电子态密度应用 热电大牛撰文教你分析电子态密度

小编头像

小编

管理员

发布于:2026年04月14日

153 阅读 · 0 评论

热电大牛撰文教你分析电子态密度

电子结构学习范文AFM: 利用化学键原则设计超低热导率材料深入分析电子结构: 教程汇总加文献实例Materials Today Electronics 1 (2022) 100002电子的状态密度是材料电子结构的一个简单而又信息量很大的总结。在此,G. Jeffrey Snyder 等人简明扼要地回顾了电子结构的一些显著特征,特别是带状边缘附近的分析与色散关系、有效质量、范霍夫奇点和电子的有效维度 ,所有这些都对材料的物理性质有很大影响。他们强调,电子结构计算中适当的参数是必要的,以获得甚至是足够质量的表现出电子结构精细特征的状态密度一个表现不佳的DOS与模糊的带状边缘,在费米能处产生一个非零的DOS, 可以不正确地使一个绝缘体或半导体看起来像一个金属 下面是根据态密度可以分析的性质: 1. Band edge 2. Unconventional electronic structure 3. Dimensionality and the Fermi surface 4. Van hove singularities 原文链接: https://www.sciencedirect.com/science/article/pii/S277294942200002X

电子社会学——凝聚态物理的内容和风格

| 作者:吴从军(西湖大学理学院 物理系)

本文选自《物理》2022年第1期

什么是凝聚态物理学

物理学也被称为“自然哲学”。简而言之,它研究的是时空和物质的基本结构及其深层的组织原理。当代物理学大体上可以分为四个主要分支:高能物理学、天文(宇宙)物理学、原子分子和光学物理学,以及凝聚态物理学。

对于前三个方向,可以分别用一句话来概括其中最闪亮的特征。高能物理是在最微小的尺度上研究时空的结构。天文宇宙学则是与此相对的一个极端,是在最广大的尺度上研究宇宙的诞生、演化,和最终的命运,比如大爆炸、黑洞、暗物质、暗能量等等。原子分子和光学物理的主题包括激光、原子钟、量子信息、冷原子等,其目标之一是实现最精准的调控。

高能和天文物理的研究内容非常基本,往往能够激发人们探索物质和时空本源的好奇心。原子分子和光学物理可以达到令人惊叹的精密程度,甚至可以控制一个电子和一个光子。这些很自然地会引起公众的兴趣。

至于凝聚态物理学,也许大家都听说过这个名词。媒体上时常可以看到的超导研究,就是凝聚态物理的一个重要方向。但总体来说,凝聚态物理学听起来不是那么的尖端,说的直白一点,就是不够酷。

这个尴尬由来已久,凝聚态物理早期的名字叫做固体物理学。因为听起来有点土气,就改了名字。从提升公众知名度的角度来说,情况反而是更加糟糕,大众对这个“典雅”的新名字普遍感觉不够亲切。人们一般也不了解,它其实是现代物理学中和生活联系得最为密切的那个分支。凝聚态物理的从业人数也是最多的,超过一半的物理学家认为自己是凝聚态物理学家。

电脑、手机芯片所依赖的电子工业的基础就是半导体物理。追本溯源,这是凝聚态物理的一个重要的分支。正是因为半导体物理非常成熟,进而工业化了,以至于其物理的源头反而不常被提起。

固态物质是凝聚态物理的传统研究对象。原子核和原子内层电子合称离子实,排列成晶格。原子外层的电子比较活跃,经常在整个晶格中运动,不再属于某个特定的原子。这些电子数目众多,彼此之间有很强的静电排斥,它们也会被晶格振动所散射。这是一个复杂的体系,其展现出的物态,包括金属性、绝缘性、超导电性、磁性等等,其实都是宏观层面的量子行为。这些与量子物理密切相关的部分,通常被称作硬凝聚态物理。

当然,凝聚态物理也研究经典物理中的物态。这一部分内容经常被称作软凝聚态物理,比如高分子和蛋白质的折叠、生物膜、DNA打结、阻塞、堆积、雪崩等等。软凝聚态物理的研究和生物、化学,甚至和人类的社会行为都有着密切的联系。

凝聚态物理的范围过于广泛,给人以琳琅满目乃至于繁杂的感觉。正因为如此,公众反而觉得陌生。与此形成对照的是,对于基本粒子、超弦、大爆炸、宇宙学,公众耳闻目染,常常津津乐道。因此,对于凝聚态物理的研究风格和方法论,是有必要向公众和年轻的学生们做一些介绍的。

凝聚态物理的早年

大家一般会觉得凝聚态物理很有用,那它是不是主要研究些应用问题?还是基础物理吗?在回答这些问题之前,我们先对凝聚态物理学的历史做一个简要的回顾。

凝聚态物理的源头非常古老,其实大家并不陌生。铁磁体早在公元前4—5世纪,就被古代中国人和古希腊人分别独立地发现。在19世纪后半期,大量新发现的矿物急需系统的分类,这催生了对晶体结构的空间对称性的研究。这些可以算是“前电子时代”的凝聚态物理。

现代凝聚态物理以研究电子性质为核心,所以电子的发现是凝聚态物理学史的一个重要事件。1897年,汤姆孙(J. J. Thomson)在研究阴极射线的时候发现了电子(阴极射线就是电子束)。在紧接着的1900年,德鲁德(Drude)模型被提出。Drude把经典的麦克斯韦气体运动论应用于电子,得到了电导的Drude公式,

其中是直流电导,、分别是电子电量、质量,是电子密度,是电子碰撞的平均自由时间。此公式至今还被广泛应用于电子输运的研究中。从某种意义上说,Drude可以算成第一个现代意义上的凝聚态物理学家。但是在他的时代,人们还不知道电子的量子属性。

(硬)凝聚态物理从根本上就是量子的。如果没有量子力学,那么固体的基本热学和电学性质都会变得无法理解。量子物理进入凝聚态物理是从对固体比热的研究开始的。经典物理的能均分定理(equipartition theorem)中比热是与温度无关的常数,但是实验测量的结果完全不是那么回事。在实验上发现,绝缘体的低温比热正比于温度的立方,而金属的低温比热则线性依赖于温度。

绝缘体的低温比热行为来源于晶格振动,其的行为是晶格振动量子化的结果。这方面研究的先驱是爱因斯坦,然后由德拜(Debye)加以改进。量子化的晶格振动是声子,满足玻色统计。金属的低温比热主要来自于电子,金属的量子理论由索末菲(Sommerfeld)提出,建立在电子的费米子属性之上。金属被简化成费米球,其内部的状态被填充。费米球的表面叫费米面,由于泡利不相容原理,可以被热激发的电子局限于费米面附近很窄的壳层中,其能量的宽度为,而费米球深处的电子是不能被激发的。这是其比热与温度呈线性关系的来源。

为什么会有绝缘体和金属的区别?这似乎是中学里就学过的简单问题。当时的答案是绝缘体里只有束缚电子,而金属里的是自由电子。其实这不能算是一个完整的回答。同样是电子,为什么会有束缚和自由之分呢?

此问题的圆满解决是凝聚态物理早年的一个里程碑。这其实是个量子效应,用行话说,是泡利不相容原理和能带结构共同作用的结果。

固体其实是分子的推广,二者都是由原子组成的。形象地说,分子成“键”(bond),而晶体成“带”(band)。比如,氢分子的成键态和反键态是由两个原子的电子轨道组合而成。固体中有很多原子,其组合方式要更复杂些,但精神是一致的。从数学上看,这就是傅里叶变换,把着眼点从坐标空间变到动量空间。这就形成了一系列的整体模式,就是能带,其中的每一个态都由晶格动量来标记。能带的一个重要的特点是能量的分布变得不连续,出现了间隙,称为能隙。这是电子的物质波被晶格散射而产生量子干涉的结果。

当一个能带被填满了,一个弱电场不足以激发能隙下边的电子跨越能隙而到上边,这样就没有电流,就是绝缘体。在实空间,绝缘体的图像则更加的鲜明,假设一个电子在电场的作用下试图从一个原子跳到相邻原子,但是能量相近的轨道已经被占满了,泡利不相容原理阻塞了这个过程。除非电场超级强大,可以把电子拽到相邻原子的能量更高的轨道上,这样绝缘体就被击穿了,行话叫“电致击穿”(electric breakdown)。

在真实的固体中,电子间还存在着强烈的静电库仑相互作用。我们面临的是双重因素所交织起来的困难。其一是晶格势带来的空间不均匀,其二是库仑相互作用导致的电子关联。科恩(Kohn)提出了密度泛函理论(density functional theory),接着科恩和沈吕九(L. J. Sham)发展了基于密度泛函理论的Kohn—Sham自洽方程。这个方程把上述两个困难因素做了解耦处理,用行话说是用变分法加上局域密度近似(LDA),从而在能带论的基础上部分地计入了关联效应。这虽然是一种近似,但极大地简化了难度,对于半导体等弱关联体系取得了令人瞩目的成功,给了电子工业强有力的支持。这个方法也对化学有很大的影响,并于1998年获得了诺贝尔化学奖。

脏东西的物理学?

上面列举的成就已经让人印象深刻,但凝聚态物理好像还是给人以主要是应用研究的印象。有物理学家“良心”之称的泡利(Pauli),早年曾有一个尖刻的评论,“固体物理是脏东西物理学”(德文原文是“Festkörperphysik ist eine Schmutzphysik”)。

这种看法虽然很尖刻,但客观地说,也不无道理。这些成就当然辉煌,但并不是在物理学基本原理层面上的突破,而是把量子力学应用于繁杂的系统而取得的。

物理学中长期占主导地位的方法论是还原论。还原论起源于古希腊德谟克里特(Democritus)的原子论,认为万物由其最小的部分即原子所构成。原子论在近现代演化成物理学和化学的基础之一。

这是一种“分而治之”的方法论,即把物质还原成它的基本组成部分。当然,我们现在知道原子并非不可分割,还可以分成电子和原子核,原子核里还有质子和中子,质子和中子都由夸克组成等等。

还原论在高能物理中取得了巨大的成功。在温伯格(Weinberg)所著的《终极理论之梦》(图1(a))一书中,这样说道:“还原论意味着一种等级结构:有些知识不是那么基本,可以由更基本的知识而得到。”

图1 (a)温伯格的著作《终极理论之梦》阐述了“还原论”的观点;(b)安德森的名篇《多者异也》,阐述了“层展论”的观点

相对于夸克、轻子和基本规范相互作用层面的高能物理,凝聚态物理确实处于一个较为宏观的位置,它当然遵从前者所有的规律。凝聚态系统的组成包括电子、离子、分子等。软凝聚态物理系统更是由经典粒子组成。它们之间的相互作用力也为物理学家们所熟知,基本上是电磁力,以及由它们派生出来的范德瓦耳斯力、电偶极或磁偶极相互作用等等,这些并没有什么稀奇的地方。

图2中所示的是一个典型的凝聚态系统——高温超导样品钇钡铜氧(YBaCuO)。看起来非常地貌不惊人,甚至还有一些脏兮兮的感觉。

图2 高温超导样品钇钡铜氧(YBaCuO)。这是第一类达到液氮温区的超导体。高温超导的机制仍然是当今凝聚态物理研究的核心问题

那么是不是说只要高能物理研究透了,凝聚态物理就自然而然地清楚了呢?既然凝聚态系统的粒子和相互作用都是已知的,是不是其中就没有什么新的物理呢?情况并不是想象的那么简单。还原论在处理凝聚态物理时,经常并不好用。

电子社会学

可以建议用下面形象的语言来表达凝聚态物理的主旨:它研究的是大量粒子的“社会学 ”行为,并探求其背后的“社会组织”原则。特别的,对于固体电子系统来说,(硬)凝聚态物理可以说是电子的社会学 ,这种“社会性”的体现就是凝聚态研究所关心的新物理。

这就是P. W. 安德森在《多者异也》(“More is different”)中所阐述的原则。这篇经典文章堪称凝聚态物理的“独立宣言”,把“层展论”(emergentism)奉为凝聚态物理的方法论原则。文章在结尾处引用了马克思的话,“量变导致质变”。

凝聚态物理的中心课题是由大量的电子表现出来的层展现象(emergent phenomena),电子的数目可以多到阿伏伽德罗常数(6×10)的量级。形象地说,量子体系中有亿万个电子,像极了一个社会中的公民。它们既彼此竞争又相互合作,具有强烈的“社会”属性,从而表现出各种各样的物态。比如同样是水分子,在不同的情况下,可以形成冰、水、汽三种物态,这对应于水分子三种不同的组织结构。类似的,在一个社会里,同样的一群人,当他们处于平民的身份还是军人的身份时,他们的组合形式不同,当然其行为也是迥然不同的。

现代凝聚态物理尤其关注新物质量子物态的研究,比如超导电性、超流、磁性的机理,这些是大量电子按量子力学原理所组织起来的物相,并不是少数电子所能形成的。虽然这些系统归根到底是由基本粒子所组成,但是夸克层面的物理不会对凝聚态层面的现象,比如超导电性,起到直接的作用。

像超导、超流这样的“社会学”行为规律,很难甚至不可能从少量电子的性质,加以简单的推广而来。打个比方,医学研究的是人体内部各个器官,如心肺肝肠胃的功能和机理。一个社会的运行当然要服从医学的规律,比如人需要吃饭才能生存。政治家们如果不尊重这个规律,那社会不会正常运行。医学规律虽然非常重要,但光靠医学规律不足以支持社会的运行。各行各业都有其运行的原则,这些规律不能由医学规律推导得出。

类似的,对于凝聚态系统而言,我们要基于实验事实,总结新的规律,并找出这些规律背后的原理。而这些原理往往是超越了已知规律的。

“一沙一世界,一花一天国”。每个凝聚态物理实验的样品都是我们要研究的“宇宙”,而现实的宇宙中,星云和星系里有着大量的恒星。无妨把恒星当作基本“粒子”,研究大量恒星的“社会行为”。从这个意义上说,星云、星系,乃至宇宙,也可以被设想成凝聚态物理系统吧。

超导物理的唯象理论

有了上面所述的“层展论”的思想,凝聚态物理学还需要杰出问题来证明自己。关于超导电性和中性原子超流的研究就是一个很好的阐述“层展论”的例子。从这个意义上说,超导(超流)研究是凝聚态物理史上浓重的一笔(表1)。

表1 超导和超流研究史上的一些重大事件

超导电性指的是在低温下电阻消失的现象,超流是超导在电中性体系中的类比,即量子液体中粘性的消失。1911年昂纳斯(Onnes)观察到水银在温度降到4.2 K时,其电阻突然降到测量不出的程度。1937年Kapitza,Allen,Misener发现了He在大约2 K时变得没有粘性,可以无阻碍地通过毛细管。电阻和粘性的消失意味着输运变得没有耗散。这在宏观系统中当然是难以理解的,形象地说就像是摩擦力消失了一样。

下面我们回顾一下在微观理论建立之前,人们在黑暗中摸索的过程。值得指出的是,这些工作从总结实验事实出发,不断提出新理论和概念。这些探索为Bardeen—Cooper—Schrieffer(BCS)微观理论的建立做了充足的铺垫。

这个情况有点像元素周期表的历史,虽然它的微观机理是量子力学导致的原子壳层结构,但是门捷列夫在19世纪是不可能知道这些的。他是通过归纳、类比,甚至拼凑来完成这个工作的。反而20世纪很多量子力学的研究,从元素周期表那里得到了指引。

我们可能会直觉地猜测,超导体之所以超导是因为其极端干净,没有杂质来散射电子。但情况并不是这样,很多良好的导体,比如银和金,并不超导。而好的超导体在超导转变温度之上,经常是糟糕的金属(bad metal),这意味着超导体的机制是完全不同的路子。

1933年发现的迈斯纳(Meissner)效应,揭示了超导体特殊的电磁性质。实验上发现,磁场会从超导体内被排斥出来,只能穿透超导体的表面,其穿透深度记作。这是个热力学意义上的稳定状态,和超导体的历史无关。与此相对照的是,理想导体内的磁场不随时间变化,由系统的初始条件决定。

为了解释超导体的电磁性质,F. London和H. London兄弟俩提出了伦敦(London)方程:

其中是超导电流密度,是电子的超流密度,是磁矢势的横场部分。结合麦克斯韦方程就可以推导出Meissner效应,并给出穿透深度和超流密度的关系=/(4π)。

伦敦方程非常的不一般,这和电磁理论的规范对称性有关。磁矢势可以分解成纵场和横场两部分。纵场是纯规范,没有可观测效果,不会有电流响应,这一点不论超导体还是正常金属都是一样的。在长波极限下,纵场和横场在波长的范围之内是难以区分的,所以在正常金属中,在长波极限下对横场的响应也是趋于零的。但超导体对磁矢势的横场和纵场部分有着截然不同的响应,可以区分它们。这表明超导体是一个截然不同的物相。伦敦方程的微观机理在当时是不清楚的,所以说是个现象学理论。

当时,基于对称性的二级相变理论已经有了很大的发展。朗道(Landau)提出用序参量来刻画物相。比如在磁性相变中,采用磁矩作序参量。为简单计,不妨设磁矩只沿着上或下两个方向,但上下是等价的。在高温下,磁矩由于热涨落变得无序,其平均值为零。到了临界温度以下,磁矩的平均值就不再为零,既可以朝上,也可以朝下,但是二者只能选一个。也就是说发生了自发磁化,这就是对称性自发破缺的一个例子。

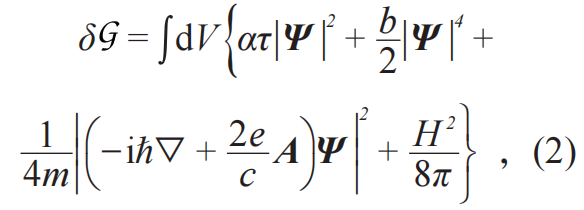
既然超导态是一个新的物相,那它也可以用序参量来描写吗?由于当时超导的机理并不清楚,超导序参量的选取是个很大的挑战。金兹堡(Ginzburg)和朗道根据超导体对磁场有响应的实验事实,推断出超导序参量应该取复值,从而具有相位自由度。这样才可以和磁矢势以最小耦合(minimal coupling)的方式结合,也就是说超导序参量是带电的,其有效电荷称作*。可以推断出*必须是一个常数,否则*和磁矢势()的乘积会破坏电磁规范对称性。既然序参量是复函数,那它就和量子力学波函数类似,所以不妨把序参量的模平方解释成超流电子的密度,这样就构造出了著名的超导态的金兹堡—朗道自由能,如下式所示,

其中*=2,序参量的有效质量取成了两倍电子质量2。这是根据库珀对的概念和磁通量子化单位的测量值/2而定的,这是后话。

超导的金兹堡—朗道理论仍然是现象学的,但是极为成功。在超导微观理论建立之前,它就揭示了超导态具有位相自由度,具有深远的意义。这个理论导致了阿布里科索夫(Abrikosov)磁通涡旋的概念,这是基于复序参量的拓扑缺陷。即使在微观BCS理论建立后,金兹堡—朗道理论仍然具有强大的生命力,广泛地应用于处理磁通涡旋、边界和杂质问题等。

另一方面,在He超流的研究中,F. London注意到He是玻色原子,把超流和玻色—爱因斯坦凝聚联系了起来。He原子形成了一个相干的凝聚体,所谓“相干”,就是指每个原子的行为都协调起来了,而不是各行其是。这部分相干的原子占到了系统的一个宏观的比例。原子在凝聚体中,就像是士兵处于一个军阵中,彼此协调一致,组成了一个整体。

图3 超流体中原子组成了相干的玻色—爱因斯坦凝聚体,就像是士兵组成了军阵。行进中的军阵不会散开,相干的凝聚体在流动时,对于弱的杂质散射,也不受其影响

当一个军阵开始运动以后,对行进道路上的磕磕碰碰是具有免疫力的。中性的玻色原子系统具有类似的性质,用行话说,凝聚体具有广义刚度(generalized rigidity),在这里表现为非零的超流密度。一个流动的凝聚体对于不太强的杂质散射也是免疫的(图3)。这就是超流的来源。

常规超导微观理论的建立

有了这些准备之后,建立超导微观理论的时机变得成熟了。这项工作最终由巴丁(Bardeen),库珀(Cooper)和施里弗(Schrieffer)完成。超导的微观理论不只是对凝聚态物理学家,对于整个物理学界而言都是一个挑战,包括费曼(Feynman)都在超导问题上倾注了大量的心血。

物理学史期刊上的一篇文章,描述了费曼在超导研究上鲜为人知的探索,读来非常有启发。为什么像费曼这样绝顶聪明的人没有在超导的微观机制上取得突破呢?原因就在于他没有抓住超导系统中“层展”出的新原则。

库珀迈出了关键的一步,指出了束缚态的重要性。在费米面的背景上,放上两个费米子(电子)。如果它们之间的相互作用是吸引势的话,他发现不论多弱,都会形成束缚态。这就是著名的库珀配对(Cooper pairing)。

单个库珀对还只是个两体问题,而费米面上有亿万个电子。如何将其推广成相干的多体配对波函数是高度非平庸的。Schrieffer写下了著名的BCS变分波函数,完成了至关重要的一步。他把基态多体波函数分解成了一系列库珀对波函数的乘积。

库珀对由两个电子组成,其统计性质变成了玻色型,可以发生相干凝聚。BCS 变分波函数就是相干凝聚的众多库珀对的波函数。其高明之处,就在于把一个复杂的整体性质,以一种便于分解的方式写出来了。这样BCS理论就和F. London的想法建立了联系。凝聚体的波函数也就可以解释成金兹堡—朗道的超导序参量,这样就建立了微观理论和现象学理论之间的关系。

当然,一个重要的问题是电子之间的吸引从何而来?这在当时,已经有了比较成熟的理论。同位素效应的发现(即晶格离子质量的不同可以影响超导临界温度),表明了电子和晶格相互作用的重要性。当时电声子耦合的理论已经由弗勒利希(Fröhlich)建立。晶格带正电,其极化可以作为媒介来屏蔽电子间的静电排斥。在低于德拜频率的低频区,屏蔽得过了头,把电子间的排斥变成了吸引。这种吸引在时间上不是瞬时的,而是有延迟的,从而避开了瞬时的静电排斥。

BCS理论的核心是著名的能隙方程。在零温下,求解能隙方程可以得到超导能隙,

=2ℏexp[-1/()],

其中是晶格振动的德拜频率,是费米面上的态密度,是无量纲的相互作用强度。

值得指出的是,超导能隙对相互作用强度的依赖关系很不一般。在数学上具有本性奇点的形式,是不能展开成微扰级数的。所以说,费曼的失败恰恰是因为他之前的成功,“成也萧何败也萧何”。超导的能隙源自于束缚态,这决定了其微观理论是不能从正常金属的基态出发,通过量子场论的微扰展开(比如费曼图技术)来得到的。这需要另起炉灶,从根本上建立起超导基态波函数。

费曼和巴丁团队之间的竞争也是段有趣的历史。在个性方面,巴丁很有领导才能,擅长合作,他组建了一个团队。巴丁的固体物理功力深厚,库珀是高能物理出身,熟悉场论,施里弗年轻有创造力。巴丁慧眼识才,将库珀召入团队,并在施里弗信心不足的时候,给他打气。与此对比,费曼单打独斗,虽然是绝顶聪明,但就差一个关键的想法,留下了遗憾。

1986年在铜氧化物系统中发现的高温超导现象,给超导研究带来了新的挑战和机遇。图2中所示的钇钡铜氧(YBaCuO)超导体是一类有代表性的高温超导体。其超导临界温度可以到90 K左右,在历史上第一次达到了液氮温区,故名“高温超导体”。和传统超导体不同,高温超导体是典型的强关联体系,也就说体系中粒子之间的相互作用能比单粒子运动的能标要大的多,可以大一个数量级左右。没有掺杂的铜氧化合物是高温超导体的母体,是反铁磁性莫特绝缘体。在掺杂空穴后,系统开始可以导电。随着掺杂的增加,反铁磁性被压制而消失,伴随着超导的出现。超导临界温度先随着空穴浓度的增加而增加;在达到一个最大值后,其随掺杂的增加而变小,最终超导消失。

高温超导的机理至今是凝聚态物理尚未解决的问题。研究者们普遍认为磁性和超导有着密切的关系,而且其超导库珀配对具有非常规对称性,即-波对称性,但是领域内也存在着不可忽视的不同意见。换句话说,高温超导仍然是凝聚态物理乃至整个物理学中有待解决的杰出问题。

展 望

凝聚态物理的活力也来自于它的开放性,它广泛地吸收其他领域的精华。传统上,与其关系最密切的当属高能物理。最深刻的物理在不同的能标和尺度上往往有相似的体现,表现出惊人的普适性。

凝聚态物理得益于高能物理中的量子场论方法,从而可以方便地处理大量电子的相互作用问题。反过来,凝聚态对高能物理的基本观念也有重大的促进。

现代凝聚态理论的奠基人朗道,他提出的对称性自发破缺的概念,同时也是高能物理标准模型的基石之一。P. W. Anderson在超导物理的背景下研究规范对称性的自发破缺,和希格斯(Higgs)在高能物理中的相应研究,异曲同工,并称为Anderson—Higgs机制。

目前,拓扑物理是一个凝聚态物理和高能物理共同的兴趣所在,比如对拓扑绝缘体和外尔(Weyl)半金属的研究。加强凝聚态和高能物理的合作,共同探索物质本源的奥秘,以及在不同尺度上的物理实现,是大有可为的。

近年来,原子分子和光学物理,量子信息和凝聚态物理已经发生了深度的融合。比如冷原子物理是原子分子、光学物理和凝聚态物理交叉的边缘学科。原子分子和光学物理提供了无与伦比的精密手段来操控原子到极低的温度,进而研究在极端条件下量子原子物态,包括玻色—爱因斯坦凝聚、超冷费米子、合成规范场等。这些物态在固体材料中通常是难以实现的,这对传统凝聚态物理中电子物态的研究是一个新的扩展。

量子信息对凝聚态物理的影响与日俱增。用量子纠缠的观点来探索拓扑量子态中的电子关联是目前一个重要的研究方向。凝聚态物理中拓扑超导性的研究,具有调控马约拉纳费米子的潜力,这也是未来量子计算的重要方向。

凝聚态物理中不断涌现的新现象和大量的杰出问题,激励着我们不断地探索新方法和提出新观念,这是这个领域长期保持青春的原因。凝聚态物理研究的风格对于处理复杂系统的方法论也有重要的意义。对于年轻的学生来说,这是一个值得为之奋斗的领域。

凝聚态物理处在当代量子理论研究的前沿,洋溢着对美与真的向往和追求,充满着发现新规律的机会。

参考文献

[1] Weinberg S. Dreams of a Final Theory:The Scientist’s Search for the Ultimate Laws of Nature. Reprint edition. Vintage,1994

[2] Anderson P W. Science,1972,177:393

[3] https://commons.wikimedia.org/wiki/File:YBCO_superconductor.JPG

[4] Goodstein D,Goodstein J. Physics in Perspective,2000,2(1):30

[5] 向涛. -波超导体. 北京:科学出版社,2007

转载内容仅代表作者观点

不代表中科院物理所立场

来源:中国物理学会期刊网

编辑:牧鱼

相关问答

态密度 就是能 态密度 吗?

不一样:状态密度和能态密度不一样。状态密度只是一个相对大的概念,状态密度包括能态密度和电子态密度。状态密度就是能量E-E+△E间隔内的态,简单地说就是E附...

态密度 的物理意义?

态密度DoS说白了就是“宏观态出现的概率密度”,而宏观态在大多数情况下指的是能量。某个能量下的微观态数越多,态密度就越大。而所谓intergratedDoS指的是当...

态密度 有效质量怎么算?

导带底的等能面是球形等能面,导带底附近的能态密度函数为Nc(E)=(1/2π2)(2m*/ħ2)3/2(E-Ec)1/2∝(E-Ec)1/2。(2)对于实际Si和Ge的导带底,因是旋转椭球...

能带结构和 态密度 如何分析?

能态密度与能带结构密切相关,是一个重要的基本函数。固体的许多特性,如电子比热、光和X射线的吸收和发射等,都与能态密度有关。能量介于E~E+△E之间的量子态...

【氢原子的 电子云 好理解,可是其它多电子时电子是什么?我多电...

[最佳回答]电子云是电子在原子核外空间概率密度分布的形象描述,电子在原子核外空间的某区域内出现,好像带负电荷的云笼罩在原子核的周围,人们形象地称它为“电...

元素投影 态密度 分析?

态密度densityofstates符号为NE,ρ;ρ(E)=NE(E)=dN(E)/dE。式中:N(E)是能量小于E的电子态总数除以体积。...SI单位:J-1/m3(每焦〔耳〕立方米)。并...

请问什么是界面 态密度 ?

界面态密度就是单位面积、单位能量间隔内的界面态能级数。界面态密度与器件制造工艺密切相关,列入电离辐射损伤界面态密度增加,适当的退火工艺能降低界面态...

有效质量的物理意义 - 懂得

有效质量并不代表真正的质量,而是代表能带中电子62616964757a686964616fe59b9ee7ad9431333337383836受外力时,外力与加速度的一个比例系数(在准经典...

能带和 态密度 是什么性质?

电子结构是宏观量,态密度是微观量,所以电子结构不适合解释纳米粒子尺寸变化引起的特性,而应该用态密度来解释。原则上讲,态密度可以作为能带结构的一个可视...

什么是成键态、反键态和非键态_作业帮

[回答]对于共价键,单电子方程的解——分子轨道波函数,可以选取原子波函数的线性组合;因有两种组合方式,则得到两种分子轨道波函数:一种是电子云密集在原子...

标签:

相关阅读