,用H0表示只有噪声的情况,则整个检测过程可以建模为一个二元假设检测模型:

2 DMMG算法的理论分析

2.1 样本协方差矩阵的几何平均特征值特性

当PU信号不存在时(H0),则:

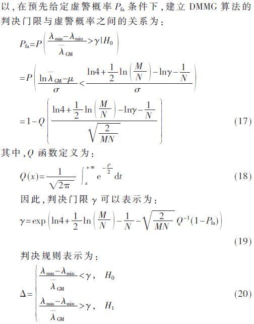
2.2 DMMG算法的判决门限推导

2.3 DMMG算法判决门限的有效性

由判决门限表达式(19)可知,γ只与采样点数N、协作用户数M和虚警概率Pfa有关。给定Pfa=0.01,M=10,进行仿真,如图2所示。由仿真结果可知,γ随采样点数的变化而动态调整;在不同采样点数情况下,γ的关系曲线位于只有噪声情况下的关系曲线的上方;由于存在虚警概率,在只有噪声情况下的值也可能存在极少的点位于γ关系曲线的上方。根据判决规则式(20)可知,仿真结果已验证DMMG算法判决门限的有效性。

3 算法性能仿真

3.1 仿真环境及工具

本文分别从不同信噪比、协作用户数、采样点数、虚警概率以及样本中存在极端值情况5个方面对DMMG算法进行仿真分析。在仿真中,DMMG算法将与AMME(Average to Maximum-Minimum Eigenvalue)、NMME(Novel Maximum-Minimum Eigenvalue)、AME以及BESD(Blind Eigenvalues Detection)算法进行比较;实验采用10 000次的Monte Carlo仿真,仿真平台为MATLAB(R2013a)。

3.2 仿真结果及分析

3.2.1 检测概率与信噪比的关系

各种算法在不同信噪比(dB)情况下的检测性能如图3所示。其中N=100,Pfa=0.05,M=5。由图可知,在低信噪比条件下,DMMG算法的检测性能高于其他4种算法,当SNR=-6 dB时,DMMG算法的检测概率已达0.954。当采样点数为100、虚警概率为0.05、协作用户数为5时,信噪比在-20 dB~-5 dB的范围内,DMMG算法的性能最好。

3.2.2 检测概率与协作用户数的关系

各种算法在不同协作用户数情况下的检测性能如图4所示,其中N=200,Pfa=0.05,SNR=-8 dB。由图可知,在小协作用户数情况下,DMMG算法的检测性能最佳。当M=5时,DMMG算法获得0.938的检测概率。在采样点数为200、虚警概率为0.05、信噪比为-8 dB时,协作用户数在3~6的范围内,DMMG算法的感知性能最优。

3.2.3 检测概率与采样点数之间的关系

各种算法在不同采样点数情况下的检测性能如图5所示,其中M=5,Pfa=0.05,SNR=-8 dB。由图可知,在相同采样点数情况下,检测概率最高的是DMMG算法;当N=200,DMMG算法已达0.933的检测概率,优于其他算法。在虚警概率为0.05、信噪比为-8 dB、协作用户数为5时,采样点数大于协作用户数并小于350的范围内,DMMG算法的感知性能最高。

3.2.4 样本中极端值对检测性能的影响

表1列出了当N=120时,各种算法在是否存在极端值两种情况下检测概率的偏差(取正值)。可见其中DMMG算法的偏差最小。

在是否存在极端值两种情况下各种算法的检测概率随采样点数变化的关系曲线如图6所示,其中M=10,Pfa=0.05,SNR=-10 dB。当样本中存在极端值时,BESD算法几乎完全丧失检测性能,NMME和AME两种算法的关系曲线与理想情况(无极端值)下存在较大的差异。DMMG算法在是否存在极端值两种情况下的仿真曲线均位于AMME算法关系曲线的上方。综上,DMMG算法受样本中极端值的影响较小,其检测性能优于其他4种算法。

3.2.5 检测概率与虚警概率的关系

检测概率随虚警概率变化的关系曲线如图7所示,其中,M=10;采样点数N=100,200,350;信噪比SNR=-10 dB,-15 dB。结果表明,当虚警概率从0.01增加到0.1,在不同的采样点数和信噪比情况下,DMMG算法的检测概率增加均不到0.1。由此可知,DMMG算法受虚警概率的影响较小。

4 结论

本文运用特征值的对数分布特性,提出了一种基于接收信号样本协方差矩阵最大最小特征值之差与几何平均特征值比值的新算法,即DMMG算法。该算法不敏感于噪声不确定性,不依赖于Tracy-Widom定理,通过与AMME、NMME、AME和BESD 4种算法相比较可得:DMMG算法在低信噪比、低协作用户数以及低样本点数条件下,具有更好的检测性能,当满足协作用户数多于3少于6,采样点数大于协作用户数并小于350,信噪比在-20 dB~-5 dB的范围内,DMMG算法的感知性能达到最优。此外,DMMG算法的感知性能较为稳定,受虚警概率和样本中极端值的影响较小。

5篇关于AI ML的热门研究论文

惊人的论文……

> Pic credits : Pinterest

Qlib:面向AI的量化投资平台

作者:杨晓,刘卫清,周冬,姜边,刘铁岩

摘要—

量化投资旨在在一系列金融工具上的连续交易期间内,最大化回报,并最大程度地降低风险。最近,受AI技术的飞速发展和巨大潜力的启发,该技术在定量投资方面产生了显着的创新,因此越来越多地采用AI驱动的工作流进行定量研究和实际投资。在丰富定量投资方法的同时,人工智能技术对定量投资系统提出了新的挑战。特别是,用于定量投资的新学习范例要求对基础设施进行升级,以适应更新后的工作流程;此外,人工智能技术的数据驱动特性确实表明对具有更强大性能的基础架构的需求。此外,应用人工智能技术解决财务场景中的不同任务也存在一些独特的挑战。为了应对这些挑战并弥合AI技术与量化投资之间的差距,我们设计和开发了Qlib,旨在实现潜力,增强研究能力并创造AI技术在量化投资中的价值。

论文可以在这里找到:https://arxiv.org/pdf/2009.11189v1.pdf

代码可以在这里找到:https://github.com/microsoft/qlib

自我注意生成对抗网络

作者:张涵,伊恩·古德费洛,迪米特里斯·梅塔克萨斯,奥古斯都·奥德纳

摘要—

自我注意生成对抗网络(SAGAN)允许对图像生成任务进行注意力驱动的远程依赖性建模。传统的卷积GAN生成高分辨率细节,仅作为低分辨率特征图中空间上局部点的函数。在SAGAN中,可以使用来自所有要素位置的提示来生成细节。此外,鉴别者可以检查图像的远处部分中的高度详细的特征是否彼此一致。此外,最近的工作表明,发电机调节会影响GAN性能。利用这种见解,我们将频谱归一化应用于GAN生成器,并发现这可以改善训练动态。拟议中的SAGAN取得了最先进的结果,在具有挑战性的ImageNet数据集上,将最佳已发布的Inception分数从36.8提高到52.52,并将Frechet Inception距离从27.62降低到18.65。注意层的可视化显示生成器利用了与对象形状相对应的邻域,而不是固定形状的局部区域。

论文可以在这里找到:https://arxiv.org/pdf/1805.08318v2.pdf

代码可以在这里找到:https://github.com/brain-research/self-attention-gan

AdaBelief优化程序:根据观察梯度中的信念调整步长

庄俊堂,汤米(Tommy Tang),丁一凡,Sekhar Tatikonda,尼莎·德沃涅克(Nicha Dvornek),色诺芬·帕帕德米特(Xenophon Papademetris),詹姆斯·邓肯(James S.Duncan)

摘要—

最受欢迎的深度学习优化器可大致分为自适应方法(例如Adam)和加速方案(例如具有动量的随机梯度下降(SGD))。对于许多模型,例如卷积神经网络(CNN),与SGD相比,自适应方法通常收敛速度更快,但泛化效果更差。对于诸如生成对抗网络(GAN)之类的复杂环境,自适应方法通常由于其稳定性而成为默认方法。我们提出AdaBelief同时实现三个目标:自适应方法中的快速收敛,SGD中的良好通用性以及训练稳定性。 AdaBelief的直觉是根据当前梯度方向上的"信念"调整步长大小。将噪声梯度的指数移动平均值(EMA)视为下一步的梯度预测,如果观察到的梯度大大偏离了预测,则我们不信任当前的观察结果,而是走了一小步。如果观测到的梯度接近于预测值,我们相信它并采取了较大的步骤。我们在广泛的实验中验证了AdaBelief,表明它在图像分类和语言建模方面具有快速收敛和高精度的性能,优于其他方法。具体来说,在ImageNet上,AdaBelief的准确性可与SGD相提并论。此外,在Cifar10上进行GAN训练时,与经过良好调整的Adam优化器相比,AdaBelief表现出高稳定性并提高了生成样本的质量。

论文可以在这里找到:https://arxiv.org/pdf/2010.07468v4.pdf

代码可以在这里找到:https://github.com/juntang-zhuang/Adabelief-Optimizer

全卷积网络的端到端目标检测

王建峰,林松,李泽明,孙宏斌,孙建,郑南宁

摘要—

基于全卷积网络的主流目标检测器取得了令人印象深刻的性能。尽管它们中的大多数仍需要手动设计的非最大抑制(NMS)后处理,这阻碍了全面的端到端培训。在本文中,我们对丢弃NMS进行了分析,结果表明适当的标签分配起着至关重要的作用。为此,对于全卷积检测器,我们引入了预测感知的一对一(POTO)标签分配进行分类,以实现端到端检测,并获得了与NMS相当的性能。此外,提出了一种简单的3D最大滤波(3DMF),以利用多尺度特征并提高局部区域卷积的可分辨性。借助这些技术,我们的端到端框架在COCO和CrowdHuman数据集上使用NMS可以与许多最先进的检测器相媲美。

论文可以在这里找到:https://arxiv.org/pdf/2012.03544v1.pdf

代码可以在这里找到:https://github.com/Megvii-BaseDetection/DeFCN

注意液体翘曲GAN:用于人类图像合成的统一框架

刘雯,朴志新,智途,罗文涵,马琳,高盛华

摘要—

我们在统一的框架内处理人的图像合成,包括人的动作模仿,外观转换和新颖的视图合成。这意味着该模型一旦经过训练,便可以用于处理所有这些任务。现有的特定于任务的方法主要使用2D关键点来估计人体结构。然而,它们仅表达位置信息,而无法表征人的个性化形状并模拟肢体旋转。在本文中,我们建议使用3D身体网格恢复模块来解开姿势和形状。它不仅可以模拟关节的位置和旋转,还可以表征个性化的身体形状。为了保留源信息,例如纹理,样式,颜色和脸部身份,我们提出了一种带有"注意液体翘曲块"(AttLWB)的"注意液体翘曲GAN",它将图像和特征空间中的源信息传播到合成参考。具体地,通过降噪卷积自动编码器提取源特征以很好地表征源身份。此外,我们提出的方法可以支持来自多个来源的更灵活的变形。为了进一步提高看不见的源图像的泛化能力,应用了一次/少量的对抗学习。详细地,它首先在广泛的训练集中训练模型。然后,它以自我监督的方式通过一张/几张未拍摄的图像微调模型,以生成高分辨率(512 x 512和1024 x 1024)的结果。此外,我们建立了一个新的数据集,即iPER数据集,用于评估人体运动模仿,外观转移和新颖的视图合成。大量的实验证明了我们方法在保持面部特征,形状一致性和衣服细节方面的有效性。

论文可以在这里找到:https://arxiv.org/pdf/2011.09055v2.pdf

代码可以在这里找到:https://github.com/iPERDance/iPERCore

(本文由闻数起舞翻译自Bloomberg的文章《5 Trending AI/ML Research Papers》,转载请注明出处,原文链接:https://medium.com/datadriveninvestor/5-trending-ai-ml-research-papers-60f4b255f05d)

相关问答

信号与信息处理的 应用领域 以及发展趋势

根据美国的权威资讯公司统计,目前可编程DSP在市场上的使用情况如下:.通信占56.1%;.计算机占21.16%;.消费电子和自动控制占10.69%;.军事/航空占4...

英语翻译DecolorizationoftextiledyebyCandidaalbicansisolat...

[回答]脱色纺织染料的白色念珠菌分离工业废水维维安维托尔.卡洛斯雷纳托高碌街收到:3月20日2008/Accepted:7月30日2008/Published在线:2008年8月20号工...

... 频谱 中12Hz处的幅值.将幅值与相应的小波包重构的信号】作业帮

[最佳回答]我猜可以先用ifft反Fourier变换转换频域信号,求出时域信号,然后积分求能量

球状闪电之谜已经解决了吗?

球状闪电,顾名思义,是由于这种闪电出现的形状类似球形,所以才得名球形闪电。不过,这种闪电并不太常见,一旦出现又常常会造成一定的危害,所以人们对它,多多...十...

通讯 技术 必须要一代一代的发展下去么,可以直接跳过5G直接做6G么?

应邀回答本行业问题。全球范围的移动通信技术是必须一代一代的发展下去的。但是具体到某个国家,其实也不一定非得按照移动制式一代一代的进行部署。全球范围的...

为什么要进行傅立叶变换?傅立叶变换究竟有何意义?

当时审查这个论文的人,其中有两位是历史上著名的数学家拉格朗日(JosephLouisLagrange,1736-1813)和拉普拉斯(PierreSimondeLaplace,1749-...

5G通讯如何达到“高精准度定位”?

Release-16这个版本有何突破?不像外界强调的10Gps传输速度,这次的标准制定更着重于5G通讯对于物联网A-IoT与车联网的应用规范要求,要求通讯标准的效能...

音乐软件的听歌识曲是如何实现的?

最常用的一种方法就是对录音(wav波形声音)进行傅里叶变换,可以得出这段录音的频谱,也就是短时音调-时间图。不过由于录制录音的时候,环境不可能绝对安静,肯...

Hz,KHz,MHz之间的关系是什么?

赫兹赫兹(1857-1894)赫兹,德国物理学家,生于汉堡。早在少年时代就被光学和力学实验所吸引。十九岁入德累斯顿工学院学工程,由于对自然科学的爱好...

求教,通信工程考研面试该怎么准备..._考研_帮考网

2.熟悉通信工程实验室中常用的仪器设备和测试方法,例如光衰减器、光功率计、频谱分析仪等。3.学会阅读和理解相关的学术论文和专业书籍,掌握科研...

标签:

相关阅读