物理电子学应用 电磁学,磁电学与磁电子学

小编头像

小编

管理员

发布于:2026年04月14日

96 阅读 · 0 评论

电磁学、磁电学与磁电子学

孙阳

重庆大学教授

电磁学与磁电学是一回事吗?不是的。

磁电学与磁电子学是一回事吗?也不是。

电磁学electromagnetism

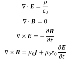
电磁学是研究宏观电磁现象以及电与磁交互关联的物理学分支学科。众所周知,电磁学的精髓可以用麦克斯韦方程组来概括:

其中的电场E和磁场B是根据电荷受力(库仑力和洛伦兹力)来定义的场。第一个方程描述了静电场的特征——静电场是有源场,来源于电荷;第二个方程描述了静磁场的特征——静磁场是无源场,散度为零;第三个和第四个方程描述了电场和磁场的关联——变化的磁场可以产生电场,电流或变化的电场可以产生磁场。

以上是真空中的麦克斯韦方程组,当存在非真空的介质时,麦克斯韦方程组需要改写。为了描述介质中的电磁现象,人们定义了一些物理量:电极化强度P,电位移矢量

磁化强度M,磁感应强度

由此,可以得到介质中的麦克斯韦方程组:

上述介质中的麦克斯韦方程组其实隐含了一个前提假设,即:对于常规的介质,外加磁场H会在介质内部诱导出磁化强度M,外加电场E会在(绝缘)介质内部诱导出电极化强度P,如图1所示。

那么,有没有这样一类介质?外加磁场不仅产生磁化强度而且可以诱导出电极化强度,外加电场不仅产生电极化强度而且可以诱导出磁化强度,如图2所示。

这种由磁场诱导电极化强度和电场诱导磁化强度的现象被称为磁电效应(magnetoelectric effects)。为了强调这是磁和电之间的一种非常规耦合现象,人们也常常把magnetoelectric effects翻译为磁电耦合效应。

显然,对于存在磁电耦合效应的介质,经典麦克斯韦方程组将不足以描述其中的电和磁交互关联的行为。

这样的磁电耦合介质是否真的存在呢?答案是肯定的。

近二十年来,对介质中磁电耦合效应的研究正逐渐发展成为一门新兴的前沿分支学科——磁电学。

磁电学magnetoelectricity

关于磁电耦合效应的研究最早可以追溯到19世纪末。1894年,法国物理学家居里先生(Curie)基于晶体的对称性理论,预言了某些晶体中可能会存在一种本征的磁电耦合效应[1]。1926年,荷兰物理学家德拜(Debye)在总结了前人一系列不太成功的实验后,提出了“magneto-electrical effect”这一名词[2]。

1950-1960年代,前苏联科学家在磁电耦合效应的理论和实验研究方面做出了突破性的贡献。朗道(Landau)和栗弗席兹(Lifshitz)在1960年出版的《连续介质的电动力学》(Electrodynamics of Continuous Media)一书中,已经有关于磁电耦合效应的详细理论描述。1959年,Dzyaloshinskii理论预言了反铁磁体Cr₂O₃中存在磁电耦合效应[3],随后于1960年被Astrov在实验中证实[4]。Cr₂O₃成为第一个被确认的磁电耦合材料。

在此后的十多年里,人们又陆续发现了几十种具有磁电耦合效应的材料。然而,这些材料中的本征磁电耦合效应都很微弱,并无任何应用价值。因此,这些关于磁电耦合效应的早期研究并没有引起太多的关注。

1970年代以后,人们想到了一种增强磁电耦合效应的策略:让铁磁性和铁电性在一种材料中共存,从而有可能促进磁性和电性之间的相互耦合。这一策略直接产生了复合磁电材料(即把铁电体和铁磁体复合在一起,通过两相的界面产生间接的磁电耦合),并催生出了多铁性(multiferroicity)、多铁性材料(multiferroic materials)、多铁体(multiferroics)和磁电体(magnetoelectrics)等新概念和新名词[5]。

2003年,日本东京大学Tokura研究组在TbMnO₃中实现了磁场调控电极化,第一次演示了单相材料中较大的本征磁电耦合效应[6]。这一重大发现重新唤醒了人们对磁电耦合效应的兴趣,同时,由于室温单相多铁性材料BiFeO₃的发现[7],学术界很快掀起了一股对磁电耦合和多铁性的研究热潮[8]。

近二十年来,关于磁电耦合效应的论文已有数万篇,内容涵盖了新材料探索、新奇效应发现、物理机制研究、应用器件开发、实验表征技术发展等各个方面,已逐渐形成了一门完整的新兴分支学科[9]。

需要指出的是,虽然磁电耦合与多铁性的研究密切相关,但是两者是两个独立的概念,多铁性并不是磁电耦合的必要条件。在笔者看来,无论从基础科学还是实际应用的角度出发,磁电耦合要比多铁性具有更基础、更深刻、更重要的内涵。

伴随着磁电耦合效应的研究,学术界出现了一个新的名词magnetoelectricity [10]。与multiferroicity(多铁性)相对应,magnetoelectricity可以被翻译为“磁电性”,泛指与磁电耦合相关的现象。同时,笔者认为,与电磁学(electromagnetism)相对应,magnetoelectricity也可以被称为“磁电学”,用于指称围绕磁电耦合效应而发展起来的一门新兴分支学科。

磁电子学magnetoelectronics

磁电子学与磁电学虽然仅一字之差,内涵却大不同。

磁电子学来源于magneto(磁)+ electronics(电子学)。半导体电子学是现代电子信息技术的基础,其本质是利用电场调控电荷的运动。在传统电子学中,人们几乎忽略了电子除了电荷之外的另一个基本属性——自旋。直到1988年,法国和德国的两个研究组分别独立地在磁性金属多层膜中发现了巨磁电阻(giant magnetoresistance,GMR)效应,其背后的物理机制使得人们开始意识到电子的输运行为可以与自旋自由度密切相关。

此后,随着越来越多与自旋相关的新效应被发现、被预言、被理解、被利用,一个新的前沿分支学科——自旋电子学(spintronics)蓬勃发展起来。两位最先发现巨磁电阻效应的科学家(法国的Fert和德国的Grünberg)也因自旋电子学的兴起而获得了2007年诺贝尔物理学奖。

由于电子自旋伴随着磁矩,也是物质宏观磁性的主要来源,因此,自旋电子学也被称为磁电子学(magnetoelectronics)[11]。

磁电子学/自旋电子学使得人们认识到,如果能够充分发掘和利用电子的自旋自由度,可以带来超越常规的物理性质。目前,对电子自旋自由度的关注几乎贯穿了凝聚态物理所有的前沿方向。更为重要的是,人们正在基于磁电子学开发新一代低能耗、非易失信息器件和技术,为传统半导体电子学正在面临的巨大瓶颈和挑战提供可能的解决途径。

在电磁学中,一个电流产生的磁场如图3(a)所示。在自旋电子学中,一个自旋极化的电流产生的磁场如图3(b)所示,除了常规电流产生的环形磁场外,还会伴随着一个电子自旋极化导致的有效磁场,其与电流密度、自旋极化方向和自旋极化率等参数有关。

在一个具有强自旋-轨道耦合的介质中通入一个电流I会产生自旋霍尔效应,如图4所示。此时,除了经典电磁学中由电流I产生的磁场外,在介质的边界还存在自旋极化的电子产生的额外磁场。

所以,经典麦克斯韦方程组不足以描述存在自旋极化电流和自旋-轨道耦合的情形。

除了自旋极化的电流外,介质中还可以存在无电荷输运的纯自旋流(spin current)。自旋波就是一种典型的纯自旋流。自旋波对应的量子叫磁子(magnon),近年来,对自旋波的基础和应用研究形成了磁电子学的一个亚分支——磁子学(magnonics)[12]。

虽然磁电子学和磁电学在研究内容上存在着一些前沿交叉,两者还是有着很大的区分度,不可混为一谈。磁电子学关注的核心是对电荷和自旋的输运行为的调控和利用,研究对象主要是导体(包括金属和半导体)。磁电学关注的核心是磁场/电场对电极化强度/磁化强度的交叉调控,研究对象主要是绝缘体。

麦克斯韦方程组需要改写吗

如前文所述,我们真实的物质世界要比麦克斯韦方程组描述的情形更丰富、更精彩。既然经典麦克斯韦方程组不足以描述所有介质中的电磁行为,那么,我们需要对其进行改写吗?

为了完整地描述一个介质对外加电场和磁场的响应,我们需要定义一系列系数,如图5所示。电流密度

J ,电极化强度

P 或电位移矢量D ,磁化强度M 或磁感应强度B 是介质对外加电场E 和磁场H 的响应结果。

电导率electrical conductivity:

反映了(导体)介质在电场作用下产生电流的能力;

电极化率electric susceptibility:

和介电率/介电常数dielectric permittivity:

两者都反映了(绝缘)介质对外加电场的响应能力;

磁化率magnetic susceptibility:

和磁导率magnetic permeability:

两者都反映了介质对外加磁场的响应能力;

正磁电耦合系数direct magnetoelectric coefficient:

反映了外加磁场在介质中诱导电极化强度的能力;

逆磁电耦合系数converse magnetoelectric coefficient:

反映了外加电场在介质中诱导磁化强度的能力;

磁电耦合电场(电压)系数:

反映了介质把外加磁场转化成电场的能力;

磁电耦合磁场系数:

反映了介质把外加电场转化成磁场的能力。

在非各向同性的介质中,这些系数都是二阶张量。相应地,磁电耦合系数也是一个二阶张量,

在实际的测量中,磁电耦合电场(电压)系数最容易测量,只需在介质上施加一个磁场,测量在介质两端产生的电压。由此,人们常常用磁电耦合电场(电压)系数来衡量一个材料的磁电耦合强度。

考虑(线性)磁电耦合效应后,介质中的麦克斯韦方程组可以被改写为如下形式:

其中,和是介质外部施加的电场和磁场或介质边界产生的电场和磁场。

从上述第三个方程可以看出,有两种途径来产生电场:一是通过变化的磁场(磁通)来产生电场,这正是传统发电机的原理;二是利用磁电耦合效应,通过交变的磁场来产生交变的电场,这是另一种发电机的原理。

从上述第四个方程可以看出,导体和绝缘体在外加电场作用下,分别通过电流(电导率)和磁电耦合来产生磁场。

对于大多数介质,磁电耦合系数都很小,因此磁电耦合项在麦克斯韦方程组中的贡献可以忽略不记。对于一些特殊介质,磁电耦合项变得不可忽略,甚至可以占据主导地位。例如,对于一些复合磁电耦合材料,在谐振条件下,其磁电耦合系数

即1 Oe的交变磁场可以在1 cm厚的磁电耦合介质两端产生超过1000 V的交变电压!

如果继续考虑自旋极化电流、自旋-轨道耦合等与自旋相关的物理效应,介质中电与磁的交互关联将变得更为复杂,需要引入更多的参数来描述。这也意味着经典麦克斯韦方程组需要不断被修补。

因此,笔者认为,对麦克斯韦方程组进行改写并无太大的意义。在大学物理《电磁学》和《电动力学》课程中,只讲授经典麦克斯韦方程组已足矣。在实际的科学研究和工程应用中,人们只需在麦克斯韦方程组的基础上,额外考虑特殊介质中特定效应带来的新问题。

麦克斯韦方程组因其简洁和对称而被誉为最美的物理学公式之一。如果为了囊括所有可能的情形,让简洁变得冗长,让对称美变得破缺,反而得不偿失,也是物理学家所不能忍的。

电磁学是人类对自然界中宏观电磁现象的归纳和总结,磁电学和磁电子学是对经典电磁学的补充,体现了人类进一步认识自然和改造自然的能力。通过有意识地设计制备新材料、新结构、新器件,使得天然介质中原本微不足道的物理效应得以被呈现、放大和利用,磁电学和磁电子学正在为人类文明带来新知识、新原理、新技术和新应用。

参考文献

[1] P. Curie, Sur Ia symétrie dans les phénomenes physique, symétrie d’un champ électrique et d’unchamp magnétique, J. Phys. 3, 39 (1894).

[2] P. Debye, Remark to some new trials on a magneto-electrical direct effect, Z. Phys. 36, 300 (1926).

[3] E. Dzyaloshinskii, On the magneto-electrical effect in antiferromagnets, Sov. Phys.-JETP 10, 628 (1959).

[4] D. N. Astrov, The magnetoelectric effect in antiferromagnetics, Sov. Phys.- JETP 11, 708 (1960).

[5] H. Schmid, Multiferroic magnetoelectrics, Ferroelectrics 162, 317 (1994).

[6] T. Kimura, T. Goto, H. Shintani, K. Ishizaka, T. Arima and Y. Tokura, Magnetic control of ferroelectric polarization, Nature 426, 55 (2003).

[7] J. Wang, et al. Epitaxial BiFeO3 multiferroic thin film heterostructures, Science 299, 1719 (2003).

[8] M. Fiebig, Revival of the magnetoelectric effect, J. Phys. D: Appl. Phys. 38, 123 (2005).[9] N. A. Spaldin and R. Ramesh, Advances in magnetoelectric multiferroics, Nature Materials 18, 203 (2019).

[10] Shuai Dong, Hongjun Xiang, and Elbio Dagotto, Magnetoelectricity in multiferroics: a theoretical perspective, National Science Review 6, 629, (2019).

[11] G. A. Prinz, Magnetoelectronics, Science 282, 1660 (1998).

[12] A. Barman et al. The 2021 magnonics roadmap, J. Phys.: Condens. Matter 33, 413001 (2021).

编辑:穆梓

【工学考研院校专业分析】第30期:物理电子学

大家好,这里是成都启航考研!

今天,带大家了解“物理电子学”专业

目录导航

1

专业介绍

包括:培养目标、研究方向、课程设置、考试科目

2

就业前景,就业方向

可在电子设计、自动化技术、测控或通信等相关领域工作。

青岛市诸如海尔、海信、澳柯玛等大型企业电子产品的生产和设计人才缺口比较大,

3

择校分析

包括:推荐院校、相近专业、院校专业排名

一、物理电子学:专业介绍

物理电子学,是物理学和电子学相结合的交叉学科,主要研究粒子物理,等离子体物理,光物理等物理前沿对电子工程和信息科学的概念和方法产生的影响,

及由此而形成新的电子学的新领域和新的生长点。

物理电子学同时也针对现代大型科学实验和新兴物理学科发展种提出的,在强辐射照、高通道密度等极端条件下,处理小时间尺度信号技术和有关信号采集和信息处理的基础课题研究和应用基础。

01. 培养目标

从0到1院校选择攻略《工学》:物理电子学

① 掌握物理电子学与光电子科学坚实的基础理论和系统的专门知识,了解本学科有关领域国内外的学术现状和发展方向;

② 掌握一门外语,能熟练地进行专业阅读和初步写作,具备一定的听说及交流能力;

③ 培养严谨求实的科学态度和作风,具有探索创新的科学精神和良好的科研道德,具备独立从事科学工作的能力;

④ 能熟练运用计算机和信息化技术,解决本学科领域的问题,并有新的见解;

⑤ 可胜任本专业或相邻专业的教学、科研和工程技术工作,以及相关的科技管理工作。

02. 研究方向

【以华中科技大学为例】

从0到1院校选择攻略《工学》:物理电子学

主要研究方向有:

01. 光电测控技术

02. 光电信息存储

03. 光通信与光网络

04. 基础光子学

05. 激光科学与工程

06. 集成光电子器件与微纳制造

07. 纳米光电子学

08. 生物医学光子学

09. 有激光电子学

03.课程设置

【以华中师范大学为例】

从0到1院校选择攻略《工学》:物理电子学

位公共课:

第一外国语

科学社会主义理论与实践、

自然辩证法

学位专业课:

矩阵论

随机过程

数值分析

光电子学

现代电路理论

现代数字信号处理

信号完整性分析

微电子学与集成电路设计

电磁场理论

04. 研究生入学考试科目

【以华中科技大学为例】

从0到1院校选择攻略《工学》:物理电子学

① 101 政治理论

② 201 英语一,或242德语

③ 301 数学一

④ 830 固体物理,

或 831 电子技术基础

或 838 物理光学

或 839 激光原理

二、物理电子学:就业前景

01. 就业前景

从0到1院校选择攻略《工学》:物理电子学

物理电子学是电子科学与技术的下属二级学科。

电子科学与技术,是信息科学与技术的基础。

信息科学是21世界三大科学研究领域之一,其诞生和发展始终与科技前沿和先进生产力密切相关。

本专业培养具备光电子或微电子及物理电子领域内,宽厚理论基础、实验能力和专业知识,能在该领域从事新技术、新产品、新材料、新工艺的研究、开发等方面的高级工程技术人才。

毫无疑问,在信息时代和知识经济时代,电子科学与技术专业的地位显著,前景广阔。

物理电子学专业自诞生之日起,就一直是各高校的热门专业,电子科学与技术是现代信息技术的重要支柱学科,是设计各种元器件、集成电路和集成电子系统的技术学科

也是我国正在大力发展并急需人才的重要专业技术领域。‘

物理电子学的应用显现在日常生活的各个方面:如:

电脑、摄影、冰箱、彩电、空调、洗衣机、手机等诸多领域。

几乎每一样带“电”的新产品都与它有着千丝万缕的联系。

02.就业方向

从0到1院校选择攻略《工学》:物理电子学

本专业适合到电力系统、电气工程及其相关领域的高校、科研单位及企业从事教学、研发、管理、生产等方面的工作。

例如:研究新型电力电子器件、电能的变换与控制、电力电子电源、电力传动及其自动化等理论技术和应用。

三、物理电子学:择校分析

01. 推荐院校

从0到1院校选择攻略《工学》:物理电子学

清华大学

华中科技大学

北京大学

电子科技大学

哈尔滨工业大学

北京理工大学

西安交通大学

西安电子科技大学

东南大学

浙江大学

中国科学技术大学

北京邮电大学

南开大学

天津大学

复旦大学

02.相近专业

从0到1院校选择攻略《工学》:物理电子学

电路与系统

微电子学与固体电子学

电磁场与微波技术

03. 院校专业排名

从0到1院校选择攻略《工学》:物理电子学

相关问答

物理电子学 专业的研究生好就业吗,会就业什么方向..._考研_帮考网

物理电子学专业的研究生就业前景较好,主要就业方向包括:1.半导体行业:研究生可以从事半导体器件的设计、制造、测试等工作,也可以从事半导体材料的...

物理电子学 专业研究生前景怎么样? - 懂得

物理电子学专业研究生的前景主要取决于其毕业后的就业方向和行业需求。一般来说,物理电子学是一个相对小众的专业,但其相关行业领域可涵盖广泛,包括...

物理学 的知识在现代许多科技领域得到了广泛运用,这些领域...

[最佳回答]电子学、原子能、激光、信息技术等

物理电子学 专业怎样,容易找工作吗?

答:微电子专业好找工作,但是就现在的情况来说,21世纪是光电子的天下,如果分数够的话报电子科大的光电子专业,不行的话微电子也不错,因为光电子用得也是半导...

光学硕士研究生毕业后,继续攻读光学工程和 物理电子学 博士研究生,哪个专业更好就业?

2,北京理工大学博士,物理电子学学,学的是光电3,长春光机所博士,光学工程,学的是光电4,天津大学,中科大,西电,华中科大,成电等硕士不一一细说。5,...电子科大...

哈工大 物理电子学 研究生就业怎么样?

我是这个专业在读的。就业上来说每年都还可以(相对于控制、力学、机械等专业来说稍微差一些)。今年就业相当不错,想知道得更清楚的话可以留下Q.我是这个专业...

物理电子学 专业研究生前景怎么样? - 157****5761 的回答 - 懂得

物理电子学专业研究生的前景主要取决于其毕业后的就业方向和行业需求。一般来说,物理电子学是一个相对小众的专业,但其相关行业领域可涵盖广泛,包括...

国防电子,民用电子, 物理 电子是什么?

一个比较完善的国防电子工业体系是国家国防实力的重要标志,也是综合国力的体现。物理电子学是电子学、近代物理学、光电子学、量子电子学、超导电子学及相关技...

南京大学超导 电子学 有前途吗?

很有前途的。超导电子学是研究超导体内超导电子及其与电磁场相互作用的一系列效应的理论、技术,并据以开发新型电子器件和应用的学科,它是超导体物理和电子学...

"脉冲"是pulse还是impulse啊?哪个是 物理 电子学 中的"脉冲"?...

[最佳回答]两者有时通用,请看例子:1."Inradar,thesignalsusedarepulses.""在雷达中,使用的信号是脉冲."2.Electro...

标签:

相关阅读