应用甲苯电子对 甲苯法水分测定仪使用过程中的特点

小编头像

小编

管理员

发布于:2026年04月14日

106 阅读 · 0 评论

甲苯法水分测定仪使用过程中的特点

挥发油测定仪 挥发油是一类在常温下能挥发的、可随水蒸气蒸馏的、与水不相混溶的油状液体的总称。NAI-ZLY-4T适用于制药工业、药物研究、日用化学工业、食品工业等单位对药物、植物组织中含有挥发性成分的挥发油含量,作测定用。原理是将样品中的水分与挥发油的共沸液蒸出、冷凝并收集馏液,由于密度不同,馏液在接收管中分层,从而提取出样品中的挥发油。

原油水含量测定仪/石油含水量测定仪 在回流条件,将试样和不溶于水的溶剂混合加热,样品中的水被同时蒸馏,冷凝后的溶剂和水在接受器中连续分离,水沉降在接收器的刻度管中,溶剂则返回到蒸馏烧瓶。

1、PLC系统集成控制,性能更加稳定,采用7寸触摸屏可进行所有操控设置;

2、四位独立加热系统,采用远红外陶瓷加热方式,碗状设计,贴合度高升温快,无明火,耐酸碱,防干烧设计;

3、加热系统单孔单控,0-500W功率可任意调节,可设定加热时间,到点停止;

4、系统预设微沸模式和时间控制,可按需求设定,无需人工值守;

5、冷凝管支架采用滑轨式设计,兼容固定多种标准规格水分测量器,分体式支架拆装更方便;

6、配置专用冷水机,加热无需外接自来水,节约用水。制冷量高达1.7kw,制冷效果好,适合长时间使用;

7、冷凝管一键排空功能,防止长时间不使用滋生细菌;

8、系统内自带说明书和服务中心二维码,手机扫码自动查看电子说明书和一键链接服务中心。

「专家视角」 浸渍热解法制备铁改性生物炭活化过硫酸盐去除2,4-二硝基甲苯

【能源人都在看,点击右上角加'关注'】

曹媛1,3 李晓东3 彭昌盛1 孙宗全3 沈佳伦3* 马福俊2,3 谷庆宝3

(1. 中国海洋大学环境科学与工程学院;2. 污染场地安全修复技术国家工程实验室;3. 中国环境科学研究院固体废物污染控制技术研究所)

研究背景

硝基苯化合物作为重要的化工原料,广泛用于医药、染料、农药等行业,但在生产和使用过程中会产生大量废水。2,4-二硝基甲苯(2,4-DNT)作为此类物质之一,因其具有较高的毒性、稳定性和难生物降解性,对环境和人体健康危害较大,已被列为美国EPA、欧盟以及我国所制定的优先控制有毒有机污染物。因此,2,4-DNT污染废水的治理修复成为环境领域的难点和热点问题。近些年,基于过硫酸盐(PS)高级氧化技术因半衰期长,产生的自由基氧化能力强及对环境友好等优点被应用于污染水体的治理。通常情况下,PS可通过加热、紫外照射和过渡金属离子等方式进行活化产生硫酸根自由基 (SO4⁻•) 和羟基自由基 (•OH),以实现有机污染物的高效去除。但针对有机污染水体PS化学氧化修复,以上活化方式均存在一定缺陷。如何在提高PS活化效率同时能够降低能耗和避免环境污染是PS活化剂应用所面临的重要问题。

生物炭 (BC) 是由各种生物质废弃物热解制备而成的一种多孔、富碳、经济有效的碳基活化材料。因生物炭中存在的持久性自由基、缺陷位点、氮掺杂和丰富的含氧官能团均有助于活化PS产生强氧化性自由基。从成本、固体废物回用和有效性等各方面考虑,BC是一种很有前途的PS多相催化剂。目前常用的BC铁改性方法包括共沉淀法和浸渍热解法等。相比于较为复杂的共沉淀法,浸渍热解法制备铁改性生物炭(MBC)的过程较为简单,同时也可改善MBC的结构特性。由于MBC表面Fe的负载及热解过程中结构特性的改变,可能会提升MBC对PS的活化能力,以增强有机污染物的去除。但目前针对浸渍热解法制备MBC活化PS去除有机污染物的影响及机理的研究还尚不充分。

为进一步优化浸渍热解法制备MBC的条件参数,并揭示其活化PS对有机污染物的去除机制,本研究以农业废弃物玉米秸秆生物质为生物炭源,以FeCl3为浸渍溶液,采用简单的浸渍热解法一步制备MBC,优化了制备MBC的热解参数 (热解温度、升温速率和停留时间),考察了FeCl3浸渍浓度和溶液初始pH值对活化PS去除2,4-DNT的影响,并借助电子自旋共振波谱技术 (ESR) 及自由基猝灭试验阐述了PS/MBC体系中2,4-DNT去除时自由基反应的机制,以期为实际工程应用提供更多的参考。

摘要

为探究并优化浸渍热解法制备铁改性生物炭 (MBC) 活化过硫酸盐 (PS) 对有机污染物去除的试验条件及影响因素,以2,4-二硝基甲苯 (2,4-DNT) 为目标污染物,考察了热解参数 (热解温度、升温速率和停留时间)、FeCl3浸渍浓度及初始pH值对2,4-DNT去除的影响,并采用电子自旋共振波谱技术及自由基猝灭试验鉴定了PS/MBC体系中生成的自由基。结果表明:1)热解温度对MBC活化PS去除2,4-DNT的影响最显著,其次为升温速率和停留时间。当热解温度、停留时间和升温速率分别为300 ℃、3 h和10 ℃/min,热解制备的MBC对活化PS去除2,4-DNT的效果最佳;2)FeCl3浸渍浓度是影响MBC活化性能的重要因素,随着FeCl3浸渍浓度的升高,2,4-DNT的去除率先增后减,当FeCl3的浸渍浓度为100 mmol/L时,5 h内2,4-DNT的去除可达100%,2,4-DNT去除的准一级动力学常数 (kobs) 为1.373 min-1;3)当初始pH值为5.0~9.0时,2,4-DNT均具有较好的去除效果,其去除率为94.5%~83.6%,kobs为0.606~0.345 min-1;4)PS/MBC体系中生成的•OH是2,4-DNT去除的主要因素,其强度随MBC的热解温度和FeCl3浸渍浓度的不同差异较大。研究结果表明浸渍热解法制备的MBC可有效活化PS实现污染物的高效去除,为PS化学氧化处理有机污染水体提供了新思路。

01结果与讨论

1. 不同热解参数对MBC活化PS去除2,4-DNT的影响

为探究热解参数对MBC活化PS去除2,4-DNT的影响及确定具有显著性影响的热解参数,使用SPSS 软件按照不同热解温度 (300,500,700 ℃)、升温速率 (5,10,20 ℃/min) 和停留时间 (1,3,4 h) 制备了不同的MBC进行3因素3水平的正交试验。设置MBC、PS、2,4-DNT和FeCl3的浓度分别为0.5 g/L、2.5 mmol/L、14 μmol/L和10 mmol/L,反应时间为10 h。探讨了不同参数下制备的MBC对活化PS去除2,4-DNT的影响,结果如表1所示,相比升温速率和停留时间,热解温度对MBC活化PS去除2,4-DNT的影响最显著 (p=0.003)。当热解温度为300 ℃时,2,4-DNT的去除率明显高于热解温度为500,700 ℃时2,4-DNT的去除率。为进一步优化热解参数,采用SPSS软件进行了极差分析,计算得热解温度、停留时间和升温速率的极差分别为62.2、3.7和10.6,表明热解参数对MBC活化PS去除2,4-DNT影响顺序为温度>升温速率>停留时间。通过极差图 (图1) 得到制备MBC的最优参数即热解温度、停留时间和热解速率分别为300 ℃、3 h和10 ℃/min,后续研究将采用此参数进行MBC的制备,将FeCl3浸渍浓度为10 mmol/L于该参数下制备的MBC记为MBC300。

表1 MBC活化PS去除2,4-DNT的正交试验

图1 温度、停留时间和升温速率对PS/MBC去除2,4-DNT的极差图

2. MBC300表征及性能分析

采用SEM-EDS在放大10000倍的条件下对MBC300微观形貌进行分析,结果如图2所示。观察到MBC300表面呈不规则的褶皱状,这些褶皱是由玉米秸秆中碳水化合物的芳构化和碳化形成的,且通过浸渍FeCl3,可成功将Fe负载至BC表面,能谱扫描证实C、O、N和Fe元素均匀分布在MBC300中,其含量分别为63.76%、22.66%、12.40%和0.81%。

图2 MBC300的SEM-EDS图像

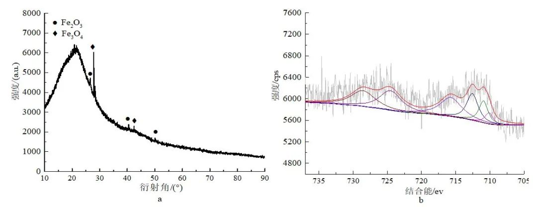
采用XRD对MBC300的晶体结构进行表征,根据图3a观察到MBC300具有Fe2O3和Fe3O4 2种特征衍射峰,其中位于23°左右有1个宽的衍射峰,该衍射峰位于BC石墨结构的 (002) 表面上,MBC300中Fe3O4的衍射峰强度更强,表明其结晶度好。采用XPS对Fe的元素组成进行表征,如图3b所示,λ-Fe2O3的主峰为711.0,724.4 eV,分别为Fe(Ⅲ)的2p3/2和Fe 2p1/2峰。此外,还观察到FeO峰 (709.9 eV),这表明负载在MBC300表面铁元素以+2价和+3价的形态共存。

图3 MBC300的XRD及Fe 2p XPS表征谱图

为进一步明确MBC300的吸附及活化性能,分别设置MBC300、PS、2,4-DNT浓度为0.5 g/L、2.5 mmol/L、14 μmol/L,FeCl3浓度为10 mmol/L,研究了不同体系中2,4-DNT的去除效果,结果如图4所示。单独的PS尽管具有较高的氧化还原电位 (2.01 V),但由于其活性较低,因此,在5 h内对2,4-DNT的去除率仅为2.8%;当在体系中仅加入MBC300时,5 h内2,4-DNT的去除率为23.1%。在BC和MBC300体系中引入PS后,2,4-DNT的去除率呈现不同程度的提升,反应5 h后两个体系中2,4-DNT的去除率分别为38.6%和83.7%,这表明低温条件下热解制备的MBC可以通过活化PS高效去除有机污染物,且在此条件下的活化性能显著优于吸附性能,同时MBC表面Fe的加入极大地促进了PS的活化。

图4 PS/BC及PS/MBC体系对2,4-DNT的去除

3.FeCl3浸渍浓度对PS/MBC去除2,4-DNT的影响

MBC制备过程中,FeCl3浸渍浓度是影响MBC活化性能的重要因素。本研究以热解温度300 ℃、停留时间3 h和升温速率10 ℃/min为MBC热解参数,设置MBC、PS和2,4-DNT浓度分别为0.5 g/L、2.5 mmol/L和14 μmol/L,对不同FeCl3浸渍浓度下制备的MBC活化PS去除2,4-DNT的影响进行探究,结果如图5所示。不同FeCl3浸渍浓度对2,4-DNT的去除效果影响显著,当FeCl3的浸渍浓度由10 mmol/L升高至100 mmol/L时,2,4-DNT的去除率明显上升。反应3 h后,MBC-Fe100活化PS对2,4-DNT去除率达98.6%;当FeCl3的浸渍浓度为300,500 mmol/L时,2,4-DNT的去除率显著降低。为进一步明确不同FeCl3浸渍浓度下PS/MBC体系对2,4-DNT的去除过程,采用准一级动力学方程对2,4-DNT的去除数据进行拟合 (图5b)。研究表明准一级动力学方程可以很好地描述不同体系中2,4-DNT的去除过程 (R2>0.90),当FeCl3浸渍浓度从10 mmol/L上升至100 mmol/L时,2,4-DNT去除的准一级动力学常数(kobs)从0.1073 min-1增加至1.373 min-1;但当FeCl3浸渍浓度为500 mmol/L时,kobs下降至0.0724 min-1。综上可知,随FeCl3浸渍浓度的升高,2,4-DNT的去除率呈先增后减的趋势,当其浓度为100 mmol/L时,2,4-DNT的去除效果最佳(98.6%)。

图5 不同FeCl3浸渍浓度对PS/MBCs去除2,4-DNT的影响

为阐述不同FeCl3浸渍浓度对PS/MBC去除2,4-DNT的影响机理,对MBC进行铁含量和结构性质分析。由表2可见,随着FeCl3浸渍浓度的升高,MBC的全铁含量、表面铁含量、比表面积、孔隙度均呈上升趋势,表明在热解过程中FeCl3不仅可以将活性Fe负载于MBC表面,还可改变MBC的结构特性。MBC中活性Fe含量一定程度增加,可增强PS的活化能力,这有利于2,4-DNT的去除。但当FeCl3浸渍浓度为300,500 mmol/L时,2,4-DNT的去除率显著降低,说明因MBC比表面积和孔隙度的增加,随之增强的吸附作用并不是2,4-DNT去除的主要原因。因此,FeCl3浸渍浓度过高时2,4-DNT去除率降低可能是因为过量的Fe消耗了体系中的SO4⁻•和•OH。

表2 MBC组成的铁含量和结构性质

4.初始pH对MBC活化PS去除2,4-DNT的影响

以FeCl3浓度为100 mmol/L,热解温度为300 ℃制备MBC,设置MBC、PS和2,4-DNT浓度分别为0.5 g/L、2.5 mmol/L和14 μmol/L,进行pH对MBC活化PS去除2,4-DNT的影响试验。图6a为不同pH值条件下PS/MBC体系对2,4-DNT的去除曲线。结果显示不同初始pH值对PS/MBC去除2,4-DNT的影响差异显著。当初始pH值为11.0时,2,4-DNT的去除效果较差,反应5 h后2,4-DNT的去除率仅为20.9%,kobs为0.042 min-1, 这是因为pH值为11.0时,一方面MBC表面负载的Fe对PS活化能力减弱,另一方面尽管SO4−•与OH−会生成•OH,但反应过程中引起大量自由基消耗,导致•OH的转化率较低,从而显著降低2,4-DNT的去除率。当初始pH值为3.0时,相比pH值为11.0时,2,4-DNT的去除率提升了50.5%,但仍低于pH为5.0、7.0和9.0时2,4-DNT的去除率,其原因可能是当初始pH值为3.0时溶液中会生成部分阴离子 (如HS2O8−、H2SO5和HSO4−),使体系中强氧化性的SO4−•及•OH的含量降低,因此2,4-DNT的去除受到抑制。当初始pH为5.0、7.0和9.0时,2,4-DNT均具有较好的去除效果,5 h内其去除率分别为94.5%、91.5%和83.6%,kobs分别为0.606,0.492,0.345 min-1,表明PS/MBC体系在较宽的pH范围内对2,4-DNT具有很好的去除性能。综上可知,PS/MBC体系在pH=5.0~9.0条件下对2,4-DNT具有较好的去除效果。

图6 初始pH值对PS/MBC去除2,4-DNT的影响

5.机理分析

采用ESR-DMPO技术分析了不同热解温度和FeCl3浸渍浓度条件下制备的MBC活化PS去除2,4-DNT时自由基的种类及强度。由于DMPO-SO4⁻•信号在高背景下表现不显著,采用DMPO-•OH信号来描述自由基的产生。导致这种现象的原因主要是1) •OH相比于SO4⁻•更易被DMPO捕获从而表现出更好的特征峰;2) MBC活化PS生成SO4⁻•后,SO4⁻•会进一步与体系中的H2O和OH⁻反应最终生成•OH,从而导致DMPO-SO4⁻•信号并未占据主导。由图7a可知,单一PS在25 ℃时基本不产生SO4⁻•和•OH,当加入不同热解温度制备的MBC时,体系中DMPO-•OH强度随着热解温度的增加而降低,表明高温热解制备的MBC活化PS能力弱,导致体系中自由基含量减少,从而导致2,4-DNT的去除效果减弱。图7b为不同FeCl3浸渍浓度条件下制备的MBC活化PS体系中自由基的生成情况,随着FeCl3浸渍浓度的增加,各自由基的强度先增后减;在FeCl3浸渍浓度为100 mmol/L时,PS/MBC体系中DMPO-•OH的强度最大,这与2,4-DNT的去除结果一致,表明2,4-DNT的去除与反应体系中自由基含量密切相关。

图7 DMPO作捕获剂下不同PS/MBC体系的ESR谱图分析

为阐述反应过程中SO4⁻•和•OH的贡献,采用EtOH和TBA进行自由基猝灭试验。通常情况下,EtOH可有效猝灭SO4⁻•和•OH,而TBA只能猝灭•OH。EtOH和TBA猝灭结果如图8所示,当分别加入0.5,2.5 mmol/L TBA时,2,4-DNT的去除受到明显抑制,反应5 h后2,4-DNT的去除率分别由100%下降至43.3%和30.9%;而EtOH的加入进一步抑制了2,4-DNT的去除,如当EtOH浓度为2.5 mmol/L时,反应5 h后2,4-DNT的去除率仅为15.8%,表明SO4⁻•和•OH均参与了反应,但•OH是2.4-DNT去除的主要因素。

图8 EtOH及TBA自由基猝灭试验

来源:曹媛,李晓东,彭昌盛,孙宗全,沈佳伦,马福俊,谷庆宝.浸渍热解法制备铁改性生物炭活化过硫酸盐去除2,4-二硝基甲苯[J].环境工程.

文章来源:环境工程

免责声明:以上内容转载自生态修复网,所发内容不代表本平台立场。

全国能源信息平台联系电话:010-65367702,邮箱:hz@people-energy.com.cn,地址:北京市朝阳区金台西路2号人民日报社

相关问答

甲苯 在中的甲基为什么是供 电子 基团?_作业帮

[最佳回答]你还没解决吗?可以这样理解,-CH3中,H总是带正电荷的,所以C带负电荷,即电子数较多,所以就是供电子的.连在苯环上时,由于-CH3供电子,引起苯环上的大派...

甲苯 上的甲基使得苯环上的氢原子变活泼了?_作业帮

[最佳回答]甲基是给电子基,所以连在苯环上使得苯环的电子云密度变大,有利于亲电反应的进行,所以显示出氢原子活泼了.甲基是给电子基,所以连在苯环上使得苯环...

苯, 甲苯 ,对二甲苯,间二甲苯进行亲电取代反应的速率比较?

间>对>甲苯>苯,主要是看苯环上电子云密度,密度越高,越易进行,当然这里面还有空间位阻的影响间>对>甲苯>苯,主要是看苯环上电子云密度,密度越高,越易进行,当然....

甲苯 水有什么的用途?

甲苯水,实际上是甲苯溶剂。甲苯是一种化学溶剂,在常温下是液体。甲苯用于化学合成农业,医药,或者在胶水,油漆行业里面溶解树脂(溶剂型油漆和胶水是由各种...

乙苯和 甲苯 酸性哪个强,为什么? - 陈啊啊_ 的回答 - 懂得

甲苯pKa是41,是甲基上的氢的解离常数。至于乙苯(苯乙烷),没找到资料,但是从结构上看乙烷基的1号碳上的氢解离会更困难,因为2号碳的甲基有推电子能力...

酰氯与水反应的程度与什么有关?-盖德问答-化工人互助问答社区

酰氯在水中的稳定性主要与酰氯本身的结构有关,RCOCl(RSO2Cl)中,如果与COCl直接相连的R有吸电子基,那么这个酰氯就相对比较稳定,如对甲苯磺酰氯;如果...

比较苯和 甲苯 被高锰酸钾溶液氧化的现象,以及硝化反应的条件,...

[最佳回答]苯不被高锰酸钾溶液氧化;甲苯可被高锰酸钾溶液氧化生成苯甲酸,高锰酸钾溶液褪色;这说明苯环难以被氧化,而带有α-H的侧链集团易被氧化;甲苯的硝化反...

乙酰苯胺, 甲苯 ,硝基苯,苯胺发生亲电取代反应由易到难的次序...

[最佳回答]苯胺>乙酰苯胺>甲苯>硝基苯苯胺和乙酰苯胺中N上孤对电子与苯环共轭,故活化苯环;由于乙酰基的吸电子影响,苯胺比乙酰苯胺活泼.甲基的活化能力较弱,而...

甲苯 上的苯环为何比笨活泼?】作业帮

[最佳回答]这叫官能团的相互影响.苯环上多了一个支链使它的电子排步重心发生偏移,如甲基就移向苯环一侧,酚基就移向酚基一侧.由非极性分子的苯变成极性分子有...

烯烃基可不可以使苯环上氢活性变强 – 960化工网问答

由于C原子派键上原子数量刚好是饱和填充电子数目的一半,因此电子全数占据成键轨道能量最低。因此,苯环的C-H键由于破坏时不得不影响到派键电子云的稳定性而导致...

标签:

相关阅读