电子的波粒二象性应用论文 波粒二象概念创新 爱因斯坦破解光电效应 量子群英传

小编头像

小编

管理员

发布于:2025年05月05日

107 阅读 · 0 评论

波粒二象概念创新 爱因斯坦破解光电效应 量子群英传

导读

“六分努力,三分天赋,一分还靠贵人来相助”

前情提要:1900年12月4日,普朗克在柏林科学院报告了他的黑体辐射研究成果,这个日子后来被定为量子力学之诞辰。从此之后,魔盒被打开,标志着量子力学范畴的这个小精灵(h)就此诞生了。

就当普朗克在柏林科学院作他的黑体辐射报告时,刚大学毕业的爱因斯坦正为了找工作而四处奔忙。这位后来鼎鼎有名的科学巨匠,并不是一个早熟的天才,甚至一度被老师认定“没出息”……

(图源:youtube)

撰文 | 张天蓉

尽管普朗克的物理内功高强,名震学界,但他当年解决黑体辐射问题上笼罩的这片“小乌云”时,毕竟是已经四十二岁的中年人。后来,又不明不白地自我怀疑斗争了好几年,企图将释放出来的量子小妖精用传统功夫压回到经典物理的潘多拉盒子中去!这前后一折腾,普朗克就差不多快到“知天命”的年龄了。随着年岁增加,普朗克的创新精神逐渐减少,但眼光仍然不凡,特别是一眼看中了后来鼎鼎有名的科学巨匠爱因斯坦。

大巧若拙、大智若愚

话说那年头,也有少数几个年轻人,被普朗克放出的量子妖精引诱迷惑,不声不响地暗暗修炼“量子化”功夫,其中就包括在瑞士伯尔尼专利局做三级小职员的爱因斯坦。

爱因斯坦(Albert Einstein,1879-1955)比普朗克小21岁,是德国出生的犹太人。这孩子不像是一个早熟的天才,而是一个3岁才开始说话、令父母担心、大器晚成的“奇葩”儿童。他磕巴磕巴地读到了中学,爱因斯坦从事电机工程的商人父亲曾经显得有点忧郁地咨询儿子的中学老师:“这个孩子将来从事什么职业好啊?”得到的回答是,什么职业都可以,反正他不会有大出息!

普朗克在柏林科学院作他的黑体辐射报告时,刚大学毕业的爱因斯坦正为了找工作而四处奔忙。爱因斯坦虽然从小被老师认定“没出息”,但他并不自暴自弃,还深爱物理,立志从事科研工作!

1900年,爱因斯坦大学毕业时,已经在德国的权威杂志《物理年鉴》上发表了研究毛细现象的学术论文,并且决定继续攻读物理博士学位,但因为他想申请当老师的助手而未被接受,所以为了生存糊口不得不首先找个工作。

最后,在他的数学家朋友、大学同学马塞尔·格罗斯曼的父亲的帮助下,爱因斯坦成为了瑞士专利局的一名小职员。

小职员的工作较轻松,使爱因斯坦有时间研究他喜爱的物理,并业余攻读完成了博士学位。

晚熟孩子的优点就是因为有自知之明而勤奋刻苦持之以恒,不偷懒耍滑不靠小聪明。就像学习武功一样,有些所谓的“聪明人”,喜欢练习简单招式并号称几遍就学会;而迟缓一点的,则能靠时间和刻苦来积累起深厚的内力,此乃真功夫也!

解光电效应,一鸣便惊人

厚积多发,一鸣惊人!爱因斯坦在他的奇迹年,1905年,终于突然萠发出天才伟人的耀眼光辉。那一年,他发表了4篇论文,篇篇逆天,篇篇惊人,篇篇伟大,篇篇都是里程碑。

一解光电之效应,开继量子天地;

二算布朗的运动,发展随机统计;

三建狭义相对论,时空合为一体;

四立质能间关系,揭示深层原理。

说说与量子论有关的光电效应。1887年,德国物理学家海因里希·赫茲发现,紫外线照到金属电极上,会产生电火花,后人称此为光电效应。

根据当时被学界接受的“光的电磁波理论”,光电效应中产生的电流大小,应该与光波的强度有关。但是,在1902年,菲利普·莱纳德做了一个非常重要的实验。他首先利用真空管里的光,在某种材料表面打出光电子,然后用一个非常简单的电路来测量光电子的能量。从实验结果,他惊奇地发现光电子的能量和光的强度毫无关系,只与频率有关。

也就是说,与普朗克当初研究的黑体辐射问题有些类似,光电效应的实验结果令物理学家们困惑。

爱因斯坦及其光电效应方程

不过,很快地,1905年6月,爱因斯坦发表了他的重磅论文《关于光的产生和转化的一个启示性的观点》,成功地解释了光电效应。

爱因斯坦在这篇论文中假定,电磁场能量本身就是量子化的,频率为v的电磁场的能量的最小单位是hv。这儿的h,就是普朗克解决黑体辐射问题时使用的普朗克常数,爱因斯坦将这种一份一份的电磁能量称为“光量子”,也就是后来被人们称作的“光子”。

利用爱因斯坦的光量子能量关系式,就很容易正确地解释莱纳德发现的光电效应规律了。在同一年,爱因斯坦又接连发表了他的另外3篇论文,包括一篇狭义相对论的。

同为德国人的普朗克,当然注意到了这位物理界的年轻明星。不过,当时的普朗克,仍然为自己释放的量子妖怪而耿耿于怀,他还在努力,企图把量子化假设回归于经典物理的框架中。所以,他最为推崇的是爱氏的狭义相对论,而不是光电效应解释。

并且,普朗克自己也对狭义相对论的完成做出了重要的贡献。由于普朗克当时在物理界的影响力,相对论很快在德国得到认可。同时,普朗克也积极热心地向各个大学和研究所推荐爱因斯坦,以帮助他得到一份教职。他将爱因斯坦称为是20世纪的哥白尼。

对爱因斯坦的光量子假说,普朗克则持反对态度,因为他并不准备放弃麦克斯韦的电动力学,他顽固地坚信光是连续的波动,不是一颗一颗的粒子。普朗克如此驳斥爱因斯坦:

“君之光量子一说,使物理学理论倒退了非数十年,而是数百年矣!惠更斯早已提出光为连续波动而非牛顿所言之微粒也!”

爱因斯坦的经历,也许能给我们一点启迪:何谓天赋?需要谨慎定义之。表面看起来不言不语、发育迟缓的“笨”孩子,没准儿是个隐藏的天才哦!可谓“大音稀声,大象无形”也。况且,人生一世成功与否,在于“六分努力,三分天赋,一分还靠贵人来相助。”

机遇加天赋,贵人来相助

帮助爱因斯坦的贵人中,除了他的那位帮他找工作的数学家朋友格罗斯曼外,普朗克也算一个。格罗斯曼后来将黎曼几何介绍给爱因斯坦,为他建立广义相对论起了关键的作用;普朗克则是少数首先发现狭义相对论重要性的人之一。

有一个叫欧内斯特·索尔维的比利时企业家,欲在布鲁塞尔创办一个学会。1911年秋天,普朗克和能斯特等鼓动他通过邀请举办了第一届国际物理学会议,即第一次索尔维会议。主席为德高望重的荷兰物理学家洛伦兹。主题则定为“辐射与量子”,专论刚刚登台的量子力学之方法与理论。

坐者(从左至右):沃尔特·能斯特、马塞尔·布里渊、欧内斯特·索尔维、亨德里克·洛伦兹、埃米尔·沃伯格、让·佩兰、威廉·维恩、玛丽·居里、亨利·庞加莱。

站者(从左至右):罗伯特·古德施密特、马克斯·普朗克、海因里希·鲁本斯、阿诺·索末菲、弗雷德里克·林德曼、莫里斯·德布罗意、马丁·努森、弗里德里希·哈泽内尔、豪斯特莱、爱德华·赫尔岑、詹姆斯·金斯、欧内斯特·卢瑟福、海克·卡末林·昂內斯、阿尔伯特·爱因斯坦、保罗·朗之万。

这也算是量子物理之第一次武林大会,虽不似后来16年后(1927年)的第五次索尔维会议的阵容那么壮观强大,却也有经典物理派的众多高手云集,且是讨论量子问题的开天辟地第一回,其意义不可小觑。

两位量子创建者:偏保守的普朗克和当时代表革命派的爱因斯坦,分别站立于后排左右两边上第二的位置,普朗克深邃的目光沉稳而固执,爱因斯坦的身子则随意地微微前倾,好像是正在注意着坐在前排中间的居里夫人和庞加莱:他们在讨论什么呢?不应该是量子吧,是相对论?还是质能关系?

会议中与普朗克的讨论,使爱因斯坦十分满意。在光量子等问题上,爱因斯坦终于基本上说服了普朗克。爱因斯坦也指出低温下比热的不正常表现,是又一个无法用经典理论解释的现象。经典理论的确需要新的、革命的观念!也可能是因为,保守的普朗克有了这位年轻人的支持,对自己开创的理论有了更多的信心,加之普朗克多年反对“量子化”却又失败了的努力,使他在潜意识中不得不承认:他发现的这个常数h,其值虽小,内力却深厚无比。这个小怪物在微观世界中是真实存在的,不可能将它设成0而得到与实验事实符合的结果!

因此,两位量子先驱从此相谈甚欢,结下了深厚的友谊。两人对音乐的共同爱好也加深他们之间的友情。此后,他们便经常召集其他几位科学、物理、及音乐之同好,一起聚聚在普朗克家里。在思考物理理论问题之余,一个弹钢琴,一个拉小提琴,也有人哼歌,来场欢乐的音乐会,岂非学术界人士生活中的一大美事也?

后来,普朗克成为柏林大学的校长,1913年,爱因斯坦应普朗克教授之邀,赴德国柏林担任新成立的威廉皇帝物理研究所所长和柏林大学教授,同年当选为普鲁士科学院院士。从此,爱因斯坦有了一个稳定的发挥才能的平台。

预言激光,贡献不凡

如今人们提到爱因斯坦对量子理论的正面工作,大多只记得他解释了光电效应。然而实际上,爱因斯坦当年对量子力学所作的贡献,远不止光电效应一项!他比普朗克更为深刻、更为早得多地认识到量子化的重要性!

1906年,用光量子假说解决了固体比热理论,指出普朗克量子假说的真实物理含义;1906年,指出普朗克黑体计算中的逻辑矛盾:既用能量量子化,又使用连续经典电磁场方程;1909年,提出光的波粒二象性思想;1916年,将普朗克辐射公式重新进行纯量子推导,只利用光量子假设和玻尔的定态跃迁假设;1916年,提出受激辐射理论,预言激光;1924年,玻色-爱因斯坦统计;1925年,支持德布罗意物质波思想,促使薛定谔建立波动力学方程......

1917年的爱因斯坦和他提出的受激辐射示意图

然后就是后来站在量子论的对立面与玻尔辩论,提出EPR佯谬等等。从反面及统一场论的角度推动量子理论的发展和完善。

我们回望量子论的历史,就像远航的水手回望当年给他(或他的祖先)指点航道的一座座灯塔。大多数灯塔上只有一盏灯,灯光忽明忽暗,有明有暗,我们看见:普朗克是第一盏,爱因斯坦第二盏……唯有玻尔为主灯的那个灯塔上,聚集了好多盏灯!

让无数物理学家头疼的波粒二象性到底是什么?

认真阅读下面的文章,并思考文末互动提出的问题,严格按照 互动:你的答案 格式在评论区留言,就有机会获得由机械工业出版 提供的优质科普书籍《人人可懂的量子计算》 一本。

物体既是波又是粒子是量子物理中最著名的思想之一,它是被拿来说明量子物理神秘本质最常用的例子之一。 物体以粒子 的形式存在意味着可以用像位置和动量这样的物理量描述它们。以 的形式存在意味者它们是某些(可能非常抽象)场中的扰动的传播。

在这篇文章中我将解释波粒二象性具体意味着什么。

作为波的本性的光

有意思的是,历史上第一批试图研究光的本性的人,是那些生活在公元前500年左右的古希腊和印度哲学家,他们认为光是由微小粒子组成的一股粒子流。更有趣的是,这两个文明中的哲学家完全独立地得出了相同的结论。然而,这些结论完全不是建立在科学的研究方法上的,它们受到哲学和形而上学思想的推动。

勒内·笛卡尔 (1596-1650)是公认的第一个得到科学性观点的科学家。笛卡尔将当时已知的光的传播规律与已知的声音的传播规律进行了比较,他认为光的传播是由于光源在介质中引起的扰动的传播。

接下来的200年里,在科学家们围绕光是由粒子还是波组成的争论中,他们并没有发现争论的关键点在所在。在这期间,艾萨克·牛顿 是光的粒子说最著名的支持者,尽管他也承认单个的光粒子在碰撞时可以像波一样相互干扰,但由于他的影响力,粒子说 这一观点作为主流学说流行了将近一个世纪,。

但随着光学仪器测量精度逐渐提高,实验事实证明光确实是以波而不是粒子流的形式传播的。压垮粒子理论的最后一根稻草出现在1802年,当时托马斯·杨 进行了著名的双缝实验

双缝实验现在是大学新生物理实验课的重要组成部分,光被照在挡光屏上,挡光屏上有两条非常窄的狭缝,两条狭缝相距很近。穿过两个狭缝的光照在挡光屏后方的接光屏上。如果光是由直线运动的粒子组成的,那么我们应该在狭缝后面的屏幕上看到两条亮线:

但是事实上实验结果不是这样的!相反,我们会看到这样的图样:

绿光、橙光和红光的双狭缝干涉图样。来源:Ars Technica,麻省理工学院。

现代物理课堂上做的双缝实验和杨最初进行的实验之间的唯一区别是杨使用自然光,而我们使用的是激光 ,因为激光产生相干的单色光,用这样的光源做实验更容易。

杨认为明暗相间的区域是光波相长和相消的干涉造成的。 光源放置的位置使得光波到达两个狭缝时具有相同的相位。但是,由于两个狭缝是分开的,所以每个狭缝中的光束到屏幕上每个点的距离都略有不同,光的传播时间也略有不同,因此到达接光屏上某点的两束光具有相位差。在屏幕上的某个点上,当两束光的相位差为π(180°)时,它们相互抵消,该点看起来很暗。

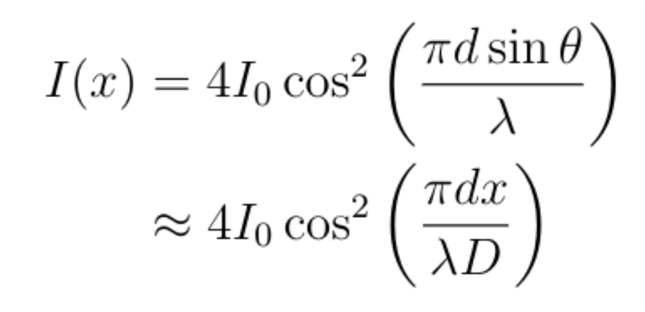
为了详细说明这一点,让我们试着用杨的观点推导一个公式 ,这个公式会告诉我们屏幕的哪些位置应该是亮的,哪些部分应该是暗的,然后让我们验证这个公式是否符合我们的观察结果(了解的可以跳过)。为此,我们将找到相位差 Δϕ 与屏幕上位置的关系。

双缝实验示意图

我们通过考虑两条路径 S₁P 和 S₂P 的长度差(我们称之为 ΔL)来实现这一点。同时假设挡光屏到接光屏的距离D远大于x和狭缝间距d。角度 θ 是三角形 P₀AP 中角 A 的大小。

接下来以 P 为圆心,以 PS₁ 为半径做圆,与 S₂P 相交于 B 点:

因为点 B 和 S₁ 都在同一个圆上,所以 S₁P 和 BP 长度相等,所以两条路径的长度差是 S₂B。选择点 C 使 ∠S₁CP 是直角:

可以看出BC的长度很短。如果按照真实比例画图的话,BC长度将非常接近零,所以我们可以近似认为 S₂C 就是两条路径的长度差。由于三角形 S₁S₂C 的斜边是给定的,因此我需要S₁C的长度或角度∠S₂S₁C 的量度来求出 S₂C 的长度。

由于D远大于x,因此θ非常小。由于 S₂C也非常小,所以角度∠S₂S₁C也是如此。我们将假设这两个角度近似相等,因为当D趋于无穷大时,S₂C和θ都正比于1/D且趋于0.

光波从S₁传播到P所需的时间为t₁= |S₁P| / c,因此,如果这束光的角频率为ω,则到达P时产生的相位为ω|S₁P| / c,并且由于从 S₂ 到C的距离是dsinθ,这意味着来自 S₂ 的光波到达P时的相位为(ω/ c)(|S₁P| +dsinθ),因此两束光在P处的相位差为Δϕ =(ωd/ c)sinθ= (2π/λ)dsinθ。现在,我们需要进一步的论证来得到P处的亮度。事实证明,同一点上两束相干光束亮度由下式给出:

显然,从 S₁ 和 S₂ 发射的波不是光束,但是由于我们仅考虑某一个点上的强度,因此我们可以把它们看作光束。又因为两个狭缝到P点距离不同,所以振幅不会完全相等,但是由于距离差别很小,因此可以将两个光束近似地视为在P处具有相同的振幅I₀。如果用这种方法计算得到的下列函数可以给出图中暗点的位置,那么就说明光是波:

在第二行中,tanθ= x / D和θ都非常小,所以D远大于x且tanθ≈sinθ。该公式预测我们应该在x = 0处看到亮条纹,当dx /λD等于±1/2,±3/2,±5/2时出现暗条纹,亮条纹出现在dx /λD等于±1,±2,±3等的位置。这与我们在实验屏幕上看到图案一致。

杨氏的研究结果迅速传播开来,并且在短短几年内,光的波动学说得到学术界的公认 。光的波动理论经受住了所有挑战,在1873年,当麦克斯韦的电磁学理论被亥维塞和赫兹的实验验证时,几乎所有人都接受了光是一种波。

剩下的两个问题是光的经典电磁学理论无法解决的,直到1905年科学家们才回答了这个问题。

光电效应和光的粒子性

当频率足够高的单色光入射到金属表面时,电子将从该表面逃逸。1900年,人们认识到这种情况是因为电子从辐射中吸收了足够的能量,以至于它们可以移动得足够快从而从金属表面逸出。然后,人们发现了一些奇怪的事情:

电子会在打开光源后立刻从表面逸出,且与光强无关。

虽然强度大的光会打出更多电子,但所发射电子的动能仅取决于光的频率,而不取决于光强。

在给定的频率阈值以下,没有电子逸出。

如果画出不同金属中逸出电子的动能,他可以得到这样的图像:

通过对数据的拟合可以得到公式 K=hf-φ,其中h普朗克常数, φ 被称作金属的功函数。

这样的曲线在经典电磁学中是非常奇怪的,经典电磁学认为:

发射电子的动能应仅取决于入射光的强度,而不取决于频率,因为强光单位时间传递更多的能量。

不应该观察到任何截止点,因为即使光强度很低,电子也会缓慢吸收能量,直到它们有足够的逸出能量为止。这也意味着电子应该在激光照射之后一段时间才溢出,因为电子需要花时间来吸收足够的能量。

1905年,爱因斯坦(Albert Einstein)发表了一篇题为《关于光的产生和转化的启发式观点》 的论文,在这篇论文中他提出了解决这个问题的方法。后来,该论文为他赢得了1921年的诺贝尔物理学奖。这个解决方案受到了之前一个令人意想不到的理论的启发。

温度高于绝对零度的任何物体都会因热辐射而损失能量,这种辐射被称为黑体辐射。 黑体是不反射任何入射辐射的理想物体,因此从黑体上检测到的任何辐射都必然是热辐射。当人们测量黑体辐射的频谱时,结果如下图所示:

但是有一个问题。经典理论预测,频谱曲线在高频趋于将变得无限大 。这不仅不符合实验结果,而且还意味着宇宙中的物质都将在瞬间将所有储存的能量辐射出去。

1900年,普朗克通过假设热能以离散的形式被吸收或辐射,离散的能量被称为“量子”,得出了一个正确的公式, 尽管他只是将离散的原因归结为光粒子而已。本质上,普朗克的方法将腔体内的辐射场视为谐振子组成的系统,该系统自发地与腔壁原子交换来回的能量,其中一些能量通过孔自发地辐射出去。

爱因斯坦进一步扩展了这一思想并提出,光实际上可以像粒子流一样运动。他提出携带能能量E = hf的光子通过与电子碰撞将能量传递给电子,从而解释了光电效应。每个光子正好与一个电子碰撞,并释放所有能量。这意味着:

如果入射光的强度较低,意味着较少的光子,但单个光子的能量仅取决于频率。这解释了为什么逸出电子的能量仅取决于光的频率,因为光的强度仅描述了多少光子与金属碰撞,因此光强描述了逸出的电子数量,而不是单个电子的能量。

由于碰撞过程是瞬时的,因此不会有时间上的延迟。光子与电子碰撞,立即为其提供足够多的能量以逃逸。电子并不是缓慢吸收场中的能量,直到它足以溢出金属表面为止。

如果光子的能量小于功函数,则发生的情况是光子撞击电子,将其能量提高,但这些能量不足以让电子从金属中逸出。尽管原则上第二个光子可以继续撞击被激发的电子,然后为其提供足够的能量以逃逸,但事实证明,激发的电子自发地回到基态所需的时间太短,以至于不太可能存在另一个电子在激发时撞击它。

这一发现使科学界感到惊讶和着迷。1921年,康普顿散射的结果完全验证了爱因斯坦的假设,它发现电子和光子之间的碰撞的行为类似于粒子的碰撞。这表明光在某种程度上既像粒子又像波,怎么会这样?

这好像还不够奇怪,几年后,事情变得更奇怪了。

物质波动的本性

在1921年至1925年之间,科学家克林顿·戴维森和莱斯特·革末 进行了一系列实验,他们利用电子束分析镍碎片的表面。他们的假设是镍的粗糙表面会散射电子,他们希望通过分析散射的电子来获得有关镍样品表面特征的信息。

在实验中,电子枪发射电子束轰击镍表面,并使用检测器测量在不同角度反射的电子数量。该实验必须在真空管中进行,因为自由电子在空气中会与空气分子撞击失去能量,因而在空气中只能传播几分之一微米。

令戴维森失望的是,最初的试验没有发现有关镍样品表面或镍原子结构的任何有趣信息。结果表明,在分子尺度上晶体表面的粗糙度导致电子沿随机方向散射。但是后来在1925年发生了一件奇怪的事

在一次实验中,事故导致试管破裂,空气使镍样品的表面氧化。为了去除氧化层,戴维森和格默在高温烘箱中加热了样品。接下来,当他们进行散射实验时,他们突然发现在特定角度的散射非常强。

这些图片中的紫色曲线显示了各种角度的散射强度,黑色箭头表示入射电子束。第一张图片显示了早期结果。第二张图片显示的是1925年管子破裂前的实验结果。第三张图片显示的是维修后的结果。

到底发生了什么?

戴维森所做的第一件事是找显微镜学家卢卡斯分析样品,他发现了样品规则的晶体结构。

像大多数金属一样,镍的结构在室温下是多晶的。这意味着可以将其看作取向杂乱无章的晶粒。

然而,当在高温下将它加热时,多晶结构变成规则的单晶结构。戴维森的新成果一定与这种新的晶体结构有关。但是,经过几个月的实验,他们仍然不知道为什么。

1926年,戴维森参加了英国科学促进协会在牛津召开的会议。在那儿,他了解了德布罗意的最新假说,即电子可以像波一样运动,令他惊讶的是,马克斯·玻恩(Max Born)在一次演讲中引用了戴维森反常的实验结果作为德布罗意的假说的证据。

根据玻恩的说法,电子波以类似于布拉格衍射的方式从平行晶体表面散射开。在布拉格衍射中,入射到晶体表面的X射线在不同平行晶体层上反射时会产生光程差:

就像在双缝实验中一样,这会导致两个电子波到达探测器时具有相位差,从而在该点产生相长或相消干涉。

戴维森(Davisson)在接下来的几年中一直在这个方向上努力。最终在1928年发表的论文《镍晶体中的反射电子》中,戴维森和革末报告说,尽管衍射过程与布拉格衍射不完全相同,这两个过程之间存在明显的相似性。由于这项工作,戴维森与G.P.汤姆森一起获得了1937年诺贝尔物理学奖,他也一直在进行类似的实验。

这最终证明了电子的行为像波一样。其他实验也得到了相似的结果。

尽管到1961年问题已经完全解决,但为了更好的测量,蒂宾根大学的德国物理学家克劳斯·詹森(ClausJönsson)进行了一次电子双缝实验,该实验得到了一个与杨双缝干涉图样类似的图样。

薛定谔方程

在量子力学中,我们假设粒子是波,这是指存在一个函数ψ,该函数与位置和时间有关,它被称为波函数或概率振幅,具有以下特性:

对 |ψ|² 做全空间的积分得到有限值。

在一个特定区域内对|ψ|² 做积分然后除以 |ψ|² 在全空间的积分,得到在这个区域内测量到粒子的概率。

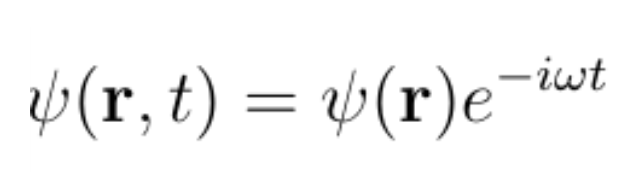
如果粒子感受到的相互作用与时间无关,则 ψ(不考虑叠加态)是位置的函数,它满足定态薛定谔方程:

其中m是粒子的质量,ħ是普朗克常数,V(r)是势场,E是粒子的总能量。请注意,如果加上与时间相关的相位因子exp(-iωt),波函数写为:

通常,解实际上是无限多个ψn的线性组合:

|cn|²是测量能量时系统具有能量En的概率。如果测量到系统的能量为E,则波动函数会“塌陷”为:

当势场为0时,波函数写为:

k被称为波矢:

波矢告诉我们粒子向哪个方向传播。

假设在我们的阴极射线管实验中,我们知道电子的能量,因为我们可以控制电子离开电子枪的能量。可以确定波函数为:

该波函数描述两个平面波的叠加。第一个系数为A,是沿k方向传播的平面波。第二个系数为B,在相反的方向传播。由于在我们的实验中,我们知道所有电子都沿+ k方向传播,因此B必须为零。如果有某种原因导致任何电子反射回电子枪,则B不会为零。因此,我们有:

电子波函数是平面波这一事实解释了电子作为波的行为。就像光波在电磁场振动的传播一样,电子波是“概率幅场”的振动的传播。当这些“概率波”遇到双缝隙屏障时,它们就像光波一样发生干涉。

粒子,波,都是或都不是?

可以说自然界中的一切既是粒子又是波吗?不,这并不是很准确。真正发生的事情是,有时用粒子来解释物理过程会更有效,有时用波来解释物理过程会更有效。现代观点认为,这些过程实际上是各种量子场或经典场之间的相互作用,而这些场则被视为基本物理实体。

作者:Panda the Red

翻译:Nothing

审校:Nuor

原文链接:

https://medium.com/cantors-paradise/wave-particle-duality-d7b7243dd3e3

tian

tian

xiang

shang

今天我们将送出由机械工业出版社 提供的优质科普书籍《人人可懂的量子计算》

量子计算是量子物理与计算机科学的完美融合,将20世纪物理学中那些令人惊叹的观点融入一种全新的计算思维方式中。

本书由数学家Bernhardt撰写,用简明的数学语言来描述量子世界,只要求读者具备高中数学知识。书中从量子计算的基本单位——量子比特开始,然后讨论量子比特测量、量子纠缠和量子密码学。之后回顾了经典计算中的标准主题——比特、门和逻辑,并描述了Edward Fredkin独创的台球计算机。最后定义了量子门,考虑量子算法的速度,以及量子计算对未来生活的影响。

是时候用一种新的方式来思考计算到底是什么了,因为量子计算的时代就在我们面前。

【互动问题:你小时候有哪些天马行空的科学想法?

请大家严格按照 互动:问题答案 的格式在评论区留言参与互动,格式不符合要求者无效。

*本活动仅限于微信平台

编辑:aki

↓ 点击标题即可查看 ↓

1. 套娃吗?你先看这个岛中湖中岛中湖中岛

2. 都靠这位天才科学家20岁时的论文,你才能用手机拍照发朋友圈

3. 朝天空开枪,子弹掉下来还有杀伤力吗?| No.206

4. 乐高还能悬浮在半空中?上百万人已看懵!

5. 古装片的射箭动作把物理学家看笑了,导演咱能不能专业点?

6. 即使被它淹没也不会窒息,这是什么神奇液体?

7. 数学课上捡了个橡皮,勾股定理就看不懂了

8. 物理学写给你的情书

9. 唯一两次获得诺贝物理学奖的人,你却不一定认识他

10. 妈妈问我的桌子为什么这么乱!

相关问答

从光的 波粒二象性 得出来了什么启示?

得出:任何物质在一定的环境下都能够表现出这两种性质。量子力学认为自然界所有的粒子,如光子、电子或是原子,都能用一个微分方程,如薛定谔方程来描述。这个...

1961年德国学者约恩孙发表了一篇 论文 ,介绍了他用 电子束 的一...

[最佳回答]光的干涉现象中,条纹间距公式△x=Ldλ,即干涉条纹间距与入射光的波长成正比,与双缝到屏的距离成正比,与双缝间距离成反比.由题意知,降低加速电压,电...

【为什么说光具有 波粒二象性 ?怎样理解光的 波粒二象性 ?】作业帮

[最佳回答]解析:光的干涉、衍射、偏振现象等都证明光具有波动性,光电效应、康普顿效应证明光具有粒子性.无法用其中的一种性质解释所有光现象,所以光具有波粒...

波粒二象性的 原因,物质和能量的本质?能否根据物理学的研究进展,通俗地讲解?

物质是金属态氢离子聚合形成的。能量是电磁波。物质是能量的载体;磁场里高速流动的物质转化为金属态氢离子。金属态氢离子的“磁力矩”相互切割聚合形成新元素...

证明 电子 波粒二象性的 实验基础是什么 - 懂得

电子的波动性由1927年电子束衍射实验证明,电量量子化由密立根油滴实验证明

波粒二象性的 实际 应用 ?

经典力学里,研究对象总是被明确区分为“纯”粒子和“纯”波动。前者组成了我们常说的“物质”,后者的典型例子则是光波。波粒二象性解决了这个“纯”粒子和“...

粒波 二象性 实验说明了什么?

波粒二象性实验说明了光既具有粒子性质,又具有波的性质。波粒二象性(wave-particleduality)指的是所有的粒子或量子不仅可以部分地以粒子的术语来描述,也可...

电磁波有 波粒二象性 吗?为什么?

电磁波包括光,光是电磁波的一部分,因此实际上都是同一种性质的东西。光子既然具有波粒二象性,电磁波当然也不例外,光电一体,因此电磁波和光在一定条件下会...电...

关于物理上 波粒二象性的 问题?

谢谢邀请。1.“波粒二象性”是量子力学中针对光子、电子等“微粒”提出的一种物理模型,所以对诸如“蓝球”之类的庞然大物不适用。蓝球的运动是“粒子性的”,其...

如何用量子力学解释 波粒二象性 ?

量子力学中粒子的波函数有动量空间和坐标空间的区别,两者通过海森堡不确定关系联系。一个粒子在动量空间的波函数本征态就是一个确定的动量值,那么这个动量空...

标签:

相关阅读