电子阻尼测试原理及应用 阻尼比测试方法及谐响应分析

小编头像

小编

管理员

发布于:2025年05月02日

101 阅读 · 0 评论

阻尼比测试方法及谐响应分析

谐响应分析中,阻尼比的确定是关键问题,工程中阻尼比经常是估计值,导致分析结果跟实际不符。阻尼对模态频率的影响很小,阻尼的主要作用是压低共振处的幅值,如果阻尼取为0的话,共振处的峰值会相当大,理论上是无穷大。目前阻尼问题研究的不是很透彻,并没有很多的理论支持,本文通过试验测试的方法得到板结构的阻尼比,并进行谐响应分析,最后通过振动试验验证了该阻尼测试方法的准确性。

阻尼比试验测试

1. 测试原理

自由振动衰减信号的包络线法是一种常用的测量结构阻尼特性的方法。以单自由度为例,说明自由振动的衰减信号的包络线辨识结构阻尼比的原理。有阻尼单自由度系统衰减响应可表达为:

式中,C 为振幅,ωn 为固有频率,φ 为相位角,ξ 为系统阻尼比。可知,单自由度振动的位移衰减信号的包络线方程为:

有阻尼单自由度系统衰减响应为位移响应,由于传感器的类型不同,可能获得速度或加速度的时域衰减响应信号。速度及加速度响应表达式:

上式与有阻尼单自由度系统衰减响应公式具有相同的数学模型结构,单自由度振动的加速度响应曲线也具有同位移响应曲线相同的包络线,其衰减响应曲线见下图。

图1 自由振动系统响应曲线

由图1,阻尼使系统振动的振幅按几何级数衰减,相邻两个振幅之比:

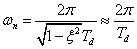
式中,η 为减幅系数,Td 为系统的振动周期,且:

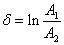
由相邻两个振幅之比得知一个周期内,振幅缩减至初值的1/eωntd。为了避免取指数值的不方便,常用对数减幅δ 来代替减幅系数η,即:

可以得到阻尼比和固有频率的表达式:

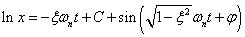
对有阻尼单自由度系统衰减响应取对数:

从上式可看出,lnx 是时间t 的一次函数,如下图所示。

图2 衰减法原理示意图

根据

因此,板结构阻尼比很小,存在下式关系:

因此,根据图2可得下式:

2. 测试分析

对板结构进行阻尼比测试。

图3 悬臂梁阻尼测试

对信号进行巴特沃斯滤波,滤波后的曲线如下图所示。

图4 自由衰减位移响应滤波后曲线

对图3的曲线取对数,得下图5的曲线。

图5 衰减曲线

直线斜率为0.35,Td =0.00391s,根据

得到板结构阻尼比2.1780e-04。

板结构振动试验

对上文中的板结构用振动台进行振动试验,与下文中的谐响应分析进行对比。

图6 板结构振动试验

该试验的控制传感器、响应点传感器位置,振动试验方向如下图所示。

图7 控制传感器和响应点传感器

进行正弦扫频振动试验,试验输入条件如下图所示。

图8 试验输入条件

响应点的响应曲线,如下图所示,可以得到板结构第一阶频率为160.66Hz,最大响应26.97g。

图9 响应点的响应曲线

板结构谐响应分析

首先对该板结构进行模态分析,模态的一阶频率为256.2Hz,如下图所示。

图10 模态的一阶频率

板的质量为23.67g,由于在该分析中,传感器和线缆的附加质量不可忽略,板、传感器和线缆总质量为33.67g,因此分析结果的模态频率会比试验结果要低。在传感器的位置添加集中质量重新分析,第一阶模态频率为163.7Hz,与试验误差较小,相符合。

图11 模态的一阶频率

板的质量为23.67g,由于在该分析中,传感器和线缆的附加质量不可忽略,板、传感器和线缆总质量为33.67g。有无附加质量,系统的阻尼是定值,根据上文算出的无附加质量的阻尼比为2.1780e-04,推算有附加质量的阻尼比。已知阻尼的计算公式如下式:

得到

计算出带传感器附加质量的阻尼比为4.407E-4 。将该阻尼比应用到板结构的谐响应分析,得到传感器位置处的仿真的频响曲线与上文的试验曲线进行对比,如下图所示。

图12 仿真与试验频响曲线对比

从上图的对比结果可知,仿真和试验误差很小,证明本文方法的准确性。

来源:声振测试

作者:于长帅

噪声振动控制技术 - 阻尼测试与应用

来源:噪声振动News(ID:Noise_Vibration),作者:麦克斯。

在噪声和振动控制中,阻尼测试与应用有着重要的工程和学术意义。阻尼技术是控制结构共振和噪声的最有效方法,是解决减振、降噪问题的最重要手段。本文就针对阻尼的定义、阻尼测试标准、阻尼测试设备和阻尼应用等多方面进行简单介绍。

阻尼的定义

阻尼 (Damping) 是指任何振动系统在振动中,由于外界作用(如流体阻力、摩擦力等)和或系统本身固有的原因引起的振动幅度逐渐下降的特性,以及此一特性的量化表征。

在实际振动中,由于摩擦力总是存在的,所以振动系统最初所获得的能量,在振动过程中因阻力不断对系统做负功,使得系统的能量不断减少,振动的强度逐渐减弱,振幅也就越来越小,以至于最后停止振动,像这样的因系统,力学能由于摩擦及转化成内能逐渐减少,振幅随时间而减弱振动,称为阻尼振动。

当阻尼较强时,阻尼振子几乎没有振动,振幅逐渐减小,达到稳定平衡,称为过阻尼。当阻尼较弱时,阻尼振子必须缓慢的经由多次振动逐渐把振幅减小,最后回到平衡位置,因此达成稳定平衡的时间较久,称为欠阻尼。另一种情形是阻尼振子以最平稳的速度,最短的时间达到稳定平衡,称为临界阻尼。

通俗地讲,就是阻止物体继续运动。当物体受到外力作用而振动时,会产生一种使外力衰减的反力,称为阻尼力(或减振力),它和作用力的比被称为阻尼系数。

通常阻尼力的方向总是和运动速度方向相反。因此,材料的阻尼系数越大,意味着其减振效果或阻尼效果越好。但是并不是阻尼越大越好,阻尼大到一定程度时两个物体之间变成了刚性连接,阻尼一般和弹簧一起使用,阻尼过大,将起不到缓冲的效果。

阻尼的作用与基本方法

1. 阻尼的具体作用

阻尼有助于减小机械结构的共振振幅,从而避免结构因动应力达到极限造成结构破坏。阻尼有助于机械系统受到瞬时冲击后,很快恢复到稳定状态。阻尼有助于减少因机械振动产生的声辐射,降低机械性噪声。可以提高各类机床、仪器等的加工精度、测量精度和工作精度。阻尼有助于降低结构传递振动的能力。

2. 阻尼的基本方法

系统阻尼:在系统中设置专用阻尼减振器,如减振弹簧、冲击阻尼器等。结构阻尼:在系统的某一振动结构上附加材料或形成附加结构,增加系统自身的阻尼能力,这类方法包括接合面、 库伦摩擦阻尼、 泵动阻尼和复合结构阻尼。材料阻尼:依靠材料本身所具有的高阻尼特性达到减振降噪的目的。它包括粘弹性材料阻尼、阻尼合金和复合材料阻尼。

阻尼测试相关标准

评价阻尼材料阻尼性能好坏的最常用的参数是复合损耗因子,各行业一般用悬臂梁弯曲共振法。

ISO - 6721 塑料 动态机械性能的测定ASTM - E756 测量材料减振动特性的标准试验方法SAE - J1637 支撑钢棒上材料的组合振动阻尼特性的实验室测量GB/T - 16406 声学 声学材料阻尼性能的弯曲共振测试方法GB/T - 18258 阻尼材料 阻尼性能测试方法

测试原理

悬臂梁法阻尼测试系统的测试原理,如下图所示。通常采用矩型钢制条状试样,阻尼材料涂覆于条状试样上,形成复合样条。样条尺寸通常为200mm-240mm不等:宽度一般为10mm或20mm。样条基材厚度一般为0.8mm或1mm,阻尼材料厚度一般为2mm-4mm,具体根据主机厂的要求。

将试样安装在刚性夹具上,一端固定,一端自由,构成悬臂梁测试系统。

测试系统的仪器由激励和检测两部份组成,由信号发生器产生一个激励信号,通过非接触式激振器对试样施加激振力,由检测传感器检测试样的振动响应信号。保持激振幅值恒定,连续改变频率,测出试样的共振曲线。根据所测共振频率和半功率带宽,就可以计算得出复合样条的复合损耗因子,如图所示。若测试过程在温控箱中完成,则可确定温度对材料阻尼特性的影响。

测试方法

1. 按照激励和阻尼辨别方法的不同分

锤击脉冲激励-频域测试阻尼压电陶瓷宽带随机激励-频域测试阻尼振动台扫频激励-频域测试阻尼振动台定频共振激励-时域测试阻尼

2. 结果比较分析

重复性:振动台扫频激励最好,人为因素小。锤击法重复性差。精度:振动台扫频激励最好。频率范围:压电陶瓷可用于高频阻尼测试,振动台最高可测2400Hz范围内的阻尼。效率:锤击法最为方便、快捷,硬件成本也低;压电陶瓷和振动台测试阻尼的硬件成本则相当巨大,测试效率也较低。然而,振动台激励可以准确控制激振力幅和信号类型,易于准确测试和评价某些涂有阻尼减振材料的薄板结构的阻尼特性。

阻尼性能测试设备

1. 按照频率分

弯曲共振装置 [中频]扭摆仪 [低频]DMTA 动态热机械分析仪 [低频]

动态力学热分析仪 (DMTA) 是强迫次共振(即施加一个频率远低于被测量系统共振频率且振幅恒定的交变载荷)型动态力学性能测量仪器。

2. 设备介绍

INV系列数据采集仪器INV阻尼材料测试台DASP阻尼材料特性测量软件系统DAQ 数据采集前器Signal conditioner 信号调节器Amplifier 放大器Displacement sensor 位移传感器Force sensor 力传感器Test sample 测试样

阻尼材料及装置

1. 按阻尼材料特性分

橡胶和塑料阻尼板:用作夹芯层材料橡胶和泡沫塑料:用作阻尼吸声材料阻尼复合材料:用于振动和噪声控制高阻尼合金:阻尼性能在很宽的温度和频率范围内基本稳定

2. 按材料用途分

用于改善管路振动。用于机械运动设备的减振和隔振。用于汽车底盘、车门等位置。空调箱壳内部、压缩机等机械运动设备降噪。

参考文献

[1]GB/T 18258-2000 阻尼材料 阻尼性能测试方法[S]

[2]ASTM E756-2017 Standard Test Method for Measuring Vibration-Damping Properties of Materials[S]

[3]C.F. Breards BSc, PhD, C Eng, Structural Vibration: Analysis and Damping,1996.

[4]Moritz, C. and Deshpande, S., "SAE J1637 Vibration Damping Round Robin Study," SAE Technical Paper 2017-01-1881

[5]Cyprien, What is Damping and why is it useful? 2018

[6]Nagaraja Jade, Measurement of damping properties of beeswax and cosmetic wax using Oberst beam method, IIT, 2019

[7]李晖,孙伟等,悬臂薄板结构阻尼特性几种测试方法的比较, 中国工程机械学报[J], 2013

[8]Clarence W.de Silva, Vibration Damping Control and Design[M], CRC Press. 2007

[9]Estimating Damping Values Using the Half Power Method,Material Damping Properties[J], 2015

[10]张忠明, 刘宏昭等, 材料阻尼及阻尼材料的研究进展, 功能材料[J], 2001,32(3)

北京神州翔宇技术有限公司

相关问答

阻尼 控制器工作 原理 ?

工作原理:阻尼器的主要部分是由钢索悬吊的两个各重约150吨的配重物体,悬挂在90层(395米处)。当强风来袭时,该装置使用传感器来探测风力大小和建筑物的摇晃程...

阻尼 原理 是什么呢?

阻尼器的工作原理:阻尼器的主要部分是由钢索悬吊的两个各重约150吨的配重物体,悬挂在90层(395米处)。当强风来袭时,该装置使用传感器来探测风力大小和建筑...

阻尼 块是什么 原理 ?

粘弹性阻尼材料由高分子聚合物组成,兼具粘性液体消耗能量和弹性固体储存能量两种特性,是目前应用较为普遍阻尼材料。当其受到外界应力时,一部分能量转化为...

阻尼 设计 原理 ?

原理:利用阻尼特性来减缓机械振动及消耗动能。作用是使自由振动衰减的各种摩擦和其他阻碍,以及改善频率响应。阻尼器又称阻尼装置。为了当受到冲击而产生的...

阻尼 器工作 原理 是什么?它如何发挥作用抵挡台风影响?

阻尼器,是以提供运动的阻力,耗减运动能量的装置。利用阻尼来吸能减震不是什么新技术,在航天、航空、军工、枪炮、汽车等行业中早已应用各种各样的阻尼器(或减...

阻尼 达人什么意思?

1阻尼达人是指在机械或电子方面具有非常专业的知识和技能的人士。2“阻尼”是一种减弱或抑制某种运动或振动的物理概念。因此,“阻尼达人”指的是那些能够在...

汽车 电子 减震 原理 ?

其原理是通过使用传感器监控车辆运动和路面情况,然后根据获取到的数据对悬架进行调整,以提高车辆的稳定性和乘坐舒适性。具体来说,汽车电子减震系统采用了一...

阻尼 把手 原理 ?

汽车拉手阻尼器工作原理是在密闭的压力缸内充入惰性气体或者油气混合物,使腔体内的压力高于大气压的几倍或者几十倍,利用活塞杆的横截面积小于活塞的横截面积...

阻尼 轴承的 原理 ?

阻尼轴承原理是单向阻尼,多用于垂直安装的滚珠丝杠上。这是因为滚珠丝杠的摩擦力和滚动摩擦力都极小,所以不能自锁。当滑块处于高位时,其重力会使滚珠旋转,带...

电磁 阻尼 摆实验现象 及原理 ?

按楞次定律,涡电流的磁场与原磁场的作用,阻碍摆锤的运动,因此,金属摆总是受到一个阻尼力的作用,就像在某种粘滞介质中摆动一样,很快地停止下来,这种阻尼起...

标签:

相关阅读