电子加速偏转应用 专题27 带电粒子在电场中的加速和偏转-高考物理一轮复习专题

小编头像

小编

管理员

发布于:2026年04月14日

109 阅读 · 0 评论

专题27 带电粒子在电场中的加速和偏转-高考物理一轮复习专题

专题27 带电粒子在电场中的加速和偏转-

高考物理一轮复习专题

示波管的工作原理——粒子在电场中的加速与偏转

【同步学习

示波管原理 ,电场加速,偏转,结论

示波器是一种用途广泛的电子信号测量仪器。它能把看不见的电信号变换成看得见的图像,从而便于人们研究各种电信号的变化规律。

1.示波管的工作原理

示波器的核心部件是示波管,它由电子枪、偏转电极和荧光屏组成。

电子枪的作用是产生一束高速电子。偏转电极YY′上加的是待测的信号电压,偏转电极XX′通常接入仪器自身产生的锯齿形扫描电压。

电子束在YY′方向的偏移情况随信号电压的变化而变化,XX′方向的扫描电压控制电子束周期性的从左向右匀速移动。如果信号电压是周期性的,并且扫描电压与信号电压的周期相同,那么,就可以在荧光屏上得到待测信号在一个周期内随时间变化的稳定图像。

动画:信号电压和扫描电压周期相同时的扫描情景

2.粒子在电场中的加速

【问题】 如图所示,在真空中有一对平行金属板M、N,两板间的电势差为U。若将一个质量为m,带电量为q的负粒子,在负极板M附近由静止释放,计算它到达正极板N时的速度。

【解答】

方法1: 设平行金属板M、N的间距为d,粒子到达正极板时的速度为v,则

从上式可以看出,粒子在电场中加速时获得的速度v与加速电压U有关,与金属板M、N的距离d无关。

方法2: 根据动能定理有

若加速电场不是匀强电场,则粒子的运动就不是匀变速直线运动,此时只能利用方法2确定粒子的速度。

3.粒子在电场中的偏转

【问题】 如图所示,在真空中有一对平行金属板,板长为l,间距为d,两板间的电势差为U。若一个质量为m,带电量为q的负粒子,以速度v0垂直电场方向射入板间。求粒子射出电场时偏移的距离y和偏角θ(用正切值表示)。

【解答】 粒子垂直射入匀强电场后,受到与初速度方向垂直的恒定电场力作用,所以做类平抛运动。设粒子在电场中运动的时间为t,则

从以上结果可以看出,当两极板间的电势差U变化时,粒子射出电场的偏移距离y和偏角θ的正切值都随电势差U正比变化。

在上图中,若将粒子的出射速度v反向延长,交入射方向于O点,设O点与电场右边缘的距离为x,则根据几何关系有

将结果④⑦代入⑧式得:x=l/2

即:粒子从偏转电场中射出时,就好像是从极板间的l/2处沿直线射出似的!

4. 粒子在电场中的“加速” +“偏转”

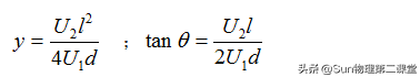
【问题】 如图所示,若带电粒子( q、m )从静止开始经电压U1加速,然后进入长为l,宽为d的偏转电场,偏转电压为U2。求粒子射出电场时的偏移距离y和偏角θ(用正切值表示)。

【解答】 根据前面分析的“加速”规律可知,粒子进入偏转电场时的初速度

根据前面分析的“偏转”规律可知,粒子射出电场时的偏移距离y和偏角θ的正切值分别为

将①分别代入②③两式得,粒子射出电场时的偏移距离y和偏角θ的正切分别为

从以上结果可以看出,无论带电粒子的m、q如何,只要经过同一电场加速,再垂直进入同一偏转电场,则它们飞出时的偏移量y和偏转角θ都是相同的,也就是轨迹完全重合!

在示波管模型中,粒子经加速电场U1加速,再经偏转电场U2偏转后,需要再经历一段匀速直线运动才会打到荧光屏上而显示亮点P。假设电场右侧离屏的距离为L,则最终亮点P偏离荧光屏中心O的距离为

由于电压U1是不变的,所以亮点P偏离荧光屏中心O的距离y'与信号电压U2成正比,即示波管中电子束在YY′方向的偏移情况是随信号电压的变化而变化的!

【未经允许 请勿转载】

斜面上的平抛运动

相关问答

【电场如何使带电粒子 加速 偏转 ?】作业帮

[最佳回答]电场的话就得控制E的方向来让电粒子偏转加速就不说了磁场也能让其偏转按理是做圆周运动但控制磁场的话可以做出任何曲线电场的话就得控制E的...

【从灯丝发出的 电子 加速 电场加速后,进入 偏转 电场,若加速电...

[最佳回答]加速qU1=1/2mV0^2偏转y=1/2at^2=1/2*qE/m*(L/V0)^2=1/2*(qU2/dm)**(L/V0)^2=qU2L^2/(2mdV0^2)将1/2mV0^2=qU1代入y=...

(1/2)一束 电子 加速 电场 加速 后进入 偏转 电场,已知 电子 的电荷...

[最佳回答]1)电子进入偏转电场时的速度就等于加速电场加速后得到的速度.所求速度是V,则由e*U1=m*V^2/2得V=根号(2*e*U1/m)注:题目没有第二问.1)电子进...

关于高二物理公式 电子偏转 的疑惑. 加速 电场偏转角=qul\mdv^2...

[最佳回答]L就是板的长度,和粒子没关系

如图所示,静止的 电子 加速 电压U1的作用下从O经P板的小孔射...

[最佳回答]答案A在加速过程中,由mv^2/2=qU1得v=√(2qU1/m)U1加倍后,出射速度v0=√2v在偏转电场中,水平方向运动相同距离的时间变为原来的1/√2倍要保持原轨迹...

带电粒子经过 加速 电场和 偏转 电场后,速度的 偏转 角度是多少?

初速度方向是匀速直线运动,电场方向是匀加速直线运动。速度的偏转角度tanθ=Vy/V0=at/V0=Ft/mV0=qEt/mV0=qUt/mdV0t=L/V0那么:tanθ=qUL/mdV0^2初速...

【电场带电粒子 偏转 提高偏转灵敏度是什么意思提高偏转灵敏度...

[最佳回答]意思即是很小的该变量也会产生很大的偏转力应该是提高电场强度E即增大电压或者减小平行板的间距

什么是 偏转 电场、 加速 电场?

加速电场即使带电粒子射入后速度增大的匀强电场,表现为电场方向与带正电粒子速度方向相同,与带负电粒子速度方向相反。偏转电场即使带电粒子射入后速度方向...

什么是 偏转 电场, 加速 电场?

加速电场即使带电粒子射入后速度增大的匀强电场,表现为电场方向与带正电粒子速度方向相同,与带负电粒子速度方向相反。偏转电场即使带电粒子射入后速度方向...

电荷量为e, 加速 电场电压为U0, 偏转 电场可看做匀强电场,...

[最佳回答](1)电子在加速场中加速,根据动能定理,则有:eU0=12mv20解得:v0=2eU0m电子在偏转电场中加速,做类平抛运动,将其运动分解成速度方向匀速直线运动,与电...

标签:

相关阅读