电子转移守恒应用 高中物理必修第二册-机械能守恒定律的应用

小编头像

小编

管理员

发布于:2025年05月06日

118 阅读 · 0 评论

高中物理必修第二册-机械能守恒定律的应用

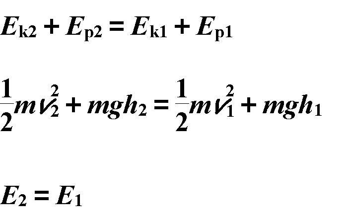
1.机械能守恒定律常用的三种表达式

从不同状态看,末状态的机械能等于初状态的机械能

从转化角度看,动能的增加量等于势能的减少量(反之也成立:势能的增加量等于动能的减少量)

从转移角度看 当系统只有A、B两物体时,A机械能的增加量等于B机械能的减少量(反之也成立:B机械能的增加量等于A机械能的减少量)

第一种表达式,必须选择零势能面才可以解题。第二种表达式的好处是不用选择零势能面,势能的变化与零势能面的选取无关。第三种表达式是对两个物体总机械能守恒而言的。

2.应用机械能守恒定律解题的步骤

(1)对研究对象(某个物体或多个物体)进行正确的受力分析,判断各个力是否做功,分析是否满足机械能守恒的条件。

(2)若机械能守恒,选择合适的表达式列出方程,或再辅以其他方程进行求解。

3.多物体组成的系统机械能守恒的分析技巧

(1)注意寻找用绳或杆相连接的物体间的速度关系和位移关系。

(2)当研究对象为两个物体时:若两个物体的势能都在减小(或增加),或动能都在增加(或减小),可优先考虑应用表达式ΔEk=-ΔEp来求解;若A物体的机械能增加(或减小),B物体的机械能减小(或增加),可优先考虑应用表达式ΔEA=-ΔEB来求解。

每天一道高考题-核外电子排布、氧化还原配平以及盖斯定律应用

3.【2017新课标3卷】(14分)砷(As)是第四周期ⅤA族元素,可以形成As2S3、As2O5、H3AsO3、H3AsO4等化合物,有着广泛的用途。回答下列问题:

(1)画出砷的原子结构示意图____________。

(2)工业上常将含砷废渣(主要成分为As2S3)制成浆状,通入O2氧化,生成H3AsO4和单质硫。写出发生反应的化学方程式________。该反应需要在加压下进行,原因是________________________。

(3)已知:As(s)+1.5H2(g)+2O2(g)=H3AsO4(s) ΔH1

H2(g)+0.5O2(g)=H2O(l) ΔH2

2As(s)+2.5O2(g) =As2O5(s) ΔH3

则反应As2O5(s) +3H2O(l)= 2H3AsO4(s)的ΔH =_________。

【答案】(1)

(2)2As2S3+5O2+6H2O=4H3AsO4+6S 增加反应物O2的浓度,提高As2S3的转化速率

(3)2△H1-3△H2-△H3

(3)根据盖斯定律,热化学反应As2O5(s) +3H2O(l)= 2H3AsO4(s)可以由反应①×2-反应②×3-反应③转化得到,则2△H1-3△H2-△H3。

解题思路:

(1)题干中已经给出As为第四周期第五主族,共有四层电子,最外层电子为5,按着核外电子排布规律进行排布即可,即各层子数分别为2,8,18,5。

(2)题干中给出了反应物与生成物,但是看生成物中有H,所以反应物应加上H2O,根据电子转移守恒进行配平。很多考生往往会不知道在这种题目中H2O写进反应物还是生成物,一般将题目中明确给出物质写出后,再看反应物与生成物是否存在H或者O的不平衡,然后再考虑将H2O写入方程式的哪一侧。还有就是注意题干中具体给出的条件,如果强调是溶液中反应,那么可能反应物中应该有水,如果题干给出再空气中反应,那么反应物中可能有氧气。

(3)盖斯定律的应用完成热方程式的书写。盖斯定律基本上每年的高考都会有所涉及,只要计算正确,正负值搞清楚就没有问题,还算是简单题型。

相关问答

MnO2+4HCl(浓)==MnCl2+Cl2+2H2O分析 电子转移 守恒 _作业帮

[最佳回答]MnO2+4HCl(浓)==MnCl2+Cl2+2H2OMn:+4降为+2,得到2mol电子,MnO2是氧化剂,还原产物是Mn2+Cl:-1升为0,失去1mol电子,由于有2molCl化合价...

什么时候用 电子守恒 法_作业帮

[最佳回答]是不是电子转移守恒,是的话这类配平方法适用于氧化还原反应,刚开始学习这类方程式的时候要多做练习.氧化还原反应用这种方法配平最适用是不是电子...

如何利用 电子转移 来配平化学方程式?

先说原则:1、元素守恒;2、转移[得失]电子数守恒.以这个为例吧:CuSO4+FeS2+H2O→Cu2S+FeSO4+H2SO4考察各元素:Cu[+2→+1]-1S[-1→-2]-1S[...

【离子方程式中原子或电荷或得失 电子 守恒 是啥意思?RT,举几...

[最佳回答]离子方程式遵循:粒子守恒、电子转移数目守恒和电荷守恒.“离子方程式中原子或电荷或得失电子不守恒”指的是“电荷不守恒”电荷守恒:例如aA(m+)+bB(...

氧化还原反应配平方法及技巧有哪些?_高三网

[回答]记忆口诀:得电子者氧化剂。氧化剂还原剂,相依相存永不离。前两行也可以是:上失氧,下得还。解释:化合价上升失电子被氧化,本身作为还原剂;化合价下...

怎么用 转移 电子 数给化学方程式配平呢?_作业帮

[最佳回答]就是根据得失电子守恒来配嘛,就是氧化还原的例如氯气在水中歧化生成盐酸和次氯酸(Cl2+H2O=Hcl+HclO)这个反应这个反应,从氯气中0价的氯到盐酸中-1价...

(2)当体系中有6mol还原剂被氧化时, 转移 ______.】作业帮

[最佳回答](1)A12O3是反应物,反应中A12O3→AlN,Al元素化合价不变化,根据氮元素守恒知N2是反应物,反应中N2→AlN,N元素的化合价降低,根据电子转移守恒可知C是反...

SiO2+C+N2===Si3N4+CO用得失 电子守恒 配平能详细说明下怎么个...

[最佳回答]从生成物看:N从0降到-3,4个原子,共得电子,3*4=12.C从0升到+2,一个原子,共失电子2*1=2.根据得失电子守恒可得,Si3N4系数为1,CO系数为6.其他的用瞪眼...

...生成物分别填入以下空格内,配平,并标出 电子转移 的】作业帮

[最佳回答](1)A12O3是反应物,反应中A12O3→AlN,Al元素化合价不变化,根据氮元素守恒N2是反应物,反应中N2→AlN,N元素的化合价降低,根据电子转移守恒可知C是反应...

【完成并配平化学方程式(在空格内填入系数或化合物的分子式)...

[回答]在KMnO4+KNO2+H2SO4→MnSO4+K2SO4+KNO3+H2O中,Mn元素的化合价由+7价降低到+2价,N元素的化合价由+3价升高到+5价,其它元素的化合价在反应前后都不变,...

标签:

相关阅读