导数应用于电子 导数在高中物理中的应用

小编头像

小编

管理员

发布于:2025年05月06日

188 阅读 · 0 评论

导数在高中物理中的应用

一、利用导数求瞬时值

某物理量A定义为A=△y/△x,

比如:速度v=△x/△t,加速度a=△v/△t,角速度ω=△θ/△t,电场强度E=-△Φ/△x,感应电动势E=N△Φ/△t等等,凡是结构是A=△y/△x这种类型的,我们都可以采用类比的方法.

物理量A=△y/△x,若△x不趋近零时,是一个过程的平均值,反映在图像上就是割线斜率;

物理量A=△y/△x,若△x→0,A的值为某时刻或某点的瞬时值,也就是△x→0的极限,

反映在图像上就是切线的斜率.

①导数在运动学上的运用

示例1:某质点运动过程中位移x(单位m)和时间t(单位s)满足表达式,x=5t³+3t²+4t+2(m),求:

①1s—3s内的平均速度

②2s时的瞬时速度

③2s时的加速度

【解析】

①1s—3s内的平均速度是割线斜率,

t=1s时,x=14m;

t=3s时,x=176m;

△x=162m;

1s—3s内的平均速度为81m/s.

②2s时的瞬时速度是切线斜率,瞬时速度的表达式就是位移对时间的导数,求得:

v=15t²+6t+4(m/s)

当t=2s时,v=76m/s.

③瞬时加速度的表达式就是速度对时间的导数,就是v-t图的斜率,也就是x-t函数对时间t的二阶导数.

求导得:a=30t+6(m/s²)

t=2s时,a=66m/s².

②导数在感应电动势上的运用

示例2:如图所示,两根平行足够长的金属导轨固定在水平桌面上,导轨的端点P和Q用导线相连,两导轨间的距离为L,磁场垂直于桌面向上,已知磁感强度B与时间的关系为B=kt(k为大于零的常量).在t=0时刻,金属杆紧靠在P、Q端,在外力作用下,杆从t=0时刻开始以恒定的加速度a从静止开始向导轨的另一端滑动,求在t时刻整个回路的感应电动势大小.

这是感生和动生共存的情况,可以用法拉第电磁感应普适公式,E=n△Φ/△t,瞬时电动势,就是求Φ(t)函数的导数.

Φ=BS=BLvt=ktL·½at²

E=kL·½at²+ktL·at=3kLat²/2.

例题:如图所示,KLMN是一个竖直的矩形导线框,全部处于磁感应强度为B的水平方向的匀强磁场中,线框面积为S,MN边水平,线框绕某竖直固定轴以角速度ω匀速转动。在MN边与磁场方向的夹角到达30°的时刻(图示位置),导线框中产生的瞬间电动势e的大小是多少?标出线框此时电流的方向。已知线框按俯视的逆时针方向转动。

【解析】从平行面开始计时的磁通量表达式为Φ=BSsinθ,t=0的初相位为π/6.

磁通量表达式应该修改为Φ=BSsin(θ+π/6),而θ=ωt,

Φ=BSsin(ωt+π/6)

E=n△Φ/△t,求瞬时表达式,即求导数,

E=nBSωcos(ωt+π/6)[t=0,n=1]

E=√3BSω/2

电流方向根据楞次定律判断.

例题:纸面内两个半径均为R的圆相切于O点,两圆形区域内分别存在垂直于纸面的匀强磁场,磁感应强度大小相等、方向相反,且不随时间变化。一长为2R的导体杆OA绕过O点且垂直于纸面的轴顺时针匀速旋转,角速度为ω。t=0时,OA恰好位于两圆的公切线上,如图所示。若选取从O指向A的电动势为正,下列描述导体杆中感应电动势随时间变化的图像可能正确的是(C)

【解析】

Φ=BS=B·θR²-½BR²sin2θ

=BR²(ωt-½sin2ωt)

Φ′(t)=BR²(ω-ωcos2ωt)

=2BR²ωsin²ωt.

E=nΦ′(t)=2BR²ωsin²ωt.

也可以用切割磁感线方法

③导数在电势分布于某直线上的应用

示例3:某静电场中的一条电场线与x轴重合,其电势的变化规律如图所示,在O点由静止释放一电子,电子仅受电场力的作用,则在-x₀~x₀区间内(BC)

A.该静电场是匀强电场

B.该静电场是非匀强电场

C.电子将沿x轴正方向运动,加速度逐渐减小

D.电子将沿x轴正方向运动,加速度逐渐增大

【解析】

值得注意的是电场强度E=-△Φ/△x有个负号;斜率为正,表示电场方向沿x负方向.

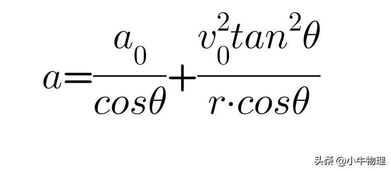
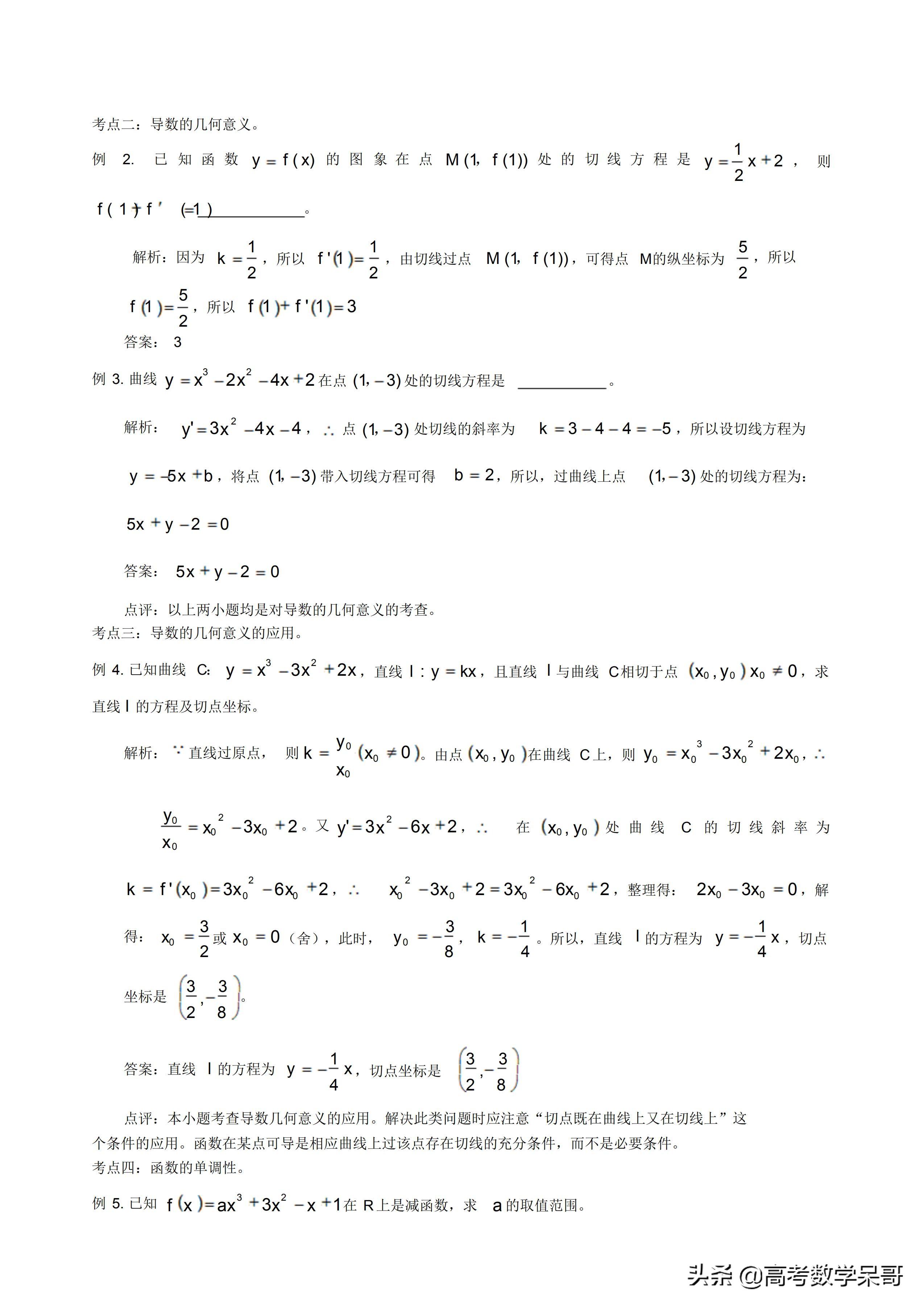
④导数在关联加速度上的应用 示例4:在一光滑水平面上放一个物体,人通过细绳跨过高处的定滑轮拉物体,使物体在水平面上运动,人以速度v₀,加速度a₀向左运动.当绳子与水平方向成θ角时,物体前进的瞬时速度v是多大和加速度a是多大?

【解析】

由速度关系,可以进而求出加速度之间的关系,不再同一直线上运动(涉及转动)的两物体,加速度关系不能类似于速度那样的关系(a₀=a·cosθ).

v₀=v·cosθ,v=v₀/cosθ,(θ也会随时间而变化,这是一个复合函数)

a=dv/dt

也可以用加速度合成法求解.

⑤导数在电磁感应与电容器结合的应用

示例5:如图,两条平行导轨所在平面与水平地面的夹角为θ,间距为L。导轨上端接有一平行板电容器,电容为C。导轨处于匀强磁场中,磁感应强度大小为B,方向垂直于导轨平面。在导轨上放置一质量为的金属棒,棒可沿导轨下滑,且在下滑过程中保持与导轨垂直并接触良好。已知金属棒与导轨之间的动摩擦因数为μ,重力加速度大小为g。忽略所有电阻。让金属棒从导轨上端由静止开始下滑,求:

(1)电容器极板上积累的电荷量与金属棒速度大小的关系;

Q=CBLv

(2)金属棒的速度大小随时间变化的关系.

二、利用导数求极值与单调性

示例:一木箱重为G,与地面间的动摩擦因数为μ,用斜向上的力F拉木箱,使之沿水平地面匀速前进,如图所示.问角α为何值时拉力F最小?这个最小值为多大?

【解析】

受力分析

求cosα+μsinα的最大值

利用导数得:

f′(α)=-sinα+μcosα=0

α=arctanμ

把α代入即可求得F的最小值.

例题:如图所示,相距2r的两个等量同种正电上场强的最大值及位置.

【解析】

即求cos²θsinθ的最大值

令f(θ)=cos²θsinθ

在连续可导情况下

f'(θ)=cos³θ-2sin²θcosθ=0

cos²θ=2sin²θ

tanθ=√2/2θ=arctan(√2/2)

θ≈35.26°

示例:如图所示,滑块a和b的质量均为m,a套在固定竖直杆上,b放在地面上,a和b通过铰链用刚性轻杆连接,轻杆的长度为L.轻杆初始在竖直方向,滑块a受到扰动由静止开始运动,不计一切摩擦,a和b可视为质点,重力加速度大小为g.在a下落的过程中,(BD)

并且分析a的速度如何变化,求解b的速度的最大值.

由系统机械能守恒得:

Va′(θ)=2sinθcos(1-cosθ)+sin³θ

此导函数的值大于零,则Va(θ)为增函数,即Va一直在增大.

Vb′(θ)=sinθcosθ(3cosθ-2)

此导函数有零点,且V′(θ)先大于零,后小于零,Vb先增后减.

当Vb′(θ)=0时,Vb具有最大值

sinθcosθ(3cosθ-2)=0

cosθ=2/3代入Vb得:

一般性解法:

Vacosθ=Vbsinθ

当θ=90°时,cosθ=0,Vb=0

b的速度从0到0,b的速度先增后减,杆子对b先做正功,后做负功,根据数学零点定理,必定有某点不做功,b的速度在该点速度有最大值,此时杆子的力Fɴ=0,a的机械能最小,b的机械能最大,a的加速度为g,b的加速度为0,b对地面压力为mg,此后a的加速度大于g,θ在增加,Va=Vbtanθ,在Vb增大的过程中,Va也在增大,在b减速过程中,杆子对b做负功,对a就做正功,a仍然加速,所以a一直在加速.

示例:在纯电阻电路中,输出功率和外电阻关系,当在电阻多大时,电源输出功率最大.

只需求R+r²/R的增减性

令f(R)=R+r²/R

对R求导得:f′(R)=1-r²·R⁻²

当f′(R)=1-r²·R⁻²=0时,

R<r时,f′(R)<0,f(R)为减函数,输出功率函数为增函数,R>r时,f′(R)>0,f(R)为增函数,输出功率函数为减函数,当R=r时,f′(R)=0,输出功率最大.

三、利用导数求变化率

例题:下图为一种早期发电机原理示意图,该发电机由固定的圆形线圈和一对用铁芯连接的圆柱形磁铁构成,两磁极相对于线圈平面对称。在磁极绕转轴匀速转动过程中,磁极中心在线圈平面上的投影沿圆弧XOY运动(O是线圈中心),则(D)

A.从X到O,电流由E经G流向F,先增大再减小

B.从X到O,电流由F经G流向E,先减小再增大

C.从O到Y,电流由F经G流向E,先减小再增大

D.从O到Y,电流由E经G流向F,先增大再减小

【解析】

磁极中心经过O点正上方时,磁通量最大,在连续可导情况下,磁通量对时间的一阶导数,也就是磁通量变化率为零,即感应电动势为零.

例题:如图所示,AOC是光滑的直角金属导轨,AO沿竖直方向,OC沿水平方向,ab是一根靠立在导轨上(开始时b离O点很近)的金属直棒,金属直棒从静止开始在重力作用下运动,运动过程中a端始终在AO上,b端始终在OC上.直到ab完全落在OC上,整个装置放在一匀强磁场中,磁场方向垂直于纸面向里,则ab棒在运动过程中(BD)

A.感应电流方向始终是b→a

B.感应电流方向先是b→a,后变为a→b

C.所受磁场力方向垂直于ab向上

D.所受磁场力方向先垂直于ab向下,后垂直于ab向上

【拓展】

感应电流什么位置最小?

【解析】

x=Lsinθ,y=Lcosθ,S=xy/2

=½L²sinθcosθ=L²sin2θ/4

Φ=BS=BL²sin2θ/4

Φ′(θ)=BL²cos2θ/2

当Φ′(θ)=BL²cos2θ/2=0时,即θ=π/4时,E有最小值.

例题:质量为m的球从地面以初速度v₀竖直向上抛出,已知球所受的空气阻力与速度大小成正比.下列图象分别描述了球在空中运动的加速度a、速度v随时间t的变化关系和动能Ek、机械能E(选地面处重力势能为零)随球距离地面高度h的变化关系,其中可能正确的是(C)

值得注意的是电阻的定义是R=U/I而不是△U/△I,因此不能用求导的方法求电阻.

附录:

1.零点定理

如果函数y= f(x)在区间[a,b]上的图象是连续不断的一条曲线,并且有f(a)·f(b)<0,那么,函数y= f(x)在区间(a,b)内有零点,即至少存在一个c∈(a,b),使得f(c)=0,这个c也就是方程f(x)= 0的根。

2.一阶导数增减性,二阶导数凹凸性,三阶导数看拐点。

连续可导函数的一阶导数就是相应的切线斜率。一阶导数大于0,则递增;一阶倒数小于0,则递减;一阶导数等于0,则不增不减。

而二阶导数可以反映图象的凹凸。二阶导数大于0,图象为凹;二阶导数小于0,图象为凸;二阶导数等于0,不凹不凸。

结合一阶、二阶导数可以求函数的极值。当一阶导数等于零,而二阶导数大于零时,为极小值点;当一阶导数等于零,而二阶导数小于零时,为极大值点;当一阶导数、二阶导数都等于零时,为驻点。一阶导数可以用来描述原函数的增减性。

二阶导数可以用来判断函数在一段区间上的凹凸性,f''(x)>0,则是凹的,f''(x)<0则是凸的。

三阶导数用来找函数的拐点,拐点的意思是如果曲线f(x)在经过点(x₀,f(x₀))时,曲线的凹凸性改变了,那么就称这个点为曲线的拐点。

3.常用导数表

北大学霸整理:高中数学导数及其应用专题梳理,拿去针对复习

数学是一门灵活的科目,自然就需要去灵活应对,死记硬背是没有任何意义的。比如说一个公式,记住了,却不会使用,这反倒还把时间浪费了,反之,学会运用了,基本上这个公式都印在脑海中了。所以,学习数学更重要的是方法、理解。

对于导数,同学们也要学会灵活运用,建议同学们直接通过结合课本做题的方式,去进行循环渐进地练习、掌握。多看一看典型例题分析,最好是能够记住,然后理解方法,把解题思路剖析透彻,这对于今后解题是很有帮助的。

所以,今天小编老师给同学们整理了一套关于《导数及其应用》的专题梳理,其中包含了基础知识点、定理、公式以及练习题。同学们可以打印下来,结合课堂一起使用,这样可以更深入地掌握该专题,下面一起来看看吧。

注:文末有完整版电子打印资料的获取方式。

好了,由于篇幅限制,今天就分享到这里了,喜欢的话就多多关注吧!

完整版以及更多WORD版打印资料获取步骤:

1、点击头像进入主页然后再关注,

2、接着点击私信处发送“资料”二字即可。

相关问答

对于单 电子 原子,轨道能量只取决于n.为什么_作业帮

[最佳回答]单电子原子(离子)也叫做类氢原子.除了核电荷数与氢原子不同外,其核子正电荷与单电子之间的作用原理与氢原子是一样的.所以,能量的计算与氢原子一样(...

向量求导法则是怎样的?_作业帮

[回答]在直线坐标系中,空间向量每个分量都是随位置变化的一个三元函数,可以将向量的求导转换为函数的求导,具体看数学分析教材,有专门讲解向量求导的章节...

数值分析的 应用 ?

《数值分析典型应用案例及理论分析》,作为同济大学“一拔尖,三卓越”特色项目———以“莱茵书院”为载体的厚基础跨学科宽口径培养模式的深化研究项目的课程...

原子内的 电子 停止运动会怎么样?

题主你好。其实我想先问题主一个问题:你所谓的“电子运动”指的是什么运动。电子不是宏观世界所见到的“机械运动”。换句话说,如果题主把“电子运动”理解为...

高等数学一的内容有那些啊,弄个目录就好_作业帮

[回答]高等数学(也称为微积分)是理、工科院校一门重要的基础学科.作为一门科学,高等数学有其固有的特点,这就是高度的抽象性、严密的逻辑性和广泛的应用性...

高中数学学那么多三角函数公式到底有什么用?

高中数学中三角函数的特点就是公式多,比如诱导公式、和差公式、二倍角公式、半角公式、降次公式等,而且公式之前还有很多联系,同学们在考试时可能会出现用错公...

切割磁感线是否会受到阻力?有的话如何计算_作业帮

[回答]切割磁感线运动产生电流是因为导线中的载流子(电子),受到了磁场的洛仑兹力的作用,而洛伦兹力的大小为电荷*磁感应强度矢量和速度矢量的矢量叉积,通...

有没有 电子 科学与技术专业考研的学长学姐能分享一下自己的考...

各位2017的准硕士研究生你们好呦~我是16的考生,昨天刚刚收到复试成绩和拟录取的通知,真的是感慨万千,因为了解各位考研同学,尤其是跨考同学的不易,...

为什么三角函数很重要?

三角函数在数学、物理、工程和其他领域具有重要意义,因为它们在许多实际问题中都有应用。三角函数主要包括正弦(sine)、余弦(cosine)和正切(tangent)等,...三...

电子云 为什么电子云描述的是电子的概率密度分布而不是概率分...

[最佳回答]概率是数字啊描述数字可能是电子云那样的波?概率密度主要指在那出现几率大,那就密这才是电子云概率密度电子运动的状态有波函数Ψ来描述,∣Ψ∣...

标签:

相关阅读