开源电子实验应用 物理学家狂喜的AI开源了!靠实验数据发现物理公式,笔记本就能跑

小编头像

小编

管理员

发布于:2026年04月14日

98 阅读 · 0 评论

物理学家狂喜的AI开源了!靠实验数据发现物理公式,笔记本就能跑

梦晨 发自 凹非寺量子位 | 公众号 QbitAI

一个让物理学家狂喜的AI工具,在GitHub上开源了!

它名叫Φ-SO ,能直接从数据中找到隐藏的规律,而且一步到位,直接给出对应公式。

整个过程也不需要动用超算,一台笔记本大概4个小时 就能搞定爱因斯坦的质能方程。

这项成果来自德国斯特拉斯堡大学与澳大利亚联邦科学与工业研究组织Data61部门,据论文一作透露,研究用了1.5年时间,受到学术界广泛关注。

代码一经开源,涨星也是飞快。

除了物理学者直呼Amazing之外,还有其他学科研究者赶来探讨,能不能把同款方法迁移到他们的领域。

强化学习+物理条件约束

Φ-SO背后的技术被叫做“深度符号回归”,使用循环神经网络(RNN)+强化学习 实现。

首先将前一个符号和上下文信息输入给RNN,预测出后一个符号的概率分布,重复此步骤,可以生成出大量表达式。

同时将物理条件作为先验知识纳入学习过程中,避免AI搞出没有实际含义的公式,可以大大减少搜索空间。

再引入强化学习,让AI学会生成与原始数据拟合最好的公式。

与强化学习用来下棋、操控机器人等不同,在符号回归任务上只需要关心如何找到最佳的那个公式,而不关心神经网络的平均表现。

于是强化学习的规则被设计成,只对找出前5%的候选公式做奖励,找出另外95%也不做惩罚,鼓励模型充分探索搜索空间。

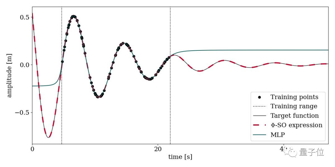
研究团队用阻尼谐振子解析表达式、爱因斯坦能量公式,牛顿的万有引力公式等经典公式来做实验。

Φ-SO都能100%的从数据中还原这些公式,并且以上方法缺一不可。

与其他方法入MLP相比,Φ-SO在训练范围之外的表现也要更好。

研究团队在最后表示,虽然算法本身还有一定改进空间,不过他们的首要任务已经改成用新工具去发现未知的物理规律去了。

GitHub:https://github.com/WassimTenachi/PhySO论文:https://arxiv.org/abs/2303.03192

参考链接:[1]https://twitter.com/astro_wassim/status/1633645134934949888参考链接:[1] https://twitter.com/astro_wassim/status/1633645134934949888

— 完 —

量子位 QbitAI · 头条号签约

关注我们,第一时间获知前沿科技动态

Firefox 15岁了:一款浏览器的浮沉,“隐私至上”的复兴

神译局是36氪旗下编译团队,关注科技、商业、职场、生活等领域,重点介绍国外的新技术、新观点、新风向。

编者按:浏览器的争霸史颇有轮回的味道。一开始Netscape当道,然后是微软利用操作系统的垄断地位让IE篡位成功。不过这种缺乏内在优势靠扶持的上位终归坐得不稳,跟Netscape颇有渊源的Firefox凭借着流畅性能、丰富功能、更高安全一经推出就大受欢迎,在巅峰时曾三分天下有其一。但随着Google利用庞大的研发和营销资源重磅推出Chrome,Firefox开始走下坡路。不过故事未必就完结了,随着用户对隐私的日益看重,而依赖广告的Google被束缚住手脚,在隐私和性能上不断加码的Firefox说不定还能东山再起。在Firefox走过15周年之际,Sean Captain对这款浏览器进行了回顾和展望。原文发表在Fastcompany上,标题为:Firefox at 15: its rise, fall, and privacy-first renaissance

根据Statcounter的数据,很有可能你是在用Google的Chrome浏览器看本文,搜索巨头的浏览器已经占据全球市场65%(在美国约为50%)的份额。现在,只有大约4%到5%的网络冲浪者是通过Firefox(位于加利福尼亚的Mozilla基金会的开源浏览器)上网的。但是,当Firefox在15年前的2004年11月9日刚刚推出时,web跟今日有着很大的不同,而此后这款浏览器开始迅速崛起。

当Firefox初登舞台时,击倒Netscape Navigator的Internet Explorer已经占据了90%以上的市场份额。由于它是Windows上的默认浏览器,而Windows在操作系统市场占据着类似的市场份额,因此IE的垄断似乎是永久性的。但Firefox很快就流行起来,并最终在2009年达到巅峰,占据了三分之一的市场份额。虽说现在的Firefox已经不太可能重现昔日的辉煌,但这款浏览器正在经历着一定程度的复兴,这不仅是通过提高速度完善功能实现,而且还因为它把隐私的控制权交到了用户手上。

十五年过去了,很难想象Firefox首次亮相时是多么的激进。Firefox不是出自像微软(或今天的Google)这样的大型公司,而是由世界各地免费提供代码的志愿者开发的。1998年,Mitchell Baker与他人共同创立了Mozilla项目,如今他是Mozilla Corporation和Mozilla Foundation的主席。他说:“开发者都了解开源。但是,当时的普遍看法是开源仅适用于极客。你可以为开发人员开发[工具],但不能用开源来开发消费产品。”

2004年,第一版的Firefox推出。

Firefox提供的不只是技术乌托邦式的理想。它在开发时考虑了安全性,并且在跟Windows XP捆绑在一起的IE 6陷入安全危机之际适时出现。Baker说:“当时大多数人使用的浏览器都存在安全风险”美国政府甚至就IE的安全风险向消费者发出警告,这为Firefox的发展提供了绝佳的机会。

除了安全性以外,Firefox还提供了精简、易于理解的界面,快速的性能以及丰富的功能。在微软甚至还没有意识到这种功能的价值之前,它就让分页浏览成为了主流。Firefox还为JavaScript之类的技术(由Mozilla联合创始人Brendan Eich 发明)以及CSS之类的标准提供了强大的支持,它们让Web页面无论浏览器如何都可以用同样的方式工作,它还提供了扩展,让定制几乎完全不受限。切换浏览器的好处显而易见,而且很容易—实际上有很多人这样做了。

2009年,我的同事Harry McCracken 在点评Firefox诞生 5周年时写道:“有可能还有一些交叉世界是Firefox没有出现的,在那里IE仍然占据着垄断的市场份额,而Web则是一个无趣得多的地方。”

Firefox大胆、非营利的特征掩盖了它的企业起源。实际上,它出自一度占据统治地位的浏览器制造商Netscape,那是互联网时代的第一个大型IPO(1995年)。而Netscape则出自第一个主流网络浏览器Mosaic的创造者。1998年,Netscape宣布其浏览器代码将放到Mozilla(Mosaic和Godzilla组成的混合词)项目开源。(其最初的红色恐龙标志是由街头艺术家Shepard Fairey设计的,后者也是奥巴马著名的“希望”海报的设计者。)

1999年,互联网巨头美国在线(AOL)收购了网景(Netscape),后者从此被卷进了众多企业收购难以回避的缓慢死亡漩涡。但是由于有了Mozilla项目,这项技术活得比原先的公司更久。该项目原先以Mozilla为名创建了一款浏览器。而最终被称为Firefox的那个版本是由Joe Hewitt、Dave Hyatt和Blake Ross牵头搞出来的,一开始被叫做Phoenix,然后又改成Firebird,后来因为商标问题才以Firefox的名义在2004年正式发布。

2009年成立五周年时的Firefox。

黑暗岁月

2009年是一个高点,标志着Firefox开始急转直下,至今尚未复原。这种下坠可以用一个词概括:Chrome。2008年,Google的浏览器横空出世,它带来了更华丽,最重要的是,提供了更快的体验。

Baker 说:“Chrome的头几版的确更好。我必须承认这一点。”

Google为Chrome浏览器的核心(称为引擎)投入了大量的新技术,这使得浏览器的效率大大提高。而Firefox则是建立在没法跟上的老化代码库之上。(从一开始我就是Firefox用户,但我记得Chrome出现后自己很快就放弃了浏览器。)

Google还有一个优势,那就是拥有庞大的开发和营销预算。随着2010年代末智能手机的出现 ,Google发现自己拥有的最大移动平台赋予了Chrome 1990年代Internet Explorer曾经拥有的内在优势。苹果在iPhone,iPad 和Mac上也具有类似的优势,这使得Safari浏览器成为全球第二受欢迎的浏览器(约占16%的市场)。跟15年前的微软不同,Google和苹果在收获巨大市场份额之后并没有因为自满而停止改进的步伐。

(在Chrome浏览器出现之前,Google曾经对Firefox非常的上心,甚至在自己的搜索引擎首页上推广该浏览器。即使在2008年推出Chrome浏览器后,该公司仍通过一项让Google成为Firefox默认搜索引擎的交易促进了后者的收入,因为所得的广告收入是跟Mozilla分成的。2017年,Mozilla从此类广告中获得了超过5亿美元的收入,在跟Yahoo合作了一段时间之后,Google再次成为其主要合作伙伴。)

Firefox之所以崩盘是因为Mozilla推出了一连串失败的产品。2004年,它还推出了一个名为Thunderbird的电子邮件客户端,只是这个客户端在业界领先的Microsoft Outlook面前从未脱颖而出。2013年,Mozilla推出名为Firefox OS的轻量级移动操作系统,意欲向Android / iOS双寡头发起挑战。他们还开发了少数几款手机,但未能引起公众兴趣,而Firefox OS在2017年已被废弃。

一些特殊的Mozilla应用得以幸免遇难,比方说Bugzilla,这是一款用来跟踪软件错误的应用。但是,基金会的重心越来越向开发Web浏览器倾斜,但做得不是太好。

在2017年末推出的Quantum提供了更快更华丽的体验。

巨大突破

2012年加入Mozilla的工程师Selena Deckelmann现在已经是Firefox浏览器设计的高级总监。他说:“我认为,作为一家工程组织,我们曾经有一段时间变得很沾沾自喜”。Deckelmann的第一项工作是分析出现问题时浏览器生成的崩溃报告,所以她能够很早知道产品存在的故障。Firefox的低迷可能表明了非营利性的,以志愿者为主导的项目存在的弊端。因为不需要去取悦股东,在缺乏业务压力的情况下,组织就可能就会忽略去保持竞争力。

Firefox的问题之一是无法跟上现代计算机硬件的发展,包括不能利用多CPU和GPU的并发计算能力。Mozilla一直在进行一系列比较小的改进工作,但是这种小打小闹在2016年底发生了巨大变化,Mozilla平台工程副总裁David Bryant宣布要开发名为Quantum的新浏览器引擎。Deckelmann 说:“这就好比下战书。现在,我们的重点开始更加明确地转向性能。”

第一版基于Quantum的Firefox于2017年11月问世,性能有望是呆板的前作的两倍。这无疑是一个巨大进步,也获得了好评,但充其量只能让Firefox跟Chrome平起平坐。

2019年隐私已成为Firefox的关键功能。

隐私作为杀手锏

仅仅跟竞争对手一样还不足以从市场领先产品那里赢取皈依者。不过,在保护用户隐私方面,Firefox要胜过Chrome。在向Quantum过渡的过程中,Mozilla引入了一系列技术来阻止广告商、社交网络甚至互联网服务提供商跟踪和分析你的个人资料。(这个,加上可以忍受的速度,让我又重新用回了Firefox,并且也让其他很多人对它再仔细地看了看。)

Chrome不大可能会想跟Firefox在隐私的问题上一争高下。Google的庞大财富就来自在线广告,而在线广告是建立在尽可能多的设备上收集尽可能多的用户信息基础之上的。以任何方式阻碍这一过程都会威胁到它的核心商业模式。

相比之下,Mozilla是一家非营利性组织,其安身立命的基础是Baker在2007年撰写的Mozilla使命宣言所体现的乌托邦理想。它以自由软件、互联网的普遍访问以及可互操作技术等概念为核心列出了10条原则。第4条原则指出:“互联网上的个人安全和隐私是基本原则,绝不能当作可选。”(宣言在2018年进行了更新,增加了人的尊严、宽容以及“公民话语”等价值观。)

一项宣言的存在标志着Mozilla与其他主要浏览器制造商竞争对手的不同。Mozilla基金会既是软件制造商,也是活跃份子组织,并且这两方面的活动密不可分。

以就拿Cambridge Analytica丑闻为例,数千万Facebook用户的数据被暴露给了这家政治咨询公司。为了表示抗议,Mozilla从Facebook撤下广告,并发起请愿书,要求该公司修改其用户隐私设置。不仅如此,Mozilla还以代码为武器进行反击,开发了一款名为Facebook Container的Firefox插件,这个插件会限制该社交网络从浏览器收集用户数据的能力,比方说在其他选项卡或窗口打开的网站。

Mozilla一直在加大对各种跟踪用户行为的打击力度,比方说第三方(或跨站点)Cookie,也就是某站点放在浏览器里面用来查看某人访问的所有其他站点的文件。作为浏览器实验性预发布版本的一项可选功能,所谓的增强跟踪保护功能于2018年8月开始推出。后来它成为了主流版本的可选功能。今年9月,Mozilla开始默认启用屏蔽功能。除了第三方Cookie之外,浏览器现在还屏蔽其他跟踪器,比方说在线广告的代码以及web上无处不在的社交媒体“分享”按钮。

就像料想得到那样,Google的反应就没那么积极了。今年8月,它跳出来反对屏蔽第三方Cookie,认为这会鼓励营销人员设计更隐蔽的跟踪用户的方式。方法之一是所谓的指纹识别,这玩意儿会收集你在计算机和Web浏览器上的特定设置(比方说已安装的插件),并形成唯一标识符。最新版的Firefox 70已经纳入了指纹屏蔽功能。

但是,在保护隐私方面Mozilla并不是孤军奋战。苹果对跟踪器的屏蔽至少一样积极,Safari也会拦截,并且还把这件事当作兜售iPhone、iPad以及旗下计算机的原因。

宣传攻势

Mozilla一方面加强隐私保护的行动,另一方面也在提高隐私宣传的声音。Baker说:“很长一段时间以来,我们认为最好是尽可能保持安静。在幕后把所有事情做好就行,不要去打扰别人或者非得说出来。”但在过去18个月里,随着用户对安全风险的意识和担忧日益增强,这种情况开始改变。

除了默认打开跟踪保护外,最新版的Firefox还引入了“隐私保护”仪表板,这个仪表板会按类型详细列出过去一周内所有被屏蔽的跟踪器。用户还可以单击浏览器顶部的按钮,查看每个网站上被屏蔽的所有跟踪器。

隐私保护仪表板会跟踪一段时间内被屏蔽的跟踪类型,并说明每种跟踪的工作原理。

Mozilla不只是把统计信息甩给用户。仪表板设计简约,还用颜色编码的条形图对被屏蔽的不同类型跟踪器进行总览。它还提供了解释器,对不同类型跟踪器的功能进行清晰描述。

Deckelmann 表示,为用户简化复杂信息是一项重大挑战。她说:“这是一个常见的工程问题。你怎么才能把自己所做的所有这些事情变成人人都能理解的故事?这对我而言就是现在要关注的重点:聚焦在那个故事上面,帮助大家真正理解web的状态。”

Mozilla不仅可以帮助大家了解浏览器在后台的运行情况,还可以帮助用户调整这些设置。高级跟踪保护这个选项大概是一年前启用的,现在Mozilla已经默认打开了。如果这项功能导致网站出现异常的话,用户仍然可以禁用。而且用户还可以打开更严格的开关来阻止更多的跟踪技术,但是这样可能会影响到网页的运行。

Baker说:“我们Firefox努力想要做的是让每个人都有更多的能力去改变自己的在线生活。你应该对自己的体验拥有一些自主权。这些不应该全部都由大型组织来决定。”

可如果只有4%或5%的web用户用这些隐私工具的话,那这些工具又有多大的用处?Deckelmann 说:“我们正在努力提高我们的知名度,帮助大家回到Firefox上面。但是我们还有另一项工作,要积极去影响政策,让web朝着有利于用户的方向发展。”

作为一家活跃分子组织,Mozilla还在继续发展,并积极推动像网络中立法规和Facebook隐私改革之类的改革。它还努力建立新的技术标准,比方说让互联网服务提供商更难看到浏览器访问哪些网站的标准。

在产品端,Firefox发挥着试验台的作用,为web其他地方证明隐私举措等技术的效用。Deckelmann 说:“我们希望我们开发的这些技术每一项都能为所有浏览器所采用。”

Mozilla和Firefox的设想是扩大大家对信息的访问以及彼此之间的交流,而不是让公司变得有钱。这款浏览器在2004年一开始的大受欢迎不仅对Mozilla有帮助。它还挑战既有者做出改善,并激发新竞争者加入,从而帮助了整个互联网。十五年后,站在Chrome和Safari右边的Firefox也许显得很渺小。但它仍在推动促进开放性和安全性的新技术,为每一位上网者提供帮助。

译者:boxi。

相关问答

Mozilla的Project Things 开源 物联网平台,最近有哪些新进展?

在“设置”菜单的“实验性”模块中,用户可选启用日志记录,并指定保存数小时、数天、甚至数周的时间。Francis表示:尽管知识一个实验性的功能,但查看这些日...I...

如何看待中国联通正式发布的CubeAI智立方平台?

打造联通AI发展的智能引擎,进而实现生态共赢,构建网络AI生态圈和开放合作体系,加速网络AI的创新和应用。总体来说,联通网络AI发展路径就是,通过应用牵引,聚焦5G+...

实验 9: 温度报警 - OSCHINA - 中文 开源 技术交流社区

LM35是一种得到广泛使用的温度传感器,由于它采用内部补偿,所以输出可以用0度开始,它有多种不同不同封装形式。在常温下,LM35不需要额外的校准处理即可达到+/-1/...

工程师Marco Mascorro开发的基于树莓派的呼吸机有何特点?

为应对日渐严峻的新冠病毒危机,我们在过去几周见到了许多采用新颖设计思路的低成本呼吸机。包括特斯拉在内的许多汽车制造商,纷纷利用现有零部件来转产,以便...

人工智能领域有哪些好的数据集,公开可用的?

现如今构建人工智能或机器学习系统比以往的时候更加容易。普遍存在的尖端开源工具如TensorFlow、Torch和Spark,再加上通过AWS的大规模计算力、GoogleClo...

mworks与天洑软件的区别?

它们的主要区别在于以下几点:1.平台支持:MWorks是一个开源软件,可在多个操作系统上运行,包括MacOSX、Linux和Windows。而天洑软件则仅支持Windows操作系统...

研究生做深度学习,可以利用哪些资源? ?

深度学习一般都会用到GPU来跑实验,如果没有,你可以自己买一台好一点的电脑,买个显卡,安装一下相关的程序就可以了呀,不过,这个有点伤电脑。如果不想自己买...►...

ai成片哪个工具好用?

在选择成片工具时,有几个好用的选择。首先是TensorFlow,它是一个强大的开源机器学习框架,具有丰富的功能和广泛的支持。其次是PyTorch,它也是一个流行的深...

哪位好基友在线等!急急急!石家庄起重机院校虚拟 实验 平台企业...

[回答]在做好电子信息类专业应用型人才培养的同时,实验室还不断加强与同类院校和企业的沟通交流,积极拓展对外合作项目。河北工业大学、伍伦贡大学等国内...

研究生期间,有哪些好用高效的科研工具或者软件?

关于这个问题,首先要界定,你是什么学科的研究生。不同学科,内部差异很大,因此很难一概而论。因此,我主要论述一下共性的软件。Typora这是一款写作软件,能...2...

标签:

相关阅读